The Use of Chitin from the Molts of Mealworm (Tenebrio molitor) for the Removal of Anionic and Cationic Dyes from Aqueous Solutions
Abstract
1. Introduction
2. Materials and Laboratory Equipment
2.1. Molts of Mealworm
2.2. Dyes
2.3. Chemical Reagents
- Hydrochloric acid (HCl)—37%—(demineralization of mealworm molts, pH correction of dye solutions);
- Sodium hydroxide (NaOH) > 99.9% (microgranules)—(deproteinization of mealworm molts, pH correction of dye solutions);
- Buffer solutions for calibrating the pH meter (pH 4 ± 0.05/pH 7 ± 0.05/ pH 10 ± 0.05).
- All chemical reagents used were purchased from POCH S.A., Gliwice, Poland, and were of p.a. (analytical) purity or higher.
2.4. Laboratory Eqiupment
- HI 110 pH meter (HANNA Instruments, Olsztyn, Poland)—for the measurement and correction of solutions pH;
- Laboratory shaker SK-71 (JEIO TECH, Daejeon, Korea)—for the process of sorption;
- Multi-Channel Stirrer MS-53M (JEIO TECH, Daejeon, Korea)—for dye sorption analyses;
- UV-3100 PC spectrophotometer (VWR spectrophotometers, VWR International LLC., Mississauga, ON, Canada)—for determination of the concentration of dye in solutions;
- FT/IR-4700LE FT-IR Spectrometer with single reflection ATR attachment (JASCO International, Tokyo, Japan)—for the preparation of sorbent’s FTIR spectra;
- Gemini VI (Micromeritics, Norcross, GA, USA)—for the measurements of porosity and surface area of the sorbent;
- Scanning Electron Microscope Gemini 450 (Carl Zeiss Microscopy, Jena, Germany)—for taking images of the sorbent’s surface morphology.
3. Methodology
3.1. Preparation of the Sorbent (CHM)
3.2. Research on the Influence of pH on the Efficiency of Dye Sorption
3.3. Studies on the Kinetics of Dye Sorption
3.4. Research on the Maximum Sorption Capacity of CHM
3.5. Calculational Methods
- QS
- mass of sorbed dye [mg/g DM]
- C0
- initial concentration of dye [mg/L]
- CS
- concentration of dye after sorption [mg/L]
- V
- volume of the solution [L]
- m
- mass of the sorbent (CHM) [g DM].
- q
- instantaneous value of sorbed dye [mg/g DM]
- qe
- the amount of dye sorbed at the equilibrium state [mg/g DM]
- t
- time of sorption [min]
- k1
- pseudo-first order adsorption rate constant [1/min]
- k2
- pseudo-second order adsorption rate constant [g/(mg × min)]
- kid
- intramolecular diffusion model adsorption rate constant [mg/(g × min 0.5)]
- QS
- mass of sorbed dye [mg/g DM]
- Qmax
- maximum sorption capacity in Langmuir equation [mg/g DM]
- b1
- maximum sorption capacity of sorbent (type I active sites) [mg/g DM]
- b2
- maximum sorption capacity of sorbent (type II active sites) [mg/g DM]
- KC
- constant in Langmuir equation [L/mg]
- K1,K2
- constants in Langmuir 2 equation [L/mg]
- K
- the equilibrium sorption constant in Freundlich model
- n
- Freundlich equilibrium constant
- C
- concentration of the dye remaining in the solution [mg/L].
4. Results and Discussion
4.1. Characteristics of CHM (FTIR, Surface, SEM)
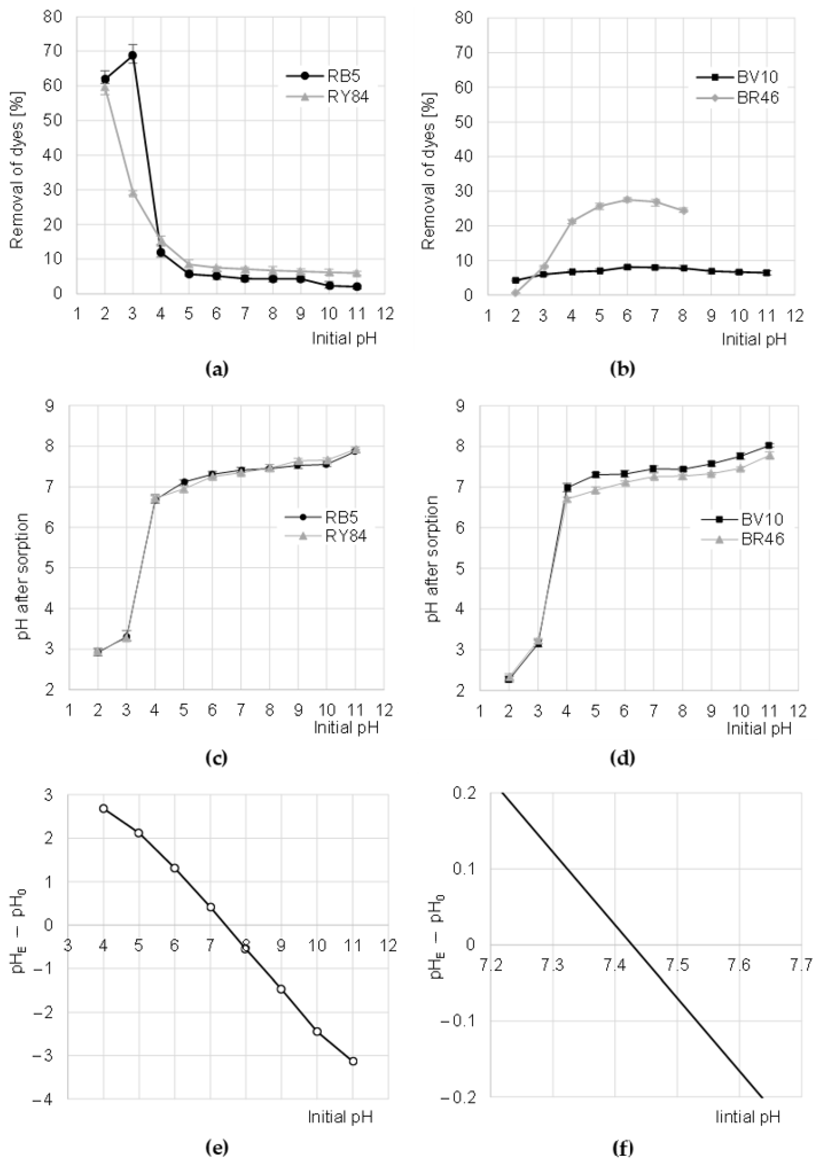
4.2. Influence of pH on the Dye Sorption Efficiency on CHM
4.3. Kinetics of the Sorption of Dyes on CHM
4.4. Maximum Sorption Capacity of CHM
5. Conclusions
Supplementary Materials
Author Contributions
Funding
Institutional Review Board Statement
Informed Consent Statement
Data Availability Statement
Conflicts of Interest
References
- Tkaczyk, A.; Mitrowska, K.; Posyniak, A. Synthetic Organic Dyes as Contaminants of the Aquatic Environment and Their Implications for Ecosystems: A Review. Sci. Total. Environ. 2020, 717, 137222. [Google Scholar] [CrossRef] [PubMed]
