Investigation of Physicochemical Properties and Surface Morphology of Hydrogel Materials Incorporating Rosehip Extract
Abstract
:1. Introduction
2. Materials and Methods
2.1. Materials
2.2. Synthesis of Hydrogel Materials
2.3. Characterization of the Chemical Structure of Hydrogel Materials via Fourier Transform Infrared (FT-IR) Spectroscopy
2.4. Sorption Capacity Analysis
- α—swelling ratio, g/g;
- mt—mass of swollen sample after time “t”, g;
- m0—mass of dry sample (before the study), g.
2.5. Incubation Studies in Simulated Body Fluids
2.6. Observation Using an Optical Microscope
2.7. Determination of the Roughness Profile Using a Digital Microscope
2.8. Analysis of Mechanical Properties
3. Results
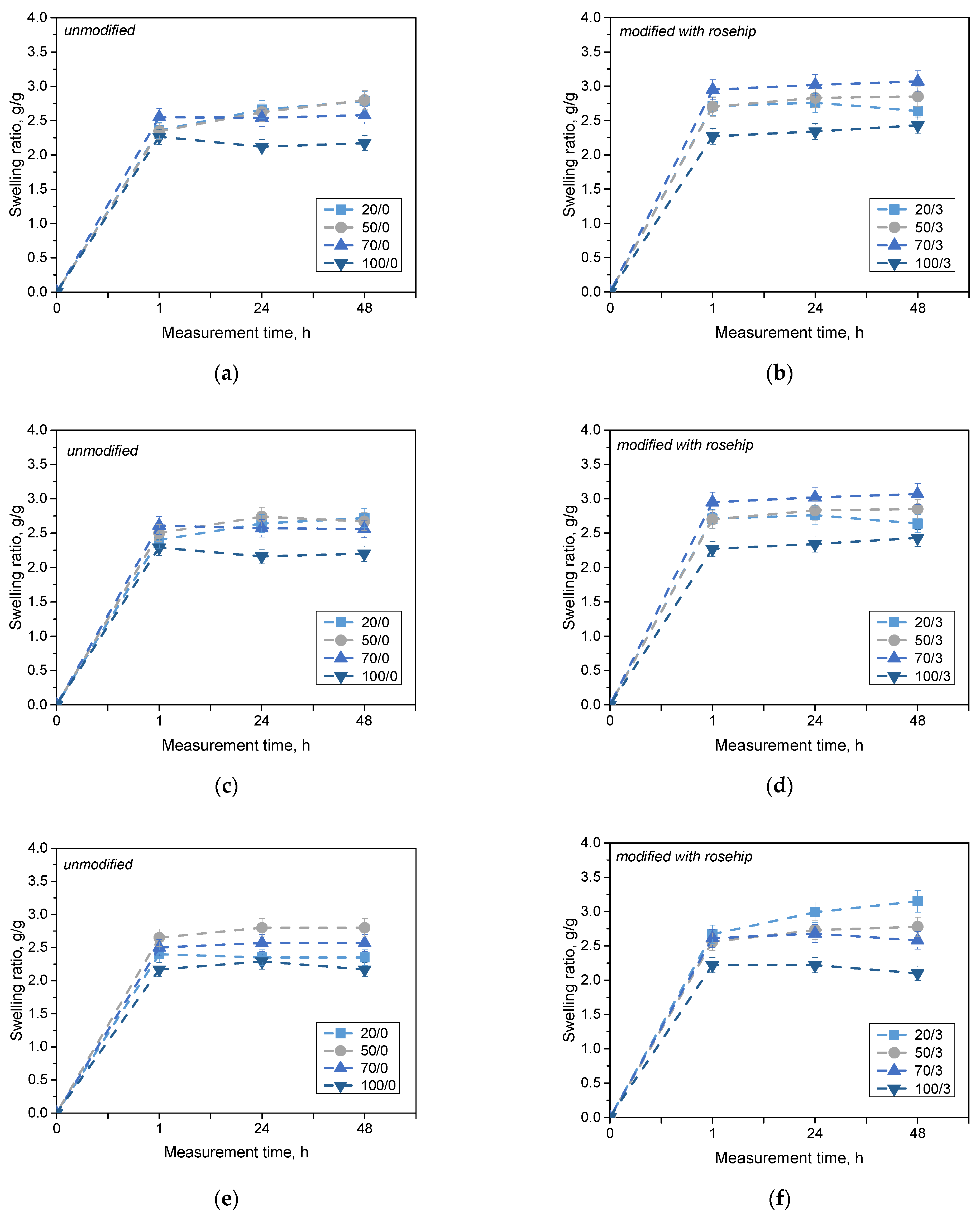
3.1. Analysis of Sorption Capacity
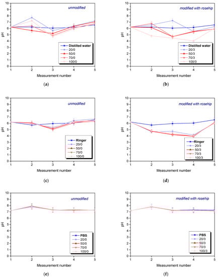
3.2. Results of the Incubation Study
3.3. Results of Antioxidant Activity Analysis
3.4. Optical Microscope Observations
3.5. Roughness Profile Analysis
3.6. Results of Infrared Spectroscopy Analysis
3.7. Results of Mechanical Property Analyses
4. Conclusions
- The chosen method of polymerization in the UV field allowed us to obtain hydrogel materials, which were modified by the addition of rosehip extract.
