Low Temperature Magnetic Transition of BiFeO3 Ceramics Sintered by Electric Field-Assisted Methods: Flash and Spark Plasma Sintering
Abstract
1. Introduction
2. Materials and Methods
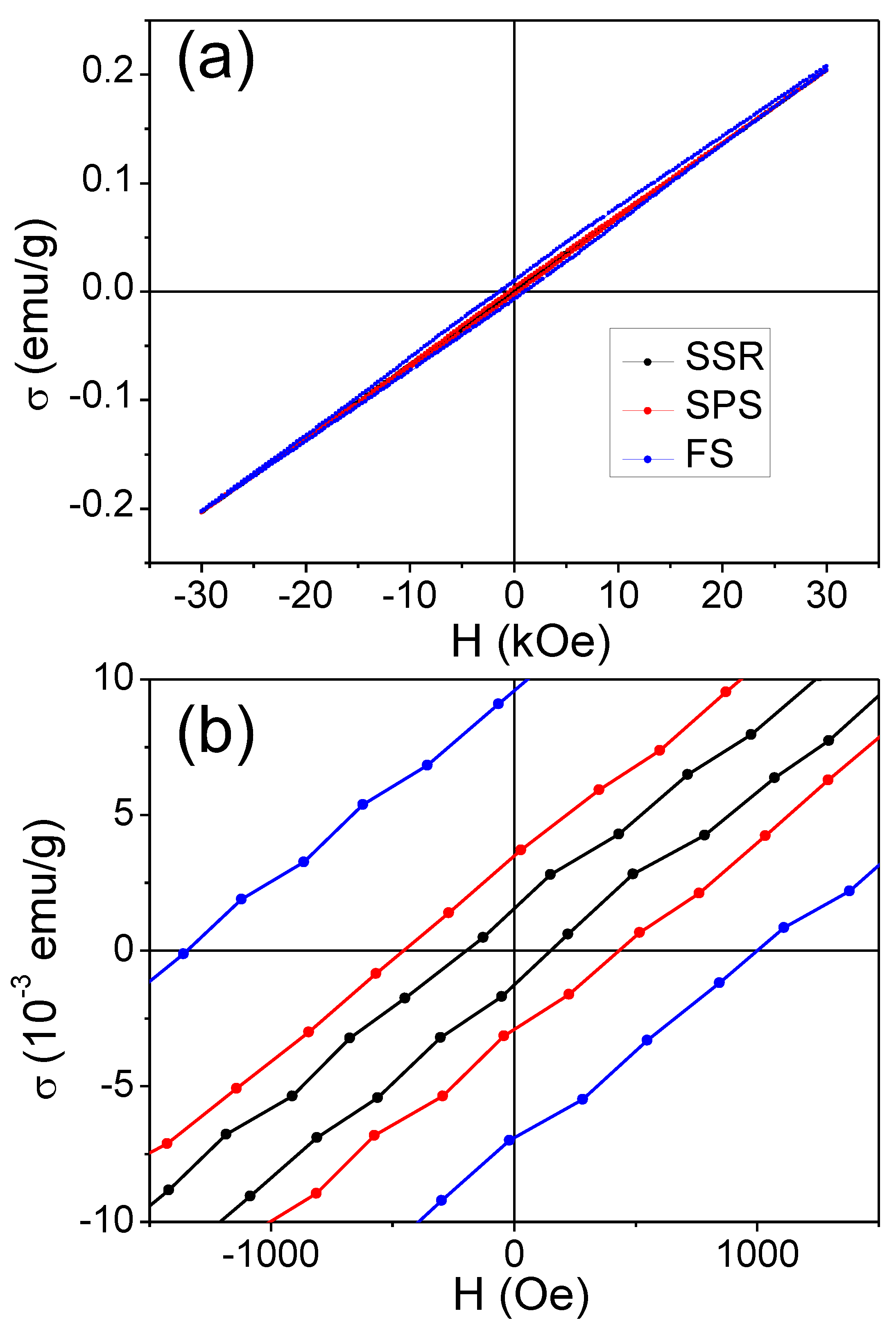
3. Results and Discussion
4. Conclusions
Supplementary Materials
Author Contributions
Funding
Institutional Review Board Statement
Data Availability Statement
Conflicts of Interest
References
- Wu, J.; Fan, Z.; Xiao, D.; Zhu, J.; Wang, J. Multiferroic bismuth ferrite-based materials for multifunctional applications: Ceramic bulks, thin films and nanostructures. Prog. Mater. Sci. 2016, 84, 335–402. [Google Scholar]
- Zhang, F.; Zeng, X.; Bi, D.; Guo, K.; Yao, Y.; Lu, S. Dielectric, ferroelectric, and magnetic properties of Sm-doped BiFeO3 ceramics prepared by a modified solid-state-reaction method. Materials 2018, 11, 2208. [Google Scholar] [CrossRef] [PubMed]
- Kubel, F.; Schmid, H. Structure of a ferroelectric and ferroelastic monodomain crystal of the perovskite BiFeO3. Acta Crystallogr. Sect. B Struct. Sci. 1990, 46, 698–702. [Google Scholar] [CrossRef]
- Catalan, G.; Scott, J.F. Physics and applications of bismuth ferrite. Adv. Mater. 2009, 21, 2463–2485. [Google Scholar] [CrossRef]
- Rojac, T.; Bencan, A.; Malic, B.; Tutuncu, G.; Jones, J.L.; Daniels, J.E.; Damjanovic, D. BiFeO3 ceramics: Processing, electrical, and electromechanical properties. J. Am. Ceram. Soc. 2014, 97, 1993–2011. [Google Scholar] [CrossRef]
- Muneeswaran, M.; Dhanalakshmi, R.; Giridharan, N.V. Structural, vibrational, electrical and magnetic properties of Bi1−xPrxFeO3. Ceram. Int. 2015, 41, 8511–8519. [Google Scholar] [CrossRef]
- Schrade, M.; Masó, N.; Perejón, A.; Pérez-Maqueda, L.A.; West, A.R. Defect chemistry and electrical properties of BiFeO3. J. Mater. Chem. C 2017, 5, 10077–10086. [Google Scholar] [CrossRef]
- Wang, Y.P.; Zhou, L.; Zhang, M.F.; Chen, X.Y.; Liu, J.M.; Liu, Z.G. Room-temperature saturated ferroelectric polarization in BiFeO3 ceramics synthesized by rapid liquid phase sintering. Appl. Phys. Lett. 2004, 84, 1731–1733. [Google Scholar] [CrossRef]
- Das, S.R.; Choudhary, R.N.P.; Bhattacharya, P.; Katiyar, R.S.; Dutta, P.; Manivannan, A.; Seehra, M.S. Structural and multiferroic properties of La-modified BiFeO3 ceramics. J. Appl. Phys. 2007, 101, 034104. [Google Scholar] [CrossRef]
- Perejón, A.; Masó, N.; West, A.R.; Sánchez-Jiménez, P.E.; Poyato, R.; Criado, J.M.; Pérez-Maqueda, L.A. Electrical properties of stoichiometric BiFeO3 prepared by mechanosynthesis with either conventional or spark plasma sintering. J. Am. Ceram. Soc. 2013, 96, 1220–1227. [Google Scholar] [CrossRef]
