Tension Stiffening and Cracking Behavior of Axially Loaded Alkali-Activated Concrete
Abstract
1. Introduction
Research Significance
2. Experimental Program
2.1. Materials
2.2. Specimen Design and Instrumentation
2.3. Testing Procedures
3. Results and Discussion
3.1. Characteristics of OPC and FA
3.2. XRD Results
3.3. Tension-Stiffening Behavior of AA and OPC Prims
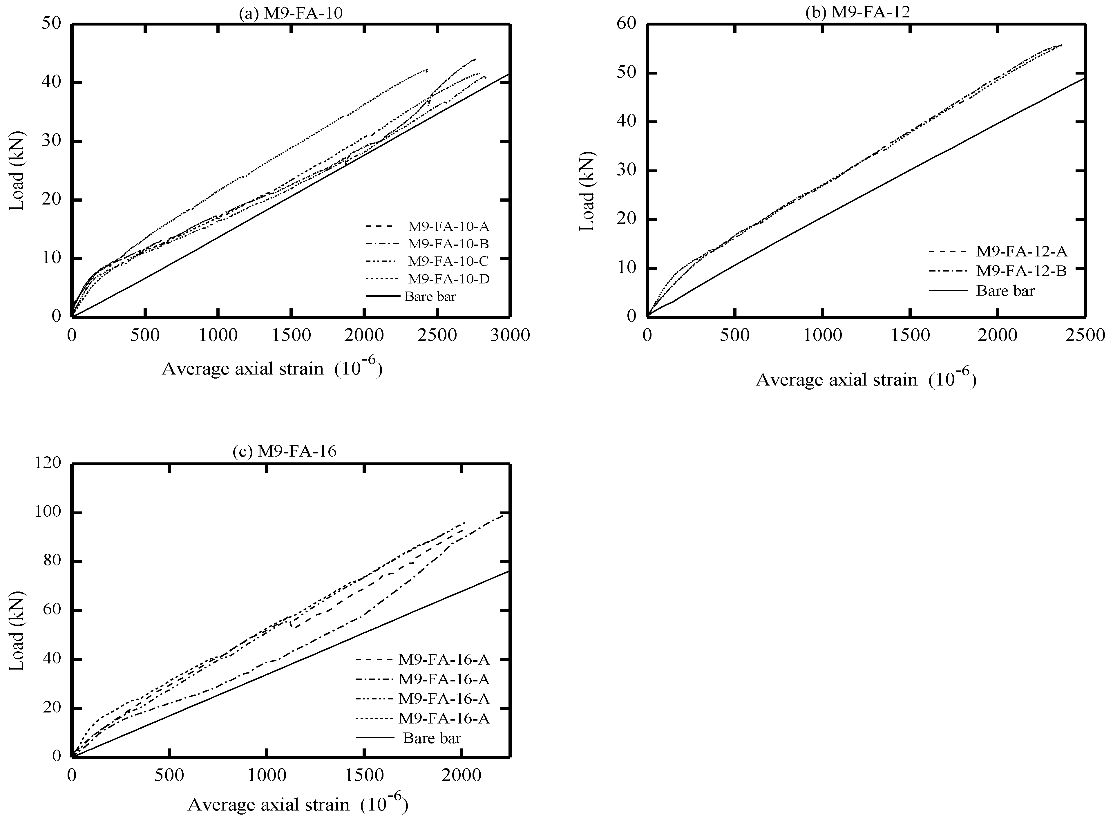
3.3.1. The Global Response of Prisms
3.3.2. Tension-Stiffening Factor (β)
3.4. Cracking Behavior of AA Concrete
3.4.1. Evolution of Crack Spacing
3.4.2. Final Crack Patterns
3.4.3. Growth of Crack Width
3.5. Comparison of Experimental Cracking Response with Code Provisions
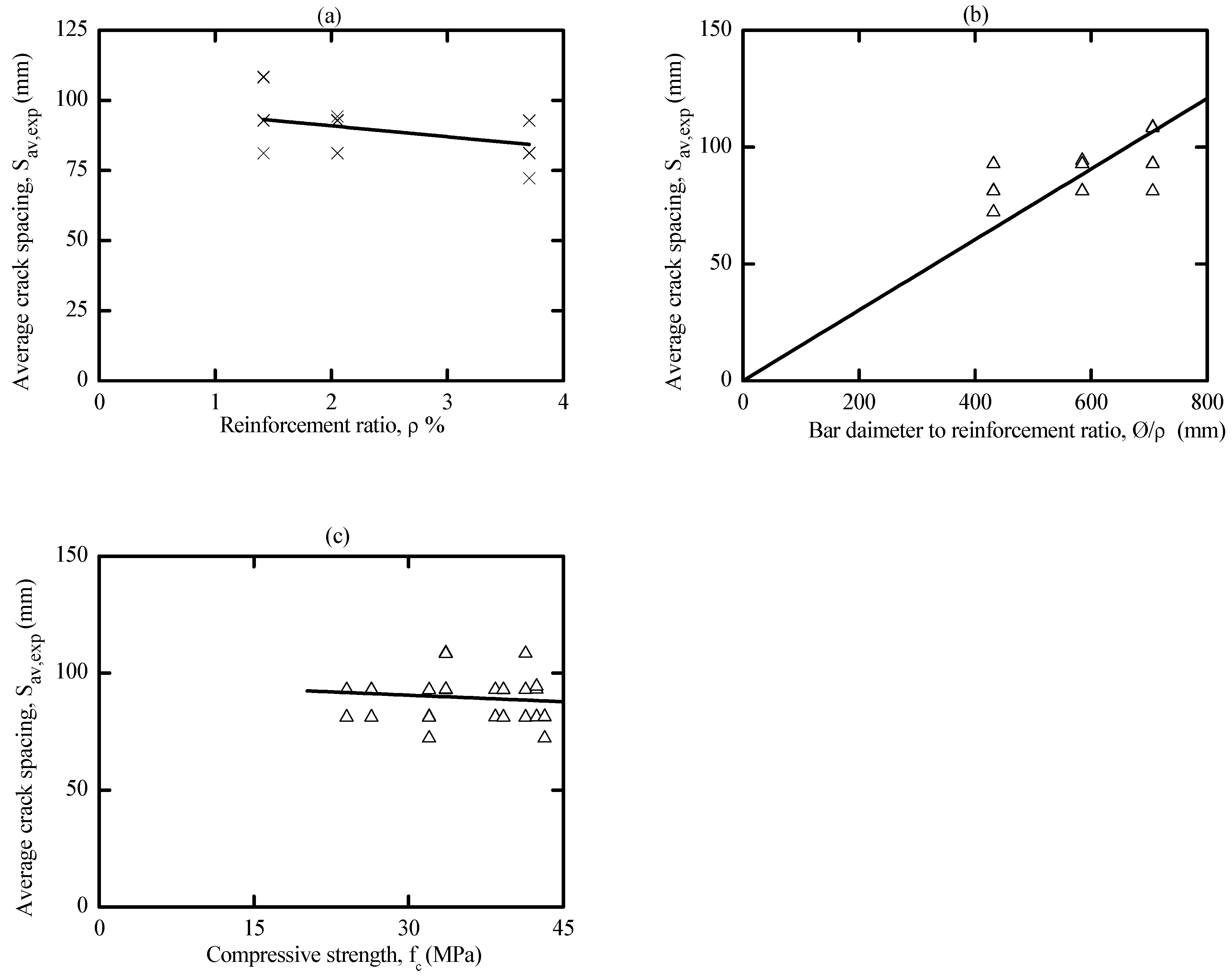
3.5.1. Comparison of Experimental Crack Spacing with Code Provisions
3.5.2. Comparison of the Experimental Crack width with Code Provisions
4. Conclusions
- Both AA and OPC concrete prisms developed slightly similar axial cracking force (Ncr). Both concrete types also have a global response consisting of three stages: elastic, cracking, and stabilized. However, the OPC prisms experienced a brittle cracking mechanism, resulting in a sudden drop in the load–strain curves at the crack location.
- AA concrete prisms developed more than one crack simultaneously, suggesting that the concrete tensile strength was more uniform in AA specimens than in OPC specimens. The tension-stiffening factor (β) of AA concrete exhibited better ductile behavior than OPC concrete due to the strain compatibility between concrete and steel even after the crack ignition. In contrast, OPC concrete experienced a gradual reduction in the tension-stiffening factor (β) after the crack formation.
- Compressive strength was generally found to be an influencing parameter in the global response of tested prisms because it improves the cracking resistance and bond between concrete and reinforcement. In addition, increasing the confinement (Cc/db ratio) around the steel bar improves the tensile capacity of the surrounding concrete, which delays the formation of internal cracks and, consequently, enhances the tension stiffening of AA concrete.
- In contrast to AA concrete, the OPC control sample developed fewer cracks with a bigger opening, as the intact OPC concrete between cracks did not contribute significantly to the tensile capacity, resulting in a higher elongation of the steel bar at the crack location and.
- The predicted crack spacing by EC2 was almost in line with that obtained experimentally. This agreement could be due to considering the actual concrete cover (c) and the high bond behavior considered. In contrast, CEB-FIP predictions of crack spacing are mostly on the top side of the equality line. In addition, code provisions tend to underestimate the maximum crack width, especially EC2 [62], and this was because the codes formula was intended for flexural members with narrower crack widths than tensile members.