- Lellis, B.; Fávaro-Polonio, C.Z.; Pamphile, J.A.; Polonio, J.C. Effects of Textile Dyes on Health and the Environment and Bioremediation Potential of Living Organisms. Biotechnol. Res. Innov. 2019, 3, 275–290. [Google Scholar] [CrossRef]
- Mansour, A.T.; Alprol, A.E.; Abualnaja, K.M.; El-Beltagi, H.S.; Ramadan, K.M.A.; Ashour, M. The Using of Nanoparticles of Microalgae in Remediation of Toxic Dye from Industrial Wastewater: Kinetic and Isotherm Studies. Materials 2022, 15, 3922. [Google Scholar] [CrossRef] [PubMed]
- Croce, R.; Cinà, F.; Lombardo, A.; Crispeyn, G.; Cappelli, C.I.; Vian, M.; Maiorana, S.; Benfenati, E.; Baderna, D. Aquatic Toxicity of Several Textile Dye Formulations: Acute and Chronic Assays with Daphnia Magna and Raphidocelis Subcapitata. Ecotoxicol. Environ. Saf. 2017, 144, 79–87. [Google Scholar] [CrossRef] [PubMed]
- Rane, A.; Joshi, S.J. Biodecolorization and Biodegradation of Dyes: A Review. Open Biotechnol. J. 2021, 15, 97–108. [Google Scholar] [CrossRef]
- Donkadokula, N.Y.; Kola, A.K.; Naz, I.; Saroj, D. A Review on Advanced Physico-Chemical and Biological Textile Dye Wastewater Treatment Techniques. Rev. Environ. Sci. Bio/Technol. 2020, 19, 543–560. [Google Scholar] [CrossRef]
- Ihaddaden, S.; Aberkane, D.; Boukerroui, A.; Robert, D. Removal of Methylene Blue (Basic Dye) by Coagulation-Flocculation with Biomaterials (Bentonite and Opuntia Ficus Indica). J. Water Process. Eng. 2022, 49, 102952. [Google Scholar] [CrossRef]
- Alderete, B.L.; da Silva, J.; Godoi, R.; da Silva, F.R.; Taffarel, S.R.; da Silva, L.P.; Garcia, A.L.H.; Júnior, H.M.; de Amorim, H.L.N.; Picada, J.N. Evaluation of Toxicity and Mutagenicity of a Synthetic Effluent Containing Azo Dye after Advanced Oxidation Process Treatment. Chemosphere 2021, 263, 128291. [Google Scholar] [CrossRef]
- Abid, M.F.; Zablouk, M.A.; Abid-Alameer, A.M. Experimental Study of Dye Removal from Industrial Wastewater by Membrane Technologies of Reverse Osmosis and Nanofiltration. Iran. J. Environ. Health Sci. Eng. 2012, 9, 17. [Google Scholar] [CrossRef]
- Husien, S.; El-taweel, R.M.; Salim, A.I.; Fahim, I.S.; Said, L.A.; Radwan, A.G. Review of Activated Carbon Adsorbent Material for Textile Dyes Removal: Preparation, and Modelling. Curr. Res. Green Sustain. Chem. 2022, 5, 100325. [Google Scholar] [CrossRef]
- Adamczuk, A.; Kercheva, M.; Hristova, M.; Jozefaciuk, G. Impact of Chitosan on Water Stability and Wettability of Soils. Materials 2021, 14, 7724. [Google Scholar] [CrossRef] [PubMed]
- Kamal, M.; Adly, E.; Alharbi, S.A.; Khaled, A.S.; Rady, M.H.; Ibrahim, N.A. Exploring Simplified Methods for Insect Chitin Extraction and Application as a Potential Alternative Bioethanol Resource. Insects 2020, 11, 788. [Google Scholar] [CrossRef] [PubMed]
- Turck, D.; Bohn, T.; Castenmiller, J.; de Henauw, S.; Hirsch-Ernst, K.I.; Maciuk, A.; Mangelsdorf, I.; McArdle, H.J.; Naska, A.; Pelaez, C.; et al. Safety of Frozen and Dried Formulations from Whole Yellow Mealworm (Tenebrio Molitor Larva) as a Novel Food Pursuant to Regulation (EU) 2015/2283. EFSA J. 2021, 19, e06778. [Google Scholar] [CrossRef]
- Song, Y.S.; Kim, M.W.; Moon, C.; Seo, D.J.; Han, Y.S.; Jo, Y.H.; Noh, M.Y.; Park, Y.K.; Kim, S.A.; Kim, Y.W.; et al. Extraction of Chitin and Chitosan from Larval Exuvium and Whole Body of Edible Mealworm, Tenebrio Molitor. Entomol. Res. 2018, 48, 227–233. [Google Scholar] [CrossRef]
- Kaya, M.; Sargin, I.; Aylanc, V.; Tomruk, M.N.; Gevrek, S.; Karatoprak, I.; Colak, N.; Sak, Y.G.; Bulut, E. Comparison of Bovine Serum Albumin Adsorption Capacities of α-Chitin Isolated from an Insect and β-Chitin from Cuttlebone. J. Ind. Eng. Chem. 2016, 38, 146–156. [Google Scholar] [CrossRef]