- Ederer, C.; Spaldin, N.A. Weak ferromagnetism and magnetoelectric coupling in bismuth ferrite. Phys. Rev. B 2005, 71, 060401. [Google Scholar] [CrossRef]
- Suresh, P.; Srinath, S. Effect of La substitution on structure and magnetic properties of sol-gel prepared BiFeO3. J. Appl. Phys. 2013, 113, 17D920. [Google Scholar] [CrossRef]
- Zhang, Y.; Wang, Y.; Qi, J.; Tian, Y.; Sun, M.; Zhang, J.; Yang, J. Enhanced magnetic properties of BiFeO3 thin films by doping: Analysis of structure and morphology. Nanomaterials 2018, 8, 711. [Google Scholar] [CrossRef] [PubMed]
- Bai, L.; Sun, M.; Ma, W.; Yang, J.; Zhang, J.; Liu, Y. Enhanced magnetic properties of co-doped BiFeO3 thin films via structural progression. Nanomaterials 2020, 10, 1798. [Google Scholar] [CrossRef]
- Tian, Y.; Fu, Q.; Xue, F.; Zhou, L.; Wang, C.; Gou, H.; Zhang, M. Enhancement of dielectric and magnetic properties in phase pure, dense BiFeO3 nanoceramics synthesized by spark plasma sintering techniques. J. Mater. Sci. Mater. Electron. 2018, 29, 17170–17177. [Google Scholar] [CrossRef]
- Park, T.J.; Papaefthymiou, G.C.; Viescas, A.J.; Moodenbaugh, A.R.; Wong, S.S. Size-dependent magnetic properties of single-crystalline multiferroic BiFeO3 nanoparticles. Nano Lett. 2007, 7, 766–772. [Google Scholar] [CrossRef]
- Karoblis, D.; Griesiute, D.; Mazeika, K.; Baltrunas, D.; Karpinsky, D.V.; Lukowiak, A.; Kareiva, A. A facile synthesis and characterization of highly crystalline submicro-sized BiFeO3. Materials 2020, 13, 3035. [Google Scholar] [CrossRef]
- Semchenko, A.V.; Sidsky, V.V.; Bdikin, I.; Gaishun, V.E.; Kopyl, S.; Kovalenko, D.L.; Kholkin, A.L. Nanoscale Piezoelectric Properties and Phase Separation in Pure and La-Doped BiFeO3 Films Prepared by Sol–Gel Method. Materials 2021, 14, 1694. [Google Scholar] [CrossRef]
- Munir, Z.A.; Anselmi-Tamburini, U.; Ohyanagi, M. The effect of electric field and pressure on the synthesis and consolidation of materials: A review of the spark plasma sintering method. J. Mater. Sci. 2006, 41, 763–777. [Google Scholar] [CrossRef]
- Olevsky, E.; Dudina, D. Field-Assisted Sintering Science and Applications; Springer: Berlin/Heidelberg, Germany, 2018. [Google Scholar] [CrossRef]
- Guillon, O.; Gonzalez-Julian, J.; Dargatz, B.; Kessel, T.; Schierning, G.; Räthel, J.; Herrmann, M. Field-assisted sintering technology/spark plasma sintering: Mechanisms, materials, and technology developments. Adv. Eng. Mater. 2014, 16, 830–849. [Google Scholar] [CrossRef]