Supplementary Materials
Author Contributions
Funding
Institutional Review Board Statement
Acknowledgments
Conflicts of Interest
References
- Singh, B.; Rahman, M.; Paswan, R.; Bhattacharyya, S. Effect of activator concentration on the strength, ITZ and drying shrinkage of fly ash/slag geopolymer concrete. Constr. Build. Mater. 2016, 118, 171–179. [Google Scholar] [CrossRef]
- Golewski, G.L. Validation of the favorable quantity of fly ash in concrete and analysis of crack propagation and its length—Using the crack tip tracking (CTT) method—In the fracture toughness examinations under Mode II, through digital image correlation. Constr. Build. Mater. 2021, 296, 122362. [Google Scholar] [CrossRef]
- Asa, E.; Shrestha, M.; Baffoe-Twum, E.; Awuku, B. Development of sustainable construction material from fly ash class C. J. Eng. Des. Technol. 2020, 18, 1615–1640. [Google Scholar] [CrossRef]
- Boopalan, C.; Rajamane, N.P.; Jeyalakshmi, R. Studies on adhesive bond strength of steel reinforcing bars with fly ash based-ambient cured geopolymer concrete. In Proceedings of the AIP Conference Proceedings, Ho Chi Minh, Vietnam, 29–30 April 2018; p. 020282. [Google Scholar] [CrossRef]
- Lokuge, W.; Wilson, A.; Gunasekara, C.; Law, D.W.; Setunge, S. Design of fly ash geopolymer concrete mix proportions using Multivariate Adaptive Regression Spline model. Constr. Build. Mater. 2018, 166, 472–481. [Google Scholar] [CrossRef]
- Farooq, F.; Jin, X.; Javed, M.F.; Akbar, A.; Shah, M.I.; Aslam, F.; Alyousef, R. Geopolymer concrete as sustainable material: A state of the art review. Constr. Build. Mater. 2021, 306, 124762. [Google Scholar] [CrossRef]
- Turner, L.K.; Collins, F.G. Carbon dioxide equivalent (CO2-e) emissions: A comparison between geopolymer and OPC cement concrete. Constr. Build. Mater. 2013, 43, 125–130. [Google Scholar] [CrossRef]
- Xie, T.; Visintin, P.; Zhao, X.; Gravina, R. Mix design and mechanical properties of geopolymer and alkali activated concrete: Review of the state-of-the-art and the development of a new unified approach. Constr. Build. Mater. 2020, 256, 119380. [Google Scholar] [CrossRef]
- Vasić, M.V.; Jantunen, H.; Mijatović, N.; Nelo, M.; Velasco, P.M. Influence of coal ashes on fired clay brick quality: Random forest regression and artificial neural networks modeling. J. Clean. Prod. 2023, 407, 137153. [Google Scholar] [CrossRef]
- Meesala, C.R.; Verma, N.K.; Kumar, S. Critical review on fly-ash based geopolymer concrete. Struct. Concr. 2020, 21, 1013–1028. [Google Scholar] [CrossRef]
- Pang, S.; Zhang, X.; Zhu, K.; Li, J.; Su, L. Study on Mechanical Properties and Micro Characterization of Fibre Reinforced Ecological Cementitious Coal Gangue Materials. Polymers 2023, 15, 700. [Google Scholar] [CrossRef]
- Wang, Q.; Zhu, L.; Lu, C.; Liu, Y.; Yu, Q.; Chen, S. Investigation on the Effect of Calcium on the Properties of Geopolymer Prepared from Uncalcined Coal Gangue. Polymers 2023, 15, 1241. [Google Scholar] [CrossRef]
- ASTM C618-19; Standard Specification for Coal Fly Ash and Raw or Calcined Natural Pozzolan for Use in Concrete. STM International: West Conshohocken, PA, USA, 2019. [CrossRef]
- Gomaa, E.; Gheni, A.A.; Kashosi, C.; ElGawady, M.A. Bond strength of eco-friendly class C fly ash-based thermally cured alkali-activated concrete to portland cement concrete. J. Clean. Prod. 2019, 235, 404–416. [Google Scholar] [CrossRef]