- Turki, A.; El Oudiani, A.; Msahli, S.; Sakli, F. Infrared Spectra for Alfa Fibers Treated with Thymol. J. Glycobiol. 2018, 7, 1–8. [Google Scholar] [CrossRef]
- Bhavsar, P.S.; Dalla Fontana, G.; Zoccola, M. Sustainable Superheated Water Hydrolysis of Black Soldier Fly Exuviae for Chitin Extraction and Use of the Obtained Chitosan in the Textile Field. ACS Omega 2021, 6, 8884–8893. [Google Scholar] [CrossRef]
- Queiroz, M.F.; Melo, K.R.T.; Sabry, D.A.; Sassaki, G.L.; Rocha, H.A.O. Does the Use of Chitosan Contribute to Oxalate Kidney Stone Formation? Mar. Drugs 2015, 13, 141–158. [Google Scholar] [CrossRef]
- Bölgen, N.; Demir, D.; Öfkeli, F.; Ceylan, S. Extraction and Characterization of Chitin and Chitosan from Blue Crab and Synthesis of Chitosan Cryogel Scaffolds. J. Turk. Chem. Soc. Sect. A Chem. 2016, 3, 131–144. [Google Scholar] [CrossRef]
- Dahmane, E.M.; Taourirte, M.; Eladlani, N.; Rhazi, M. Extraction and Characterization of Chitin and Chitosan from Parapenaeus Longirostris from Moroccan Local Sources. Int. J. Polym. Anal. Charact. 2014, 19, 342–351. [Google Scholar] [CrossRef]
- Abidin, M.Z.; Junqueira-Gonçalves, M.P.; Khutoryanskiy, V.V.; Niranjan, K. Intensifying Chitin Hydrolysis by Adjunct Treatments–An Overview. J. Chem. Technol. Biotechnol. 2017, 92, 2787–2798. [Google Scholar] [CrossRef]
- Narudin, N.A.H.; Rosman, N.A.; Shahrin, E.W.E.; Sofyan, N.; Hanif Mahadi, A.; Kusrini, E.; Hobley, J.; Usman, A. Extraction, Characterization, and Kinetics of N-Deacetylation of Chitin Obtained from Mud Crab Shells. Polym. Polym. Compos. 2022, 30, 1–11. [Google Scholar] [CrossRef]
- Abolghassem, S.; Molaei, S.; Javanshir, S. Preparation of α-Chitin-Based Nanocomposite as an Effective Biocatalyst for Microwave Aided Domino Reaction. Heliyon 2019, 5, e02036. [Google Scholar] [CrossRef]
- Latańska, I.; Kolesińska, B.; Draczyński, Z.; Sujka, W. The Use of Chitin and Chitosan in Manufacturing Dressing Materials. Prog. Chem. Appl. Chitin Deriv. 2020, 25, 16–36. [Google Scholar] [CrossRef]
- Szymczyk, P.; Filipkowska, U.; Jóźwiak, T.; Kuczajowska-Zadrożna, M. The Use of Chitin and Chitosan for the Removal of Reactive Black 5 Dye. Prog. Chem. Appl. Chitin Deriv. 2015, 20, 260–271. [Google Scholar] [CrossRef]
- Dinçer, A.; Sevildik, M.; Aydemir, T. Optimization, Isotherm and Kinetics Studies of Azo Dye Adsorption on Eggshell Membrane. Int. J. Chem. Technol. 2019, 3, 52–60. [Google Scholar] [CrossRef]
- Mengelizadeh, N.; Pourzamani, H. Adsorption of Reactive Black 5 Dye from Aqueous Solutions by Carbon Nanotubes and Its Electrochemical Regeneration Process. Health Scope 2020, 9, 102443. [Google Scholar] [CrossRef]
- Felista, M.M.; Wanyonyi, W.C.; Ongera, G. Adsorption of Anionic Dye (Reactive Black 5) Using Macadamia Seed Husks: Kinetics and Equilibrium Studies. Sci. Afr. 2020, 7, e00283. [Google Scholar] [CrossRef]
- Shouman, M. Adsorption Studies on the Removal of Cationic Dye from Shrimp Shell Using Chitin. Biointerface Res. Appl. Chem. 2012, 3, 507–519. [Google Scholar]
- Juang, L.-C.; Wang, C.-C.; Lee, C.-K.; Hsu, T.-C. Dyes Adsorption onto Organoclay and MCM-41-SER. J. Environ. Eng. Manag. 2007, 17, 29–36. [Google Scholar]
- Mittal, A.; Mittal, J.; Malviya, A.; Kaur, D.; Gupta, V.K. Adsorption of Hazardous Dye Crystal Violet from Wastewater by Waste Materials. J. Colloid Interface Sci. 2010, 343, 463–473. [Google Scholar] [CrossRef] [PubMed]
- Li, L.; Liu, H.; Li, W.; Liu, K.; Tang, T.; Liu, J.; Jiang, W. One-Step Synthesis of an Environment-Friendly Cyclodextrin-Based Nanosponge and Its Applications for the Removal of Dyestuff from Aqueous Solutions. Res. Chem. Intermed. 2020, 46, 1715–1734. [Google Scholar] [CrossRef]