- Cologna, M.; Rashkova, B.; Raj, R. Flash Sintering of Nanograin Zirconia in <5 s at 850 °C. J. Am. Ceram. Soc. 2010, 93, 3556–3559. [Google Scholar]
- Song, S.H.; Zhu, Q.S.; Weng, L.Q.; Mudinepalli, V.R. A comparative study of dielectric, ferroelectric and magnetic properties of BiFeO3 multiferroic ceramics synthesized by conventional and spark plasma sintering techniques. J. Eur. Ceram. Soc. 2015, 35, 131–138. [Google Scholar] [CrossRef]
- Perez-Maqueda, L.A.; Gil-Gonzalez, E.; Perejon, A.; Lebrun, J.M.; Sanchez-Jimenez, P.E.; Raj, R. Flash sintering of highly insulating nanostructured phase-pure BiFeO3. J. Am. Ceram. Soc. 2017, 100, 3365–3369. [Google Scholar] [CrossRef]
- Gil-González, E.; Pérez-Maqueda, L.A.; Sánchez-Jiménez, P.E.; Perejón, A. Flash Sintering Research Perspective: A Bibliometric Analysis. Materials 2022, 15, 416. [Google Scholar] [CrossRef]
- Singh, M.K.; Prellier, W.; Singh, M.P.; Katiyar, R.S.; Scott, J.F. Spin-glass transition in single-crystal BiFeO3. Phys. Rev. B 2008, 77, 144403. [Google Scholar] [CrossRef]
- Das, B.K.; Ramachandran, B.; Dixit, A.; Rao, M.R.; Naik, R.; Sathyanarayana, A.T.; Amarendra, G. Emergence of two-magnon modes below spin-reorientation transition and phonon-magnon coupling in bulk BiFeO3: An infrared spectroscopic study. J. Alloy. Compd. 2020, 832, 154754. [Google Scholar] [CrossRef]
- Vijayanand, S.; Mahajan, M.B.; Potdar, H.S.; Joy, P.A. Magnetic characteristics of nanocrystalline multiferroic BiFeO3 at low temperatures. Phys. Rev. B 2009, 80, 064423. [Google Scholar] [CrossRef]
- Scott, J.F.; Singh, M.K.; Katiyar, R.S. Critical phenomena at the 140 and 200 K magnetic phase transitions in BiFeO3. J. Phys. Condens. Matter 2008, 20, 322203. [Google Scholar] [CrossRef]
- Redfern, S.A.T.; Wang, C.; Hong, J.W.; Catalan, G.; Scott, J.F. Elastic and electrical anomalies at low-temperature phase transitions in BiFeO3. J. Phys. Condens. Matter 2008, 20, 452205. [Google Scholar] [CrossRef]
- Weber, M.; Guennou, M.; Toulouse, C.; Cazayous, M.; Gillet, Y.; Gonze, X.; Kreisel, J. Temperature evolution of the band gap in BiFeO3 traced by resonant Raman scattering. Phys. Rev. B 2016, 93, 125204. [Google Scholar] [CrossRef]
- Perejón, A.; Murafa, N.; Sánchez-Jiménez, P.E.; Criado, J.M.; Subrt, J.; Dianez, M.J.; Pérez-Maqueda, L.A. Direct mechanosynthesis of pure BiFeO3 perovskite nanoparticles: Reaction mechanism. J. Mater. Chem. C 2013, 1, 3551–3562. [Google Scholar] [CrossRef]