- Al-Ghouti, M.A.; Al-Degs, Y.S.; Ghrair, A.; Ziedan, M.; Khoury, H.; Abdelghani, J.I.; Khraisheh, M. Development of industrially viable geopolymers from treated petroleum fly ash. J. Clean. Prod. 2021, 280, 124808. [Google Scholar] [CrossRef]
- Zhan, J.; Fu, B.; Cheng, Z. Macroscopic Properties and Pore Structure Fractal Characteristics of Alkali-Activated Metakaolin–Slag Composite Cementitious Materials. Polymers 2022, 14, 5217. [Google Scholar] [CrossRef]
- D’elia, A.; Clausi, M.; Fernández-Jiménez, A.; Palomo, A.; Eramo, G.; Laviano, R.; Pinto, D. Alkali-Activated Binary Binders with Carbonate-Rich Illitic Clay. Polymers 2023, 15, 362. [Google Scholar] [CrossRef] [PubMed]
- Zhang, P.; Han, S.; Golewski, G.L.; Wang, X. Nanoparticle-reinforced building materials with applications in civil engineering. Adv. Mech. Eng. 2020, 12, 1687814020965438. [Google Scholar] [CrossRef]
- Golewski, G.L.; Gil, D.M. Studies of Fracture Toughness in Concretes Containing Fly Ash and Silica Fume in the First 28 Days of Curing. Materials 2021, 14, 319. [Google Scholar] [CrossRef]
- Golewski, G.L. Evaluation of fracture processes under shear with the use of DIC technique in fly ash concrete and accurate measurement of crack path lengths with the use of a new crack tip tracking method. Measurement 2021, 181, 5241. [Google Scholar] [CrossRef]
- Golewski, G.L. Changes in the Fracture Toughness under Mode II Loading of Low Calcium Fly Ash (LCFA) Concrete Depending on Ages. Materials 2020, 13, 5241. [Google Scholar] [CrossRef]
- Golewski, G.L. The Beneficial Effect of the Addition of Fly Ash on Reduction of the Size of Microcracks in the ITZ of Concrete Composites under Dynamic Loading. Energies 2021, 14, 668. [Google Scholar] [CrossRef]
- Chindaprasirt, P.; Chareerat, T.; Sirivivatnanon, V. Workability and strength of coarse high calcium fly ash geopolymer. Cem. Concr. Compos. 2007, 29, 224–229. [Google Scholar] [CrossRef]
- Cornelis, R.; Priyosulistyo, H.; Satyarno, I.; Rochmadi. The Investigation on Setting Time and Strength of High Calcium Fly Ash Based Geopolymer. Appl. Mech. Mater. 2018, 881, 158–164. [Google Scholar] [CrossRef]
- Topark-Ngarm, P.; Chindaprasirt, P.; Sata, V. Setting Time, Strength, and Bond of High-Calcium Fly Ash Geopolymer Concrete. J. Mater. Civ. Eng. 2015, 27, 04014198. [Google Scholar] [CrossRef]
- Zhang, N.; Yu, H.; Wang, N.; Gong, W.; Tan, Y.; Wu, C. Effects of low- and high-calcium fly ash on magnesium oxysulfate cement. Constr. Build. Mater. 2019, 215, 162–170. [Google Scholar] [CrossRef]
- Albitar, M.; Ali, M.M.; Visintin, P. Evaluation of tension-stiffening, crack spacing and crack width of geopolymer concretes. Constr. Build. Mater. 2018, 160, 408–414. [Google Scholar] [CrossRef]
- Ganesan, N.; Indira, P.V.; Santhakumar, A. Influence of steel fibres on tension stiffening and cracking of reinforced geopolymer concrete. Mag. Concr. Res. 2014, 66, 268–276. [Google Scholar] [CrossRef]
- Guo, X.; Shi, H.; Dick, W.A. Compressive strength and microstructural characteristics of class C fly ash geopolymer. Cem. Concr. Compos. 2010, 32, 142–147. [Google Scholar] [CrossRef]
- Chindaprasirt, P.; Chareerat, T.; Hatanaka, S.; Cao, T. High-Strength Geopolymer Using Fine High-Calcium Fly Ash. J. Mater. Civ. Eng. 2011, 23, 264–270. [Google Scholar] [CrossRef]
- Sani, M.F.A.A.; Muhamad, R.; Abdulrahman, H. Bond stress-slip of fly ash-based geopolymer concrete: A review. In Proceedings of the AIP Conference Proceedings, Kuala Lumpur, Malaysia, 26–28 August 2019. [Google Scholar] [CrossRef]