- All samples tested were sorptive and non-degradable. Samples modified with wild rose extract had the highest values of swelling coefficients, while hydrogel matrices containing 100 μL of photoinitiator had the lowest values.
- Incubation studies showed the greatest stability of the PBS buffer solution. Samples placed in distilled water and Ringer’s solution showed pH changes, suggesting the release of polymer matrix components.
- Hydrogel matrices enriched with rosehip extract were characterized by the rapid color change in the presence of KMnO4, indicating their antioxidant properties.
- Microscopic observations confirmed that increasing the amount of photoinitiator increases the surface corrugation of the hydrogel matrices, with the unmodified series showing greater corrugation compared with the rosehip extract series.
- Analysis of mechanical properties showed that with an increase in the amount of photoinitiator, the strength of these materials increases, while their elasticity decreases. The addition of rose extract, on the other hand, has the opposite effect, reducing the strength and increasing the percentage elongation of these materials.
- Analyses have confirmed that hydrogel materials based on PVA and PVP, and containing rosehip extract, show sorption, do not undergo rapid degradation in liquids simulating the environment of the human body and, additionally, have antioxidant properties. The described characteristics of the materials indicate their application potential in the field of biomedicine.
Author Contributions
Funding
Institutional Review Board Statement
Informed Consent Statement
Data Availability Statement
Acknowledgments
Conflicts of Interest
References
- Majcher, M.J.; Hoare, T. Applications of Hydrogels BT-Functional Biopolymers. In Synthetic Biopolymers; Jafar Mazumder, M.A., Sheardown, H., Al-Ahmed, A., Eds.; Springer International Publishing: Cham, Swizterland, 2019; pp. 453–490. ISBN 978-3-319-95990-0. [Google Scholar]
- Cao, H.; Duan, L.; Zhang, Y.; Cao, J.; Zhang, K. Current Hydrogel Advances in Physicochemical and Biological Response-Driven Biomedical Application Diversity. Signal Transduct. Target. Ther. 2021, 6, 426. [Google Scholar] [CrossRef] [PubMed]
- Caló, E.; Khutoryanskiy, V. V Biomedical Applications of Hydrogels: A Review of Patents and Commercial Products. Eur. Polym. J. 2015, 65, 252–267. [Google Scholar] [CrossRef]
- Bashir, S.; Hina, M.; Iqbal, J.; Rajpar, A.H.; Mujtaba, M.A.; Alghamdi, N.A.; Wageh, S.; Ramesh, K.; Ramesh, S. Fundamental Concepts of Hydrogels: Synthesis, Properties, and Their Applications. Polymers 2020, 12, 2702. [Google Scholar] [CrossRef] [PubMed]
- Kohman, R.E.; Cha, C.; Zimmerman, S.C.; Kong, H. Tuning Hydrogel Properties and Function Using Substituent Effects. Soft Matter 2010, 6, 2150–2152. [Google Scholar] [CrossRef]
- Li, X.; Sun, Q.; Li, Q.; Kawazoe, N.; Chen, G. Functional Hydrogels With Tunable Structures and Properties for Tissue Engineering Applications. Front. Chem. 2018, 6, 499. [Google Scholar] [CrossRef]