- Palai, R.; Katiyar, R.; Schmid, H.; Tissot, P.; Clark, S.; Robertson, J.; Redfern, S.; Catalan, G.; Scott, J. βphase and γ-β metal-insulator transition in multiferroic BiFeO3. Phys. Rev. B 2008, 71, 014110. [Google Scholar] [CrossRef]
- Perejon, A.; Sanchez-Jimenez, P.E.; Criado, J.M.; Perez-Maqueda, L.A. Thermal stability of multiferroic BiFeO3: Kinetic nature of the β–γ transition and peritectic decomposition. J. Phys. Chem. C 2014, 118, 26387–26395. [Google Scholar] [CrossRef]
- Fischer, P.; Polomska, M.; Sosnowska, I.; Szymanski, M. Temperature dependence of the crystal and magnetic structures of BiFeO3. J. Phys. C Solid State Phys. 1980, 13, 1931. [Google Scholar] [CrossRef]
- Pikula, T.; Szumiata, T.; Siedliska, K.; Mitsiuk, V.I.; Panek, R.; Kowalczyk, M.; Jartych, E. The Influence of Annealing Temperature on the Structure and Magnetic Properties of Nanocrystalline BiFeO3 Prepared by Sol–Gel Method. Metall. Mater. Trans. A 2022, 53, 470–483. [Google Scholar] [CrossRef]
- Wei, J.; Wu, C.; Yang, T.; Lv, Z.; Xu, Z.; Wang, D.; Cheng, Z. Temperature-driven multiferroic phase transitions and structural instability evolution in lanthanum-substituted bismuth ferrite. J. Phys. Chem. C 2019, 123, 4457–4468. [Google Scholar] [CrossRef]
- Ramachandran, B.; Rao, M.R. Low temperature magnetocaloric effect in polycrystalline BiFeO3 ceramics. Appl. Phys. Lett. 2009, 95, 142505. [Google Scholar] [CrossRef]
- Ramachandran, B.; Dixit, A.; Naik, R.; Lawes, G.; Ramachandra Rao, M.S. Weak ferromagnetic ordering in Ca doped polycrystalline BiFeO3. J. Appl. Phys. 2012, 111, 023910. [Google Scholar] [CrossRef]
- Köferstein, R.; Buttlar, T.; Ebbinghaus, S.G. Investigations on Bi25FeO40 powders synthesized by hydrothermal and combustion-like processes. J. Solid State Chem. 2014, 217, 50–56. [Google Scholar] [CrossRef]
- Coey, J.M.D. Magnetic materials. In Magnetism and Magnetic Materials; Coey, J.M.D., Ed.; Cambridge University Press: Cambridge, UK, 2010; pp. 374–438. [Google Scholar]
- Waitz, T.; Karnthaler, H.P. Martensitic transformation of NiTi nanocrystals embedded in an amorphous matrix. Acta Mater. 2004, 52, 5461–5469. [Google Scholar] [CrossRef]
- Seki, K.; Kura, H.; Sato, T.; Taniyama, T. Size dependence of martensite transformation temperature in ferromagnetic shape memory alloy FePd. J. Appl. Phys. 2008, 103, 063910. [Google Scholar] [CrossRef]
- Manchón-Gordón, A.F.; López-Martín, R.; Vidal-Crespo, A.; Ipus, J.J.; Blázquez, J.S.; Conde, C.F.; Conde, A. Distribution of transition temperatures in magnetic transformations: Sources, effects and procedures to extract information from experimental data. Metals 2020, 10, 226. [Google Scholar] [CrossRef]