- Abdulrahman, H.; Muhamad, R.; Azim, M.F. Tension stiffening behavior of ordinary Portland and geopolymer concrete: A review. In Proceedings of the AIP Conference Proceedings, Kuala Lumpur, Malaysia, 26–28 August 2019; pp. 1–9. [Google Scholar] [CrossRef]
- Golewski, G.L. The Phenomenon of Cracking in Cement Concretes and Reinforced Concrete Structures: The Mechanism of Cracks Formation, Causes of Their Initiation, Types and Places of Occurrence, and Methods of Detection—A Review. Buildings 2023, 13, 765. [Google Scholar] [CrossRef]
- Nayal, R.; Rasheed, H.A. Tension Stiffening Model for Concrete Beams Reinforced with Steel and FRP Bars. J. Mater. Civ. Eng. 2006, 18, 831–841. [Google Scholar] [CrossRef]
- Sofi, M.; van Deventer, J.S.J.; Mendis, P.A.; Lukey, G.C. Bond performance of reinforcing bars in inorganic polymer concrete (IPC). J. Mater. Sci. 2007, 42, 3107–3116. [Google Scholar] [CrossRef]
- Wu, H.Q.; Gilbert, R.I. An experimental study of tension stiffening in reinforced concrete members under short-term and long-term loads. In UNICIV Report; The University of New South Wales: Sydney, Australia, 2008; p. 28. [Google Scholar]
- Rimkus, A.; Barros, J.; Gribniak, V.; Rezazadeh, M. Mechanical behavior of concrete prisms reinforced with steel and GFRP bar systems. Compos. Struct. 2019, 220, 273–288. [Google Scholar] [CrossRef]
- Wardhono, A.; Gunasekara, C.; Law, D.W.; Setunge, S. Comparison of long term performance between alkali activated slag and fly ash geopolymer concretes. Constr. Build. Mater. 2017, 143, 272–279. [Google Scholar] [CrossRef]
- Aghdasi, P.; Ostertag, C.P. Green ultra-high performance fiber-reinforced concrete (G-UHP-FRC). Constr. Build. Mater. 2018, 190, 246–254. [Google Scholar] [CrossRef]
- Alrefaei, Y.; Dai, J.-G. Tensile behavior and microstructure of hybrid fiber ambient cured one-part engineered geopolymer composites. Constr. Build. Mater. 2018, 184, 419–431. [Google Scholar] [CrossRef]
- Guo, X.; Yang, J. Intrinsic properties and micro-crack characteristics of ultra-high toughness fly ash/steel slag based geopolymer. Constr. Build. Mater. 2020, 230, 116965. [Google Scholar] [CrossRef]
- Kan, L.; Zhang, L.; Zhao, Y.; Wu, M. Properties of polyvinyl alcohol fiber reinforced fly ash based Engineered Geopolymer Composites with zeolite replacement. Constr. Build. Mater. 2020, 231, 117161. [Google Scholar] [CrossRef]
- Li, S.; Sha, F.; Liu, R.; Li, W.; Li, Z.; Wang, G. Properties of Cement-Based Grouts with High Amounts of Ground Granulated Blast-Furnace Slag and Fly Ash. J. Mater. Civ. Eng. 2017, 29, 04017219. [Google Scholar] [CrossRef]
- Abdulrahman, H.; Muhamad, R.; Visintin, P.; Shukri, A.A. Mechanical properties and bond stress-slip behaviour of fly ash geopolymer concrete. Constr. Build. Mater. 2022, 327, 126909. [Google Scholar] [CrossRef]
- Gribniak, V.; Rimkus, A.; Torres, L.; Jakstaite, R. Deformation analysis of reinforced concrete ties: Representative geometry. Struct. Concr. 2017, 18, 634–647. [Google Scholar] [CrossRef]
- Hung, C.-C.; Lee, H.-S.; Chan, S.N. Tension-stiffening effect in steel-reinforced UHPC composites: Constitutive model and effects of steel fibers, loading patterns, and rebar sizes. Compos. Part B Eng. 2019, 158, 269–278. [Google Scholar] [CrossRef]
- Aghdasi, P.; Ostertag, C.P. Tensile fracture characteristics of Green Ultra-High Performance Fiber-Reinforced Concrete (G-UHP-FRC) with longitudinal steel reinforcement. Cem. Concr. Compos. 2020, 114, 103749. [Google Scholar] [CrossRef]