- Paredes-Quevedo, L.C.; González-Caicedo, C.; Torres-Luna, J.A.; Carriazo, J.G. Removal of a Textile Azo-Dye (Basic Red 46) in Water by Efficient Adsorption on a Natural Clay. Water Air Soil Pollut. 2021, 232, 4. [Google Scholar] [CrossRef]
- Jóźwiak, T.; Filipkowska, U.; Struk-Sokołowska, J.; Bryszewski, K.; Trzciński, K.; Kuźma, J.; Ślimkowska, M. The Use of Spent Coffee Grounds and Spent Green Tea Leaves for the Removal of Cationic Dyes from Aqueous Solutions. Sci. Rep. 2021, 11, 9584. [Google Scholar] [CrossRef]
- Heibati, B.; Rodriguez-Couto, S.; Amrane, A.; Rafatullah, M.; Hawari, A.; Al-Ghouti, M.A. Uptake of Reactive Black 5 by Pumice and Walnut Activated Carbon: Chemistry and Adsorption Mechanisms. J. Ind. Eng. Chem. 2014, 20, 2939–2947. [Google Scholar] [CrossRef]
- Jóźwiak, T.; Filipkowska, U.; Zajko, P. Use of Citrus Fruit Peels (Grapefruit, Mandarin, Orange, and Lemon) as Sorbents for the Removal of Basic Violet 10 and Basic Red 46 from Aqueous Solutions. Desalin. Water Treat. 2019, 163, 385–397. [Google Scholar] [CrossRef]
- Jia, Z.; Li, Z.; Ni, T.; Li, S. Adsorption of Low-Cost Absorption Materials Based on Biomass (Cortaderia Selloana Flower Spikes) for Dye Removal: Kinetics, Isotherms and Thermodynamic Studies. J. Mol. Liq. 2017, 229, 285–292. [Google Scholar] [CrossRef]
- Motejadded Emrooz, H.B.; Maleki, M.; Rashidi, A.; Shokouhimehr, M. Adsorption Mechanism of a Cationic Dye on a Biomass-Derived Micro- and Mesoporous Carbon: Structural, Kinetic, and Equilibrium Insight. Biomass Convers. Biorefin. 2021, 11, 943–954. [Google Scholar] [CrossRef]
- Ali, K.; Javaid, M.U.; Ali, Z.; Zaghum, M.J. Biomass-Derived Adsorbents for Dye and Heavy Metal Removal from Wastewater. Adsorpt. Sci. Technol. 2021, 2021, 9357509. [Google Scholar] [CrossRef]
- Filipkowska, U.; Jόźwiak, T.; Szymczyk, P.; Kuczajowska-Zadrożna, M. The Use of Active Carbon Immobilised on Chitosan Beads for RB5 and BV10 Dye Removal from Aqueous Solutions. Prog. Chem. Appl. Chitin Deriv. 2017, 22, 14–26. [Google Scholar] [CrossRef]
- Nabil, G.M.; El-Mallah, N.M.; Mahmoud, M.E. Enhanced Decolorization of Reactive Black 5 Dye by Active Carbon Sorbent-Immobilized-Cationic Surfactant (AC-CS). J. Ind. Eng. Chem. 2014, 20, 994–1002. [Google Scholar] [CrossRef]
- Akkaya, G.; Uzun, I.; Güzel, F. Kinetics of the Adsorption of Reactive Dyes by Chitin. Dye. Pigment. 2007, 73, 168–177. [Google Scholar] [CrossRef]
- Eren, Z.; Acar, F.N. Adsorption of Reactive Black 5 from an Aqueous Solution: Equilibrium and Kinetic Studies. Desalination 2006, 194, 1–10. [Google Scholar] [CrossRef]
- Tunç, Ö.; Tanaci, H.; Aksu, Z. Potential Use of Cotton Plant Wastes for the Removal of Remazol Black B Reactive Dye. J. Hazard. Mater. 2009, 163, 187–198. [Google Scholar] [CrossRef] [PubMed]
- Hamzeh, Y.; Ashori, A.; Azadeh, E.; Abdulkhani, A. Removal of Acid Orange 7 and Remazol Black 5 Reactive Dyes from Aqueous Solutions Using a Novel Biosorbent. Mater. Sci. Eng. C Mater. Biol. Appl. 2012, 32, 1394–1400. [Google Scholar] [CrossRef] [PubMed]
- Filipkowska, U.; Jóźwiak, T.; Bugajska, P.; Skrodzka, A. Effect of Chitin Modification on the Sorption Efficiency of Reactive Black 5 Dye. Rocz. Ochr. Sr. 2018, 20, 616–633. [Google Scholar]
- Zhang, W.; Yan, H.; Li, H.; Jiang, Z.; Dong, L.; Kan, X.; Yang, H.; Li, A.; Cheng, R. Removal of Dyes from Aqueous Solutions by Straw Based Adsorbents: Batch and Column Studies. Chem. Eng. J. 2011, 168, 1120–1127. [Google Scholar] [CrossRef]
- Szymczyk, P.; Filipkowska, U.; Jóźwiak, T.; Kuczajowska-Zadrożna, M. Use of Sawdust Immobilised on Chitosan for Disposal of Dyes from Water Solutions. Prog. Chem. Appl. Chitin Deriv. 2017, 22, 207–219. [Google Scholar] [CrossRef]