- Ho, T.-C.; Chang, C.-C.; Chan, H.-P.; Chung, T.-W.; Shu, C.-W.; Chuang, K.-P.; Duh, T.-H.; Yang, M.-H.; Tyan, Y.-C. Hydrogels: Properties and Applications in Biomedicine. Molecules 2022, 27, 2902. [Google Scholar] [CrossRef]
- Dziadek, M.; Dziadek, K.; Salagierski, S.; Drozdowska, M.; Serafim, A.; Stancu, I.-C.; Szatkowski, P.; Kopec, A.; Rajzer, I.; Douglas, T.E.L.; et al. Newly Crosslinked Chitosan- and Chitosan-Pectin-Based Hydrogels with High Antioxidant and Potential Anticancer Activity. Carbohydr. Polym. 2022, 290, 119486. [Google Scholar] [CrossRef]
- Belousov, A.; Patlay, A.; Silant’ev, V.; Kovalev, V.V.; Kumeiko, V. Preparation of Hydrogels Based on Modified Pectins by Tuning Their Properties for Anti-Glioma Therapy. Int. J. Mol. Sci. 2023, 24, 630. [Google Scholar] [CrossRef]
- Ahmadian, M.; Khoshfetrat, A.B.; Khatami, N.; Morshedloo, F.; Rahbarghazi, R.; Hassani, A.; Kiani, S. Influence of Gelatin and Collagen Incorporation on Peroxidase-Mediated Injectable Pectin-Based Hydrogel and Bioactivity of Fibroblasts. J. Biomater. Appl. 2021, 36, 179–190. [Google Scholar] [CrossRef]
- Campiglio, C.E.; Carcano, A.; Draghi, L. RGD-Pectin Microfiber Patches for Guiding Muscle Tissue Regeneration. J. Biomed. Mater. Res. A 2022, 110, 515–524. [Google Scholar] [CrossRef]
- Song, K.; Hao, Y.; Liu, Y.; Cao, R.; Zhang, X.; He, S.; Wen, J.; Zheng, W.; Wang, L.; Zhang, Y. Preparation of Pectin-Chitosan Hydrogels Based on Bioadhesive-Design Micelle to Prompt Bacterial Infection Wound Healing. Carbohydr. Polym. 2023, 300, 120272. [Google Scholar] [CrossRef]
- Gavan, A.; Colobatiu, L.; Hanganu, D.; Bogdan, C.; Olah, N.K.; Achim, M.; Mirel, S. Development and Evaluation of Hydrogel Wound Dressings Loaded with Herbal Extracts. Processes 2022, 10, 242. [Google Scholar] [CrossRef]
- Lin, Y.-Y.; Lu, S.-H.; Gao, R.; Kuo, C.-H.; Chung, W.-H.; Lien, W.-C.; Wu, C.-C.; Diao, Y.; Wang, H.-M.D. A Novel Biocompatible Herbal Extract-Loaded Hydrogel for Acne Treatment and Repair. Oxid. Med. Cell. Longev. 2021, 2021, 5598291. [Google Scholar] [CrossRef]
- Abazari, M.; Akbari, T.; Hasani, M.; Sharifikolouei, E.; Raoufi, M.; Foroumadi, A.; Sharifzadeh, M.; Firoozpour, L.; Khoobi, M. Polysaccharide-Based Hydrogels Containing Herbal Extracts for Wound Healing Applications. Carbohydr. Polym. 2022, 294, 119808. [Google Scholar] [CrossRef] [PubMed]
- Nguyen, K.T.; West, J.L. Photopolymerizable Hydrogels for Tissue Engineering Applications. Biomaterials 2002, 23, 4307–4314. [Google Scholar] [CrossRef]
- Haas, S.; Körner, S.; Zintel, L.; Hubbuch, J. Changing Mechanical Properties of Photopolymerized, Dityrosine-Crosslinked Protein-Based Hydrogels. Front. Bioeng. Biotechnol. 2022, 10, 1006438. [Google Scholar] [CrossRef]
- Sun, A.; He, X.; Ji, X.; Hu, D.; Pan, M.; Zhang, L.; Qian, Z. Current Research Progress of Photopolymerized Hydrogels in Tissue Engineering. Chin. Chem. Lett. 2021, 32, 2117–2126. [Google Scholar] [CrossRef]
- Koczka, N.; Stefanovits-Bányai, É.; Ombódi, A. Total Polyphenol Content and Antioxidant Capacity of Rosehips of Some Rosa Species. Medicines 2018, 5, 84. [Google Scholar] [CrossRef]