- Vilanova, I.; Torres, L.; Baena, M.; Kaklauskas, G.; Gribniak, V. Experimental study of tension stiffening in GFRP RC tensile members under sustained load. Eng. Struct. 2014, 79, 390–400. [Google Scholar] [CrossRef]
- Bischoff, P.H. Effects of shrinkage on tension stiffening and cracking in reinforced concrete. Can. J. Civ. Eng. 2001, 28, 363–374. [Google Scholar] [CrossRef]
- 224 224.2R-92; Cracking of Concrete Members in Direct Tension. American Concrete Institute: Farmington Hills, MI, USA, 1992. [CrossRef]
- Kang, S.-B.; Tan, K.H.; Zhou, X.-H.; Yang, B. Influence of reinforcement ratio on tension stiffening of reinforced engineered cementitious composites. Eng. Struct. 2017, 141, 251–262. [Google Scholar] [CrossRef]
- Alam, S.Y.; Saliba, J.; Loukili, A. Fracture examination in concrete through combined digital image correlation and acoustic emission techniques. Constr. Build. Mater. 2014, 69, 232–242. [Google Scholar] [CrossRef]
- Kharal, Z.; Sheikh, S. Tension Stiffening and Cracking Behavior of Glass Fiber-Reinforced Polymer-Reinforced Concrete. ACI Struct. J. 2017, 114, 299–310. [Google Scholar] [CrossRef]
- Kaklauskas, G.; Tamulenas, V.; Bado, M.F.; Bacinskas, D. Shrinkage-free tension stiffening law for various concrete grades. Constr. Build. Mater. 2018, 189, 736–744. [Google Scholar] [CrossRef]
- Rangel, C.S.; Amario, M.; Pepe, M.; Yao, Y.; Mobasher, B.; Toledo Filho, R.D. Tension stiffening approach for interface characterization in recycled aggregate concrete. Cem. Concr. Compos. 2017, 82, 176–189. [Google Scholar] [CrossRef]
- Fields, K.; Bischoff, P.H. Tension Stiffening and Cracking of High-Strength Reinforced Concrete Tension Members. ACI Struct. J. 2004, 101, 447–456. [Google Scholar] [CrossRef]
- Tiberti, G.; Minelli, F.; Plizzari, G.A.; Vecchio, F.J. Influence of concrete strength on crack development in SFRC members. Cem. Concr. Compos. 2014, 45, 176–185. [Google Scholar] [CrossRef]
- Jansson, A.; Flansbjer, M.; Löfgren, I.; Lundgren, K.; Gylltoft, K. Experimental investigation of surface crack initiation, propagation and tension stiffening in self-compacting steel–fibre-reinforced concrete. Mater. Struct. 2012, 45, 1127–1143. [Google Scholar] [CrossRef]
- Ganesan, N.; Sahana, R.; Indira, P. Effect of hybrid fibers on tension stiffening of reinforced geopolymer concrete. Adv. Concr. Constr. 2017, 5, 75–86. [Google Scholar] [CrossRef]
- Lyu, B.-C.; Ding, C.; Guo, L.-P.; Chen, B.; Wang, A.-G. Basic performances and potential research problems of strain hardening geopolymer composites: A critical review. Constr. Build. Mater. 2021, 287, 123030. [Google Scholar] [CrossRef]
- BS EN 1992-2; Eurocode 2: Design of Concrete Structures: General Rules for Buildings. British Standards Institution: London, UK, 2010.
- Sooriyaarachchi, H. Tension Stiffening Effect in GFRP Reinforced Concrete Elements. Ph.D. Thesis, The University of Sheffield, Sheffield, UK, 2006. Available online: http://etheses.whiterose.ac.uk/3079/1/434512.pdf (accessed on 1 February 2023).
- Deluce, J.R.; Vecchio, F.J. Cracking Behavior of Steel Fiber-Reinforced Concrete Members Containing Conventional Reinforcement. ACI Struct. J. 2013, 110, 481–490. [Google Scholar] [CrossRef]
- Mazaheripour, H.; Barros, J.A.; Sena-Cruz, J. Tension-stiffening model for FRC reinforced by hybrid FRP and steel bars. Compos. Part B Eng. 2016, 88, 162–181. [Google Scholar] [CrossRef]
- Pham, D.Q.; Nguyen, T.N.; Le, S.T.; Pham, T.T.; Ngo, T.D. The structural behaviours of steel reinforced geopolymer concrete beams: An experimental and numerical investigation. Structures 2021, 33, 567–580. [Google Scholar] [CrossRef]