- Cheng, Z.X.; Li, A.H.; Wang, X.L.; Dou, S.X.; Ozawa, K.; Kimura, H.; Shrout, T.R. Structure, ferroelectric properties, and magnetic properties of the La-doped bismuth ferrite. J. Appl. Phys. 2008, 103, 07E507. [Google Scholar] [CrossRef]
- Castillo, M.E.; Shvartsman, V.V.; Gobeljic, D.; Gao, Y.; Landers, J.; Wende, H.; Lupascu, D.C. Effect of particle size on ferroelectric and magnetic properties of BiFeO3 nanopowders. Nanotechnology 2013, 24, 355701. [Google Scholar] [CrossRef]
- Tahir, M.; Riaz, S.; Hussain, S.S.; Awan, A.; Xu, Y.B.; Naseem, S. Solvent mediated phase stability and temperature dependent magnetic modulation in BiFeO3 nanoparticles. J. Magn. Magn. Mater. 2020, 503, 166563. [Google Scholar] [CrossRef]
- Nogués, J.; Schuller, I.K. Exchange bias. J. Magn. Magn. Mater. 1999, 192, 203–232. [Google Scholar] [CrossRef]
- Chinnasamy, C.N.; Narayanasamy, A.; Ponpandian, N.; Joseyphus, R.J.; Jeyadevan, B.; Tohji, K.; Chattopadhyay, K. Grain size effect on the Néel temperature and magnetic properties of nanocrystalline NiFe2O4 spinel. J. Magn. Magn. Mater. 2002, 238, 281–287. [Google Scholar] [CrossRef]
- Wang, T.; Song, S.H.; Ma, Q.; Ji, S.S. Multiferroic properties of BiFeO3 ceramics prepared by spark plasma sintering with sol-gel powders under an oxidizing atmosphere. Ceram. Int. 2019, 45, 2213–2218. [Google Scholar] [CrossRef]
- Tian, Y.; Xue, F.; Fu, Q.; Zhou, L.; Wang, C.; Gou, H.; Zhang, M. Structural and physical properties of Ti-doped BiFeO3 nanoceramics. Ceram. Int. 2018, 44, 4287–4291. [Google Scholar] [CrossRef]
- Oliveira, R.C.; Volnistem, E.A.; Astrath, E.A.; Dias, G.S.; Santos, I.A.; Garcia, D.; Eiras, J.A. La doped BiFeO3 ceramics synthesized under extreme conditions: Enhanced magnetic and dielectric properties. Ceram. Int. 2021, 47, 20407–20412. [Google Scholar] [CrossRef]
- Wang, T.; Wang, X.L.; Song, S.H.; Ma, Q. Effect of rare-earth Nd/Sm doping on the structural and multiferroic properties of BiFeO3 ceramics prepared by spark plasma sintering. Ceram. Int. 2020, 46, 15228–15235. [Google Scholar] [CrossRef]
- Sosnowska, I.; Neumaier, T.P.; Steichele, E. Spiral magnetic ordering in bismuth ferrite. J. Phys. C Solid State Phys. 1982, 15, 4835. [Google Scholar] [CrossRef]






| Composition | Technique | d | (10−3 emu/g) | (Oe) | (Oe) | Reference |
|---|---|---|---|---|---|---|
| BiFeO3 | Solid-State Reaction | data | 1.3 | −22 | 177 | This work |
| Mechanosynthesis + SPS | 100 nm | 3.5 | −11 | 451 | ||
| Mechanosynthesis + FS | 30 nm | 8.5 | −177 | 1173 | ||