- Ghendov-Mosanu, A.; Cristea, E.; Patras, A.; Sturza, R.; Niculaua, M. Rose Hips, a Valuable Source of Antioxidants to Improve Gingerbread Characteristics. Molecules 2020, 25, 5659. [Google Scholar] [CrossRef]
- Igual, M.; Păucean, A.; Vodnar, D.C.; García-Segovia, P.; Martínez-Monzó, J.; Chiş, M.S. In Vitro Bioaccessibility of Bioactive Compounds from Rosehip-Enriched Corn Extrudates. Molecules 2022, 27, 1972. [Google Scholar] [CrossRef]
- Cendrowski, A.; Kraśniewska, K.; Przybył, J.L.; Zielińska, A.; Kalisz, S. Antibacterial and Antioxidant Activity of Extracts from Rose Fruits (Rosa rugosa). Molecules 2020, 25, 1365. [Google Scholar] [CrossRef]
- Song, Y.-R.; Lim, W.-C.; Han, A.; Lee, M.-H.; Shin, E.J.; Lee, K.-M.; Nam, T.-G.; Lim, T.-G. Rose Petal Extract (Rosa gallica) Exerts Skin Whitening and Anti-Skin Wrinkle Effects. J. Med. Food 2020, 23, 870–878. [Google Scholar] [CrossRef] [PubMed]
- Choi, D.W.; Jung, S.Y.; Lee, S.-Y.; Shon, D.-H.; Shin, H.S. Rosae Multiflorae Fructus Extract Improves Trimellitic Anhydride-Induced Atopic Dermatitis-Like Symptoms. J. Med. Food 2020, 23, 1287–1295. [Google Scholar] [CrossRef] [PubMed]
- PN-EN ISO 527-2:2012; Determination of Mechanical Properties in Static Tension—Part 2: Test Conditions for Plastics Intended for Various Molding Techniques. 2012. Available online: https://www.iso.org/obp/ui/#iso:std:iso:527:-2:ed-2:v1:en (accessed on 23 July 2023).
- ISO 37; Rubber, Vulcanized or Thermoplastic—Determination of Tensile Stress-Strain Properties. 2017. Available online: https://www.iso.org/standard/68116.html (accessed on 23 July 2023).
- Mileva, M.; Ilieva, Y.; Jovtchev, G.; Gateva, S.; Zaharieva, M.M.; Georgieva, A.; Dimitrova, L.; Dobreva, A.; Angelova, T.; Vilhelmova-Ilieva, N.; et al. Rose Flowers—A Delicate Perfume or a Natural Healer? Biomolecules 2021, 11, 127. [Google Scholar] [CrossRef] [PubMed]
- Akram, M.; Riaz, M.; Munir, N.; Akhter, N.; Zafar, S.; Jabeen, F.; Ali Shariati, M.; Akhtar, N.; Riaz, Z.; Altaf, S.H.; et al. Chemical Constituents, Experimental and Clinical Pharmacology of Rosa Damascena: A Literature Review. J. Pharm. Pharmacol. 2020, 72, 161–174. [Google Scholar] [CrossRef]
- Wang, Y.; Zhao, Y.; Liu, X.; Li, J.; Zhang, J.; Liu, D. Chemical Constituents and Pharmacological Activities of Medicinal Plants from Rosa Genus. Chin. Herb. Med. 2022, 14, 187–209. [Google Scholar] [CrossRef] [PubMed]
- Kasapoğlu, K.N.; Demircan, E.; Gültekin-Özgüven, M.; Kruger, J.; Frank, J.; Arslaner, A.; Özçelik, B. Recovery of Polyphenols Using Pressurized Hot Water Extraction (PHWE) from Black Rosehip Followed by Encapsulation for Increased Bioaccessibility and Antioxidant Activity. Molecules 2022, 27, 6807. [Google Scholar] [CrossRef]
- Geever, T.; Killion, J.; Grehan, L.; Geever, L.; Chadwick, E.; Higginbotham, C. Effect of Photoinitiator Concentration on the Properties of Polyethylene Glycol Based Hydrogels for Potential Regenerative Medicine Applications. Adv. Environ. Biol. 2014, 8, 7–17. [Google Scholar]
- Ghazali, H.S.; Askari, E.; Seyfoori, A.; Naghib, S.M. A High-Absorbance Water-Soluble Photoinitiator Nanoparticle for Hydrogel 3D Printing: Synthesis, Characterization and in Vitro Cytotoxicity Study. Sci. Rep. 2023, 13, 8577. [Google Scholar] [CrossRef]