- CEB-FIP. 2010. Available online: http://www.tocasa.es/zona2/CEB_FIP_model_code_1990_ing.pdf (accessed on 1 February 2023).
- ACI 224.1R-93; Causes, Evaluation and Repair of Cracks in Concrete Structures. American Concrete Institute (ACI) Committee: Farmington Hills, MI, USA, 2008; ISBN 978-0-87031-234-2.




















| Compounds | Fe2O3 | SiO2 | AL2O3 | CaO | MgO | SO3 | CI | TiO2 | MnO | K2O | LOI |
|---|---|---|---|---|---|---|---|---|---|---|---|
| Mass (%) | 18.95 | 32.3 | 16.4 | 19.1 | 7.6 | 2 | 0.13 | 0.85 | 0.18 | 1.6 | 3.2 |
| Mix ID. | Quantity (kg/m3) | ||||||||
|---|---|---|---|---|---|---|---|---|---|
| AA: FA | CA | FAG | OPC | FA | NaOH | Na2SiO3 | Borax | Water | |
| M5-FA | 0.34 | 1060 | 707 | - | 473 | 64 | 96 | 2.37 | 74 |
| M8-FA | 0.37 | 1060 | 707 | - | 430 | 64 | 96 | 2.15 | 74 |
| M9-FA | 0.40 | 1060 | 707 | - | 398 | 64 | 96 | 1.99 | 74 |
| M1-OPC | - | 1375 | 550 | 325 | - | - | - | - | 188 |
| M2-OPC | - | 1350 | 528 | 375 | - | - | - | - | 188 |
| 𝜙 (mm) | As (mm2) | Fy (MPa) | ɛy | Fu (MPa) | ɛu |
|---|---|---|---|---|---|
| 10 | 79 | 573 | 0.0037 | 622 | 0.040 |
| 12 | 113 | 502 | 0.0027 | 576 | 0.054 |
| 16 | 201 | 526 | 0.0025 | 618 | 0.052 |
| Specimen | Fc | Cc/db | ρ | Ncr | S.D | εcr | εsb,cr | Nsb,cr | Pcr | Fcr |
|---|---|---|---|---|---|---|---|---|---|---|
| ID | (MPa) | ratio | (%) | (kN) | (kN) | (10−6) | (10−6) | (kN) | (kN) | (MPa) |
| M5–FA 10 (A) | 41.6 | 3.25 | 1.42 | 9.56 | 1.18 | 273 | 865 | 4.29 | 5.27 | 0.95 |
| M5–FA 10 (B) | 3.25 | 8.65 | 189 | 866 | 2.97 | 5.68 | 1.03 | |||
| M5–FA 10 (C) | 3.25 | 11.31 | 310 | 725 | 4.88 | 6.43 | 1.16 | |||
| M5–FA 10 (D) | 3.25 | 10.65 | 239 | 682 | 3.79 | 6.9 | 1.24 | |||
| M5–FA 12 (A) | 42.4 | 2.63 | 2.05 | 11.69 | 1.68 | 205 | 508 | 4.64 | 7.05 | 1.28 |
| M5–FA 12 (B) | 2.63 | 13.37 | 261 | 624 | 5.9 | 7.47 | 1.36 | |||
| M5–FA 12 (C) | 2.63 | 15.56 | 352 | 768 | 7.96 | 7.6 | 1.38 | |||
| M5–FA 12 (D) | 2.63 | 12.41 | 282 | 602 | 6.38 | 6.03 | 1.1 | |||
| M5–FA 16 (A) | 43.2 | 1.84 | 3.71 | 15.69 | 2.07 | 241 | 474 | 9.69 | 6 | 1.11 |
| M5–FA 16 (B) | 1.84 | 19.84 | 329 | 502 | 13.23 | 6.61 | 1.22 | |||
| M5–FA 16 (C) | 1.84 | 16.26 | 264 | 489 | 10.62 | 5.64 | 1.04 | |||
| M5–FA 16 (D) | 1.84 | 19.19 | 245 | 506 | 9.85 | 9.34 | 1.72 | |||
| M8–FA 10 (A) | 33.6 | 3.25 | 1.42 | 9.055 | 0.15 | 164 | 577 | 2.59 | 6.49 | 1.17 |
| M8–FA 10 (B) | 3.25 | 8.79 | 113 | 731 | 1.8 | 7 | 1.26 | |||
| M8–FA 10 (C) | 3.25 | 9.07 | 199 | 594 | 3.13 | 5.94 | 1.07 | |||
| M8–FA 10 (D) | 3.25 | 8.81 | 198 | 601 | 3.11 | 5.7 | 1.03 | |||
| M8–FA 12 (A) | 38.4 | 2.63 | 2.05 | 9.87 | 1.80 | 232 | 578 | 5.25 | 4.62 | 0.84 |
| M8–FA 12 (B) | 2.63 | 8.3 | 200 | 425 | 4.52 | 3.78 | 0.69 | |||
| M8–FA 12 (C) | 2.63 | 12.34 | 261 | 574 | 5.9 | 6.44 | 1.17 | |||
| M8–FA 12 (D) | 2.63 | 11.53 | 250 | 597 | 5.65 | 5.88 | 1.07 | |||
| M8–FA 16 (A) | 39.2 | 1.84 | 3.71 | 10.58 | 3.52 | 123 | 253 | 4.95 | 5.63 | 1.04 |
| M8–FA 16 (B) | 1.84 | 17.73 | 298 | 714 | 11.98 | 5.75 | 1.06 | |||
| M8–FA 16 (C) | 1.84 | 16.46 | 171 | 452 | 6.88 | 9.58 | 1.77 | |||
| M8–FA 16 (D) | 1.84 | 18.2 | 235 | 473 | 9.45 | 8.75 | 1.61 | |||
| M9–FA 10 (A) | 26.4 | 3.25 | 1.42 | 9.25 | 0.80 | 345 | 619 | 5.42 | 3.83 | 0.69 |
| M9–FA 10 (B) | 3.25 | 9.03 | 292 | 666 | 4.59 | 4.44 | 0.8 | |||
| M9–FA 10 (C) | 3.25 | 9.19 | 353 | 707 | 5.54 | 3.65 | 0.66 | |||
| M9–FA 10 (D) | 3.25 | 7.57 | 166 | 558 | 2.61 | 4.96 | 0.89 | |||