- Uçar, D.; Armağan, B. The Removal of Reactive Black 5 from Aqueous Solutions by Cotton Seed Shell. Water Environ. Res. 2012, 84, 323–327. [Google Scholar] [CrossRef]
- Jóźwiak, T.; Filipkowska, U.; Marciniak, P. Use of Hen Feathers to Remove Reactive Black 5 and Basic Red 46 from Aqueous Solutions. Desalin. Water Treat. 2021, 232, 129–139. [Google Scholar] [CrossRef]
- Jóźwiak, T.; Filipkowska, U.; Rodziewicz, J.; Mielcarek, A.; Owczarkowska, D. Zastosowanie Kompostu Jako Taniego Sorbentu Do Usuwania Barwników z Roztworów Wodnych. Rocz. Ochr. Sr. 2013, 15, 2398–2411. [Google Scholar]
- Osma, J.F.; Saravia, V.; Toca-Herrera, J.L.; Couto, S.R. Sunflower Seed Shells: A Novel and Effective Low-Cost Adsorbent for the Removal of the Diazo Dye Reactive Black 5 from Aqueous Solutions. J. Hazard. Mater. 2007, 147, 900–905. [Google Scholar] [CrossRef] [PubMed]
- Kowalkowska, A.; Jóźwiak, T. Utilization of Pumpkin (Cucurbita Pepo) Seed Husks as a Low-Cost Sorbent for Removing Anionic and Cationic Dyes from Aqueous Solutions. Desalin. Water Treat. 2019, 171, 397–407. [Google Scholar] [CrossRef]
- Józwiak, T.; Filipkowska, U.; Bugajska, P.; Kalkowski, T. The Use of Coconut Shells for the Removal of Dyes from Aqueous Solutions. J. Ecol. Eng. 2018, 19, 129–135. [Google Scholar] [CrossRef]
- Szymczyk, P.; Filipkowska, U.; Jóźwiak, T.; Kłodowska, I. Wykorzystanie Biomasy Glonów do Usuwania Barwy Z Roztworów Wodnych. In Proceedings of the Interdyscyplinarne Zagadnienia i Inżynierii i Ochronie Środowiska; Traczewska, T., Kaźmierczak, B., Eds.; Oficyna Wydawnicza Politechniki Wrocławskiej: Wrocław, Poland, 2014; pp. 881–894. [Google Scholar]
- Barka, N.; Qourzal, S.; Assabbane, A.; Nounah, A.; Ait-Ichou, Y. Removal of Reactive Yellow 84 from Aqueous Solutions by Adsorption onto Hydroxyapatite. J. Saudi Chem. Soc. 2011, 15, 263–267. [Google Scholar] [CrossRef]
- Indhu, S.; Muthukumaran, K. Removal and Recovery of Reactive Yellow 84 Dye from Wastewater and Regeneration of Functionalised Borassus Flabellifer Activated Carbon. J. Environ. Chem. Eng. 2018, 6, 3111–3121. [Google Scholar] [CrossRef]
- Jóźwiak, T.; Filipkowska, U.; Brym, S.; Kopeć, L. Use of Aminated Hulls of Sunflower Seeds for the Removal of Anionic Dyes from Aqueous Solutions. Int. J. Environ. Sci. Technol. 2020, 17, 1211–1224. [Google Scholar] [CrossRef]
- Mohammadi, M.; Hassani, A.J.; Mohamed, A.R.; Najafpour, G.D. Removal of rhodamine b from aqueous solution using palm shell-based activated carbon: Adsorption and kinetic studies. J. Chem. Eng. Data 2010, 55, 5777–5785. [Google Scholar] [CrossRef]
- Porkodi, K.; Vasanth Kumar, K. Equilibrium, Kinetics and Mechanism Modeling and Simulation of Basic and Acid Dyes Sorption onto Jute Fiber Carbon: Eosin Yellow, Malachite Green and Crystal Violet Single Component Systems. J. Hazard. Mater. 2007, 1–2, 311–327. [Google Scholar] [CrossRef]
- Mahmoud, M.S. Decolorization of Certain Reactive Dye from Aqueous Solution Using Baker’s Yeast (Saccharomyces Cerevisiae) Strain. HBRC J. 2016, 1, 88–98. [Google Scholar] [CrossRef]
- Namasivayam, C.; Kanchana, N.; Yamuna, R.T. Waste Banana Pith as Adsorbent for the Removal of Rhodamine-B from Aqueous Solutions. Waste Manag. 1993, 13, 89–95. [Google Scholar] [CrossRef]
- Kaur, S.; Walia, T.P.S.; Kansal, I. Removal of Rhodamine-B by Adsorption on Walnut Shell Charcoal | Request PDF. J. Surf. Sci. Technol. 2008, 24, 179–193. [Google Scholar]
- Sureshkumar, M.V.; Namasivayam, C. Adsorption Behavior of Direct Red 12B and Rhodamine B from Water onto Surfactant-Modified Coconut Coir Pith. Colloids Surf. A Physicochem. Eng. Asp. 2008, 317, 277–283. [Google Scholar] [CrossRef]