- Yang, K.-H.; Lindberg, G.; Soliman, B.; Lim, K.; Woodfield, T.; Narayan, R.J. Effect of Photoinitiator on Precursory Stability and Curing Depth of Thiol-Ene Clickable Gelatin. Polymers 2021, 13, 1877. [Google Scholar] [CrossRef]
- Majhy, B.; Priyadarshini, P.; Sen, A.K. Effect of Surface Energy and Roughness on Cell Adhesion and Growth-Facile Surface Modification for Enhanced Cell Culture. RSC Adv. 2021, 11, 15467–15476. [Google Scholar] [CrossRef] [PubMed]
- Gentile, F.; Tirinato, L.; Battista, E.; Causa, F.; Liberale, C.; di Fabrizio, E.M.; Decuzzi, P. Cells Preferentially Grow on Rough Substrates. Biomaterials 2010, 31, 7205–7212. [Google Scholar] [CrossRef] [PubMed]
- Kharazmi, A.; Faraji, N.; Mat Hussin, R.; Saion, E.; Yunus, W.M.M.; Behzad, K. Structural, Optical, Opto-Thermal and Thermal Properties of ZnS-PVA Nanofluids Synthesized through a Radiolytic Approach. Beilstein J. Nanotechnol. 2015, 6, 529–536. [Google Scholar] [CrossRef]
- Jipa, I.M.; Stoica, A.; Stroescu, M.; Dobre, L.-M.; Dobre, T.; Jinga, S.; Tardei, C. Potassium Sorbate Release from Poly(Vinyl Alcohol)-Bacterial Cellulose Films. Chem. Pap. 2012, 66, 138–143. [Google Scholar] [CrossRef]
- Mansur, H.S.; Sadahira, C.M.; Souza, A.N.; Mansur, A.A.P. FTIR Spectroscopy Characterization of Poly (Vinyl Alcohol) Hydrogel with Different Hydrolysis Degree and Chemically Crosslinked with Glutaraldehyde. Mater. Sci. Eng. C 2008, 28, 539–548. [Google Scholar] [CrossRef]
- Kamaruddin; Edikresnha, D.; Sriyanti, I.; Munir, M. Khairurrijal Synthesis of Polyvinylpyrrolidone (PVP)-Green Tea Extract Composite Nanostructures Using Electrohydrodynamic Spraying Technique. In IOP Conference Series: Materials Science and Engineering; IOP Publishing: Bristol, UK, 2017; Volume 202. [Google Scholar]
- Baganizi, D.R.; Nyairo, E.; Duncan, S.A.; Singh, S.R.; Dennis, V.A. Interleukin-10 Conjugation to Carboxylated PVP-Coated Silver Nanoparticles for Improved Stability and Therapeutic Efficacy. Nanomaterials 2017, 7, 165. [Google Scholar] [CrossRef]
- Witte, R.P.; Blake, A.J.; Palmer, C.; Kao, W.J. Analysis of Poly(Ethylene Glycol)-Diacrylate Macromer Polymerization within a Multicomponent Semi-Interpenetrating Polymer Network System. J. Biomed. Mater. Res. A 2004, 71, 508–518. [Google Scholar] [CrossRef]
- Vuksanović, J.M.; Kijevčanin, M.L.; Radović, I.R. Poly(Ethylene Glycol) Diacrylate as a Novel Chaotropic Compound for Design of Aqueous Biphasic Systems. J. Mol. Liq. 2018, 261, 250–264. [Google Scholar] [CrossRef]
















| 15% PVP, [mL] | 15% PVA, [mL] | PEGDA, [mL] | Photoinitiator [µL] | Rosehip Extract, [mL] | Sample Name |
|---|---|---|---|---|---|
| 5 | 5 | 2 | 20 | - | unmodified |
| 20/0 | |||||
| 50 | 50/0 | ||||
| 70 | 70/0 | ||||
| 100 | 100/0 | ||||
| 20 | 3 | modified | |||
| 20/3 | |||||
| 50 | 3 | 50/3 | |||
| 70 | 3 | 70/3 | |||
| 100 | 3 | 100/3 |
| Independent Variable | Sum of Squares | Mean Square | f-Value | p-Value |
|---|---|---|---|---|
| Type of incubation fluid | 0.71744 | 0.35872 | 1.46083 | 0.25195 |