| M9–FA 12 (C) | 24 | 2.63 | 2.05 | 11.75 | 0.76 | 270 | 551 | 6.11 | 5.64 | 1.02 |
| M9–FA 12 (D) | 2.63 | 12.83 | 343 | 622 | 7.76 | 5.07 | 0.92 | |||
| M9–FA 16 (A) | 32 | 1.84 | 3.71 | 12.35 | 5.13 | 164 | 307 | 6.59 | 5.76 | 1.06 |
| M9–FA 16 (B) | 1.84 | 24.87 | 320 | 722 | 12.9 | 11.97 | 2.2 | |||
| M9–FA 16 (C) | 1.84 | 18.66 | 315 | 516 | 12.67 | 5.99 | 1.1 | |||
| M9–FA 16 (D) | 1.84 | 17.79 | 203 | 535 | 8.16 | 9.63 | 1.77 | |||
| M1-OPC-12 (A) | 28 | 2.63 | 2.05 | 10.49 | 5.49 | 104 | 599 | 2.35 | 8.14 | 1.47 |
| M1-OPC-12 (B) | 2.63 | 18.26 | 141 | 808 | 2.86 | 15.4 | 2.76 | |||
| M2-OPC-16 (A) | 35 | 1.84 | 3.71 | 10.1 | 2.55 | 52 | 401 | 2.076 | 8 | 1.48 |
| M2-OPC-16 (B) | 1.84 | 13.7 | 63 | 348 | 2.53 | 11.18 | 2.06 | |||
| Parameters | Approach | Expression |
|---|---|---|
| Average crack spacing (Srm) | EC2 [61] | |
| CEB-FIB [66] | ||
| Proposed model | ||
| Maximum crack spacing (Smax) | EC2 [61] | |
| CEB-FIB [66] | ||
| Proposed model |
| Statistics | Average Crack Spacing (mm) | Maximum Crack Spacing (mm) | ||||
|---|---|---|---|---|---|---|
| EC2 [61] | CEB-FIB [66] | P | EC2 [61] | CEB-FIB [66] | P | |
| Mean | 0.70 | 1.18 | 1.0 | 0.85 | 1.25 | 1.01 |
| S.D | 0.06 | 0.21 | 0.10 | 0.10 | 0.24 | 0.12 |
| C.I | 0.02 | 0.07 | 0.03 | 0.03 | 0.08 | 0.04 |
| C.O.V | 0.09 | 0.18 | 0.10 | 0.12 | 0.19 | 0.12 |
| Parameters | Approach | Formula |
|---|---|---|
| Maximum crack width | EC2 [61] | |
| CEB-FIP [66] | ||
| ACI 224R [67] | ||
| Proposed Model |
| Statistics | Maximum Crack Width (mm) | |||
|---|---|---|---|---|
| EC2 [61] | CEB-FIP [66] | ACI 224R [67] | P | |
| Mean | 0.65 | 0.66 | 0.86 | 1.05 |
| S.D | 0.11 | 0.09 | 0.14 | 0.17 |
| C.I | 0.04 | 0.03 | 0.05 | 0.06 |
| C.O.V | 0.17 | 0.14 | 0.16 | 0.16 |
Disclaimer/Publisher’s Note: The statements, opinions and data contained in all publications are solely those of the individual author(s) and contributor(s) and not of MDPI and/or the editor(s). MDPI and/or the editor(s) disclaim responsibility for any injury to people or property resulting from any ideas, methods, instructions or products referred to in the content. |
© 2023 by the authors. Licensee MDPI, Basel, Switzerland. This article is an open access article distributed under the terms and conditions of the Creative Commons Attribution (CC BY) license (https://creativecommons.org/licenses/by/4.0/).
Share and Cite
Abdulrahman, H.; Muhamad, R.; Shukri, A.A.; Al-Fakih, A.; Alqaifi, G.; Mutafi, A.; Al-Duais, H.S.; Al-Sabaeei, A.M. Tension Stiffening and Cracking Behavior of Axially Loaded Alkali-Activated Concrete. Materials 2023, 16, 4120. https://doi.org/10.3390/ma16114120
Abdulrahman H, Muhamad R, Shukri AA, Al-Fakih A, Alqaifi G, Mutafi A, Al-Duais HS, Al-Sabaeei AM. Tension Stiffening and Cracking Behavior of Axially Loaded Alkali-Activated Concrete. Materials. 2023; 16(11):4120. https://doi.org/10.3390/ma16114120
Chicago/Turabian StyleAbdulrahman, Hamdi, Rahimah Muhamad, Ahmad Azim Shukri, Amin Al-Fakih, Gamal Alqaifi, Ayad Mutafi, Husam S. Al-Duais, and Abdulnaser M. Al-Sabaeei. 2023. "Tension Stiffening and Cracking Behavior of Axially Loaded Alkali-Activated Concrete" Materials 16, no. 11: 4120. https://doi.org/10.3390/ma16114120
APA StyleAbdulrahman, H., Muhamad, R., Shukri, A. A., Al-Fakih, A., Alqaifi, G., Mutafi, A., Al-Duais, H. S., & Al-Sabaeei, A. M. (2023). Tension Stiffening and Cracking Behavior of Axially Loaded Alkali-Activated Concrete. Materials, 16(11), 4120. https://doi.org/10.3390/ma16114120