- Parab, H.; Sudersanan, M.; Shenoy, N.; Pathare, T.; Vaze, B. Use of Agro-Industrial Wastes for Removal of Basic Dyes from Aqueous Solutions. Clean 2009, 37, 963–969. [Google Scholar] [CrossRef]
- Zamouche, M.; Hamdaoui, O. Sorption of Rhodamine B by Cedar Cone: Effect of Ph and Ionic Strength. Energy Procedia 2012, 18, 1228–1239. [Google Scholar] [CrossRef]
- Khan, T.A.; Sharma, S.; Ali, I. Adsorption of Rhodamine B Dye from Aqueous Solution onto Acid Activated Mango (Magnifera Indica) Leaf Powder: Equilibrium, Kinetic and Thermodynamic Studies. J Toxicol Envorin. Health Sci 2011, 3, 286–297. [Google Scholar] [CrossRef]
- Shen, K.; Gondal, M.A. Removal of Hazardous Rhodamine Dye from Water by Adsorption onto Exhausted Coffee Ground. J. Saudi Chem. Soc. 2017, 21, S120–S127. [Google Scholar] [CrossRef]
- Pengthamkeerati, P.; Satapanajaru, T.; Chatsatapattayakul, N.; Chairattanamanokorn, P.; Sananwai, N. Alkaline Treatment of Biomass Fly Ash for Reactive Dye Removal from Aqueous Solution. Desalination 2010, 261, 34–40. [Google Scholar] [CrossRef]
- Deniz, F.; Karaman, S.; Saygideger, S.D. Biosorption of a Model Basic Dye onto Pinus Brutia Ten.: Evaluating of Equilibrium, Kinetic and Thermodynamic Data. Desalination 2011, 270, 199–205. [Google Scholar] [CrossRef]
- Deniz, F.; Karaman, S. Removal of Basic Red 46 Dye from Aqueous Solution by Pine Tree Leaves. Chem. Eng. J. 2011, 170, 67–74. [Google Scholar] [CrossRef]
- Azmi, N.A.I.; Zainudin, N.F.; Ali, U.F.M. Adsorption of Basic Red 46 Using Sea Mango (Cerbera Odollam) Based Activated Carbon. AIP Conf. Proc. 2015, 1660, 070068. [Google Scholar] [CrossRef]
- Mahmoodi, N.M.; Arami, M.; Bahrami, H.; Khorramfar, S. Novel Biosorbent (Canola Hull): Surface Characterization and Dye Removal Ability at Different Cationic Dye Concentrations. Desalination 2010, 264, 134–142. [Google Scholar] [CrossRef]
- Madeła, M.; Krzemińska, D.; Neczaj, E. Wpływ Procesu Fentona na Skuteczność Usuwania Zanieczyszczeń ze Ścieków Przemysłowych na Węglach Aktywnych. Technol. Wody 2014, 5, 46–50. [Google Scholar]
- Deniz, F.; Saygideger, S.D. Removal of a Hazardous Azo Dye (Basic Red 46) from Aqueous Solution by Princess Tree Leaf. Desalination 2011, 268, 6–11. [Google Scholar] [CrossRef]
- Yeddou, N.; Bensmaili, A. Kinetic Models for the Sorption of Dye from Aqueous Solution by Clay-Wood Sawdust Mixture. Desalination 2005, 185, 499–508. [Google Scholar] [CrossRef]
- Doltabadi, M.; Alidadi, H.; Davoudi, M. Comparative Study of Cationic and Anionic Dye Removal from Aqueous Solutions Using Sawdust-based Adsorbent. Environ. Prog. Sustain. Energy 2016, 4, 1078–1090. [Google Scholar] [CrossRef]






| Dye | Reactive Black 5 (RB5) | Reactive Yellow 84 (RY84) | Basic Violet 10 (BV10) | Basic Red 46 (BR46) | 
|---|---|---|---|---|
| Structural formula |  |  |  |  | 
| Molecular weight | 991.8 g/mol | 1628.2 g/mol | 479.0 g/mol | 321.4 g/mol | 
| Dye class | double azo dye | double azo dye | xanthene dye | single azo dye | 
| Dye type | anionic (reactive) | anionic (reactive) | cationic | cationic | 
| λmax | 600 nm | 356 nm | 554 nm | 530 nm | 
| Uses | Dyeing cotton, wool, and polyamide fibers | Dyeing polyester, cotton, rayon | Dyeing textiles, paper, leather | Dyeing leather, paper, wool, and acrylic fibers | 
| Hazards | Irritating the respiratory tract, allergic reactions | Irritating the respiratory tract, possible allergic reactions | Toxic, fluorescent, carcinogenic; can induce skin and eye allergies | Caustic, toxic, hazardous to the aquatic environment | 
| Other trade names | Begazol Black B, Diamira Black B, Remazol Black B | Active Yellow HE-4R, Apollocion Yellow H-E4R, Lamafix Yellow HER | Rhodamine B, Basic Red RB, Violet B | Cationic Red X-GRL, Anilan Red GRL, Sevron Fast Red GRL | 