| Photoinitiator content | 2.24704 | 0.74901 | 3.05022 | 0.04798 |
| Interaction | 1.70928 | 0.28488 | 1.16012 | 0.35968 |
| Distilled Water (Without Sample) | Sample Unmodified Incubated in Distilled Water (50/0) | Sample Modified Incubated in Distilled Water (50/3) |
|---|---|---|
![]() | ![]() | ![]() |
| Photoinitiator [µL] | Unmodified Material | Modified Material |
|---|---|---|
| 20 | ![]() | ![]() |
| 50 | ![]() | ![]() |
| 70 | ![]() | ![]() |
| 100 | ![]() | ![]() |
| Photoinitiator [µL] | Unmodified Material | Modified Material |
|---|---|---|
| 20 | ![]() | ![]() |
| 50 | ![]() | ![]() |
| 70 | ![]() | ![]() |
| 100 | ![]() | ![]() |
| Photoinitiator [µL] | Roughness Parameter [um] | Unmodified Material | Modified Material |
|---|---|---|---|
| 20 | Ra | 2.58 | 2.83 |
| Rz | 14.59 | 13.54 | |
| Rq | 3.11 | 3.48 | |
| 50 | Ra | 5.66 | 6.36 |
| Rz | 22.53 | 28.12 | |
| Rq | 6.23 | 7.55 | |
| 70 | Ra | 6.44 | 8.23 |
| Rz | 32.55 | 32.26 | |
| Rq | 7.8 | 9.35 | |
| 100 | Ra | 71.99 | 8.69 |
| Rz | 331.3 | 36.49 | |
| Rq | 89.5 | 9.75 |
| Wave Number [cm−1] | Vibration Type | Characteristic Binding |
|---|---|---|
| 3380 (3550–3200) | tensile | O-H |
| 2860 (3000–2840) | tensile | CH2 |
| 1730 (1750–1735) | tensile | C=O |
| 1650 (1705–1585) | tensile | C=O |
| 1090 (1150–1085) | tensile | C-O-C |
Disclaimer/Publisher’s Note: The statements, opinions and data contained in all publications are solely those of the individual author(s) and contributor(s) and not of MDPI and/or the editor(s). MDPI and/or the editor(s) disclaim responsibility for any injury to people or property resulting from any ideas, methods, instructions or products referred to in the content. |
© 2023 by the authors. Licensee MDPI, Basel, Switzerland. This article is an open access article distributed under the terms and conditions of the Creative Commons Attribution (CC BY) license (https://creativecommons.org/licenses/by/4.0/).
Share and Cite
Kędzierska, M.; Sala, K.; Bańkosz, M.; Wroniak, D.; Gajda, P.; Potemski, P.; Tyliszczak, B. Investigation of Physicochemical Properties and Surface Morphology of Hydrogel Materials Incorporating Rosehip Extract. Materials 2023, 16, 6037. https://doi.org/10.3390/ma16176037
Kędzierska M, Sala K, Bańkosz M, Wroniak D, Gajda P, Potemski P, Tyliszczak B. Investigation of Physicochemical Properties and Surface Morphology of Hydrogel Materials Incorporating Rosehip Extract. Materials. 2023; 16(17):6037. https://doi.org/10.3390/ma16176037
Chicago/Turabian StyleKędzierska, Magdalena, Katarzyna Sala, Magdalena Bańkosz, Dominika Wroniak, Paweł Gajda, Piotr Potemski, and Bożena Tyliszczak. 2023. "Investigation of Physicochemical Properties and Surface Morphology of Hydrogel Materials Incorporating Rosehip Extract" Materials 16, no. 17: 6037. https://doi.org/10.3390/ma16176037
APA StyleKędzierska, M., Sala, K., Bańkosz, M., Wroniak, D., Gajda, P., Potemski, P., & Tyliszczak, B. (2023). Investigation of Physicochemical Properties and Surface Morphology of Hydrogel Materials Incorporating Rosehip Extract. Materials, 16(17), 6037. https://doi.org/10.3390/ma16176037




