| BiFeO3 | Sol-gel + SPS | 110 nm | 11 | 500 (5K) | [15] | |
| BiFeO3 | Sol-gel + SPS | 1–3 m | 0.6 | 50 | [50] | |
| 1–3 m | 2.4 | 120 | ||||
| BiFeO3 | High-energy ball milling + SPS | <200 nm | 5.7 | 600 | [23] | |
| BiTi0.05Fe0.95O3 | Sol-gel + SPS | <100 nm | 10 | 500 | [51] | |
| Bi0.85La0.15FeO3 | High-energy ball cryo milling + SPS | 24 nm | 5.2 | 630 | [52] | |
| Bi0.95Nd0.05FeO3 | Sol gel + SPS | <1 m | 10 | 685 | [53] | |
| Bi0.90Nd0.10FeO3 | 101 | 6721 | ||||
| Bi0.85Nd0.15FeO3 | 181 | 9497 | ||||
| Bi0.95Sm0.05FeO3 | 21 | 1954 | ||||
| Bi0.90Sm0.10FeO3 | 133 | 9627 | ||||
| Bi0.85Sm0.15FeO3 | 279 | 15117 |
Disclaimer/Publisher’s Note: The statements, opinions and data contained in all publications are solely those of the individual author(s) and contributor(s) and not of MDPI and/or the editor(s). MDPI and/or the editor(s) disclaim responsibility for any injury to people or property resulting from any ideas, methods, instructions or products referred to in the content. |
© 2022 by the authors. Licensee MDPI, Basel, Switzerland. This article is an open access article distributed under the terms and conditions of the Creative Commons Attribution (CC BY) license (https://creativecommons.org/licenses/by/4.0/).
Share and Cite
Manchón-Gordón, A.F.; Perejón, A.; Gil-González, E.; Kowalczyk, M.; Sánchez-Jiménez, P.E.; Pérez-Maqueda, L.A. Low Temperature Magnetic Transition of BiFeO3 Ceramics Sintered by Electric Field-Assisted Methods: Flash and Spark Plasma Sintering. Materials 2023, 16, 189. https://doi.org/10.3390/ma16010189
Manchón-Gordón AF, Perejón A, Gil-González E, Kowalczyk M, Sánchez-Jiménez PE, Pérez-Maqueda LA. Low Temperature Magnetic Transition of BiFeO3 Ceramics Sintered by Electric Field-Assisted Methods: Flash and Spark Plasma Sintering. Materials. 2023; 16(1):189. https://doi.org/10.3390/ma16010189
Chicago/Turabian StyleManchón-Gordón, Alejandro Fernando, Antonio Perejón, Eva Gil-González, Maciej Kowalczyk, Pedro E. Sánchez-Jiménez, and Luis A. Pérez-Maqueda. 2023. "Low Temperature Magnetic Transition of BiFeO3 Ceramics Sintered by Electric Field-Assisted Methods: Flash and Spark Plasma Sintering" Materials 16, no. 1: 189. https://doi.org/10.3390/ma16010189
APA StyleManchón-Gordón, A. F., Perejón, A., Gil-González, E., Kowalczyk, M., Sánchez-Jiménez, P. E., & Pérez-Maqueda, L. A. (2023). Low Temperature Magnetic Transition of BiFeO3 Ceramics Sintered by Electric Field-Assisted Methods: Flash and Spark Plasma Sintering. Materials, 16(1), 189. https://doi.org/10.3390/ma16010189