| Dye | Dye Conc. | Pseudo-First Order Model | Pseudo-Second Order Model | Exp. Data | ||||
|---|---|---|---|---|---|---|---|---|
| k1 | qe,cal. | R2 | k2 | qe,cal. | R2 | qe,exp. | ||
| [mg/L] | [1/min] | [mg/g] | - | [g/mg × min] | [mg/g] | - | [mg/g] | |
| RB5 | 50 | 0.0120 | 95.83 | 0.9836 | 0.0001 | 119.01 | 0.9910 | 94.94 | 
| 250 | 0.0198 | 113.85 | 0.9766 | 0.0002 | 131.98 | 0.9953 | 117.56 | |
| RY84 | 50 | 0.0131 | 75.96 | 0.9942 | 0.0001 | 94.40 | 0.9943 | 74.69 | 
| 250 | 0.0201 | 119.76 | 0.9961 | 0.0002 | 139.30 | 0.9969 | 120.84 | |
| BV10 | 10 | 0.0256 | 1.38 | 0.9661 | 0.0224 | 1.55 | 0.9911 | 1.42 | 
| 50 | 0.0342 | 2.48 | 0.9770 | 0.0182 | 2.73 | 0.9964 | 2.56 | |
| BR46 | 50 | 0.0225 | 26.42 | 0.9849 | 0.0010 | 30.13 | 0.9932 | 26.71 | 
| 250 | 0.0385 | 47.86 | 0.9869 | 0.0011 | 52.13 | 0.9973 | 48.77 | |
| Sorbent | Dye Conc. | Phase I | Phase II | ||||
|---|---|---|---|---|---|---|---|
| kd1 * | Duration | R2 | kd2 | Duration | R2 | ||
| [mg/L] | [*] | [min] | - | [*] | [min] | - | |
| RB5 | 50 | 6.254 | 180 | 0.9989 | 2.749 | 120 | 0.9625 | 
| 250 | 9.681 | 120 | 0.9967 | 3.654 | 150 | 0.9943 | |
| RY84 | 50 | 5.648 | 150 | 0.9912 | 1.629 | 120 | 0.8980 | 
| 250 | 10.082 | 120 | 0.9972 | 2.902 | 120 | 0.8659 | |
| BV10 | 10 | 0.127 | 60 | 0.9816 | 0.045 | 180 | 0.9654 | 
| 50 | 0.288 | 45 | 0.9979 | 0.091 | 135 | 0.9698 | |
| BR46 | 50 | 2.299 | 90 | 0.9958 | 0.577 | 150 | 0.9603 | 
| 250 | 5.607 | 60 | 0.9965 | 0.980 | 120 | 0.9885 | |
| Dye | Langmuir 1 Model | Langmuir 2 Model | Freundlich Model | |||||||||
|---|---|---|---|---|---|---|---|---|---|---|---|---|
| Qmax | Kc | R2 | Qmax | b1 | K1 | b2 | K2 | R2 | k | n | R2 | |
| [mg/g] | [L/mg] | - | [mg/g] | [mg/g] | [L/mg] | [mg/g] | [L/mg] | - | - | - | - | |
| RB5 | 115.29 | 1.784 | 0.9964 | 121.15 | 111.32 | 1.939 | 9.83 | 0.010 | 0.9985 | 63.74 | 0.136 | 0.8045 | 
| RY84 | 113.15 | 0.215 | 0.9494 | 138.54 | 75.63 | 0.538 | 62.91 | 0.014 | 0.9963 | 38.05 | 0.231 | 0.9482 | 
| BV10 | 3.22 | 0.087 | 0.9949 | 3.22 | 1.56 | 0.087 | 1.67 | 0.087 | 0.9949 | 0.51 | 0.43 | 0.9423 | 
| BR46 | 54.20 | 0.039 | 0.9910 | 54.20 | 27.81 | 0.039 | 26.39 | 0.039 | 0.9910 | 8.97 | 0.32 | 0.9550 | 
| Dye | Sorbent | Qmax [mg/g] | pH | Time [min] | Source | 
|---|---|---|---|---|---|
| RB5 | Chitin flakes from snow crab shells (produced by BioLog Heppe) | 131.56 | 3 | 360 | [25] | 
| Activated carbon powder (high quality) | 125.79 | 2 | 240 | [40] | |
| Chitin from the molts of mealworm | 121.15 | 3 | 300 | This work | |
| Activated carbon modified with SPC | 69.9 | 2 | <60 | [41] | |
| Chitin flakes from shrimp shells (produced by Sigma-Aldrich, St. Louis, MO, USA) | ~60 | 6 | ~600 | [42] | |
| Activated carbon (commercial. powder) | 58.8 | - | - | [43] | |
| Cotton stems | 35.7 | 1 | 360 | [44] | |
| Rape stalks | 32.8 | 2.5 | 120 | [45] | |
| Chitin flakes from snow crab shells (produced by BioLog Heppe, Landsberg, Germany) | 30.37 | 4 | 180 | [46] | |
| Wheat straw | 15.7 | 7 | 195 | [47] | |
| Beech sawdust | 13.9 | 3 | 1440 | [48] | |
| Cotton seed hulls | 12.9 | 2 | 30 | [49] | |
| Hen feathers | 5.19 | 2 | 210 | [50] | |
| Compost | 4.80 | 3 | 120 | [51] | |
| Macadamia seed husks | 1.21 | 3 | 510 | [28] | |
| Sunflower biomass | 1.10 | 2 | 210 | [52] | |
| Pumpkin seed husks | 1.00 | 3 | 60 | [53] | |
| Coconut shells | 0.82 | 2 | 60 | [54] | |
| RY84 | Chitin from the molts of mealworms | 138.54 | 3 | 270 | This work | 
| Algae biomass of Chlorella sp. | 73.49 | 2 | 180 | [55] | |
| Hydroxyapatite | 50.25 | 5 | 180 | [56] | |
| Activated carbon from the Borassus flabellifer plant | 40.00 | b.d | b.d. | [57] | |
| Sunflower seed husks | 4.15 | 2 | 90 | [58] | |
| BV10 | Commercial activated carbon powder | 72.5 | 4 | 1440 | [49] | 
| Activated carbon | 30.0 | 3 | - | [59] | |
| Beech sawdust | 29.0 | 3 | 1440 | [48] | |
| Coconut shells | 28.5 | 3 | 180 | [54] | |
| Jute fiber activated carbon | 28.0 | 8 | 220 | [60] | |
| Baker’s yeast | 25.2 | 6.5 | 72 | [61] | |
| Banana peel | 20.6 | 6 | 1440 | [62] | |
| Walnut shell fiber | 18.7 | – | – | [63] | |
| Coconut fiber | 16.5 | 7 | 90 | [64] | |
| Sugar cane fiber | 10.4 | – | – | [65] | |
| Chitosan (hydrogel beads) | 5.79 | 4 | 1440 | [48] | |
| Lemon peel | 5.66 | 3 | 240 | [36] | |
| Cedar cones | 4.60 | - | 720 | [66] | |
| Mango leaves (powder) | 3.30 | - | 48 | [67] | |
| Chitin from the molts of mealworms | 3.22 | 6 | 120 | This work | |
| Coffee powder | 2.50 | 2 | 180 | [68] | |
| Fly ash | 1.90 | - | 72 | [69] | |
| BR46 | Spent coffee grounds | 179.4 | 6 | 240 | [34] | 
| Pine cones | 73.5 | 8 | 75 | [70] | |
| Pine leaves | 71.9 | 6 | 75 | [71] | |
| Coconut shells | 68.5 | 6 | 120 | [54] | |
| Activated carbon from biomass of Cerbera odollam | 65.7 | 7 | 90 | [72] | |
| Chitin from the molts of mealworms | 59.56 | 6 | 120 | This work | |
| Lemon peel | 54.0 | 6 | 240 | [36] | |
| Rapeseed hulls | 49.0 | 8 | 10 | [73] | |
| Activated carbon ROW 08 | 45.0 | 8 | 60 | [74] | |
| Paulownia tomentosa tree leaves | 43.1 | 8 | 70 | [75] | |
| Nut sawdust | 30.1 | 7 | - | [76] | |
| Sawdust | 13.9 | - | - | [77] | 
| Disclaimer/Publisher’s Note: The statements, opinions and data contained in all publications are solely those of the individual author(s) and contributor(s) and not of MDPI and/or the editor(s). MDPI and/or the editor(s) disclaim responsibility for any injury to people or property resulting from any ideas, methods, instructions or products referred to in the content. | 
© 2023 by the authors. Licensee MDPI, Basel, Switzerland. This article is an open access article distributed under the terms and conditions of the Creative Commons Attribution (CC BY) license (https://creativecommons.org/licenses/by/4.0/).
Share and Cite
Jóźwiak, T.; Filipkowska, U.; Bakuła, T.; Bralewska-Piotrowicz, B.; Karczmarczyk, K.; Gierszewska, M.; Olewnik-Kruszkowska, E.; Szyryńska, N.; Lewczuk, B. The Use of Chitin from the Molts of Mealworm (Tenebrio molitor) for the Removal of Anionic and Cationic Dyes from Aqueous Solutions. Materials 2023, 16, 545. https://doi.org/10.3390/ma16020545
Jóźwiak T, Filipkowska U, Bakuła T, Bralewska-Piotrowicz B, Karczmarczyk K, Gierszewska M, Olewnik-Kruszkowska E, Szyryńska N, Lewczuk B. The Use of Chitin from the Molts of Mealworm (Tenebrio molitor) for the Removal of Anionic and Cationic Dyes from Aqueous Solutions. Materials. 2023; 16(2):545. https://doi.org/10.3390/ma16020545
Chicago/Turabian StyleJóźwiak, Tomasz, Urszula Filipkowska, Tadeusz Bakuła, Beata Bralewska-Piotrowicz, Konrad Karczmarczyk, Magdalena Gierszewska, Ewa Olewnik-Kruszkowska, Natalia Szyryńska, and Bogdan Lewczuk. 2023. "The Use of Chitin from the Molts of Mealworm (Tenebrio molitor) for the Removal of Anionic and Cationic Dyes from Aqueous Solutions" Materials 16, no. 2: 545. https://doi.org/10.3390/ma16020545
APA StyleJóźwiak, T., Filipkowska, U., Bakuła, T., Bralewska-Piotrowicz, B., Karczmarczyk, K., Gierszewska, M., Olewnik-Kruszkowska, E., Szyryńska, N., & Lewczuk, B. (2023). The Use of Chitin from the Molts of Mealworm (Tenebrio molitor) for the Removal of Anionic and Cationic Dyes from Aqueous Solutions. Materials, 16(2), 545. https://doi.org/10.3390/ma16020545
 
        


 
                         
       