Numerical Modelling of Geopolymer Concrete In-Filled Fibre-Reinforced Polymer Composite Columns Subjected to Axial Compression Loading
Abstract
:1. Introduction
2. Research Methodology
3. Modelling
3.1. Finite Element (FE) Modelling
3.2. Material Modelling
3.2.1. Unconfined Concrete
3.2.2. FRP Tube
3.2.3. Steel Reinforcement
3.2.4. Surface Interaction, Boundary Conditions and Load Application
4. Results and Discussion
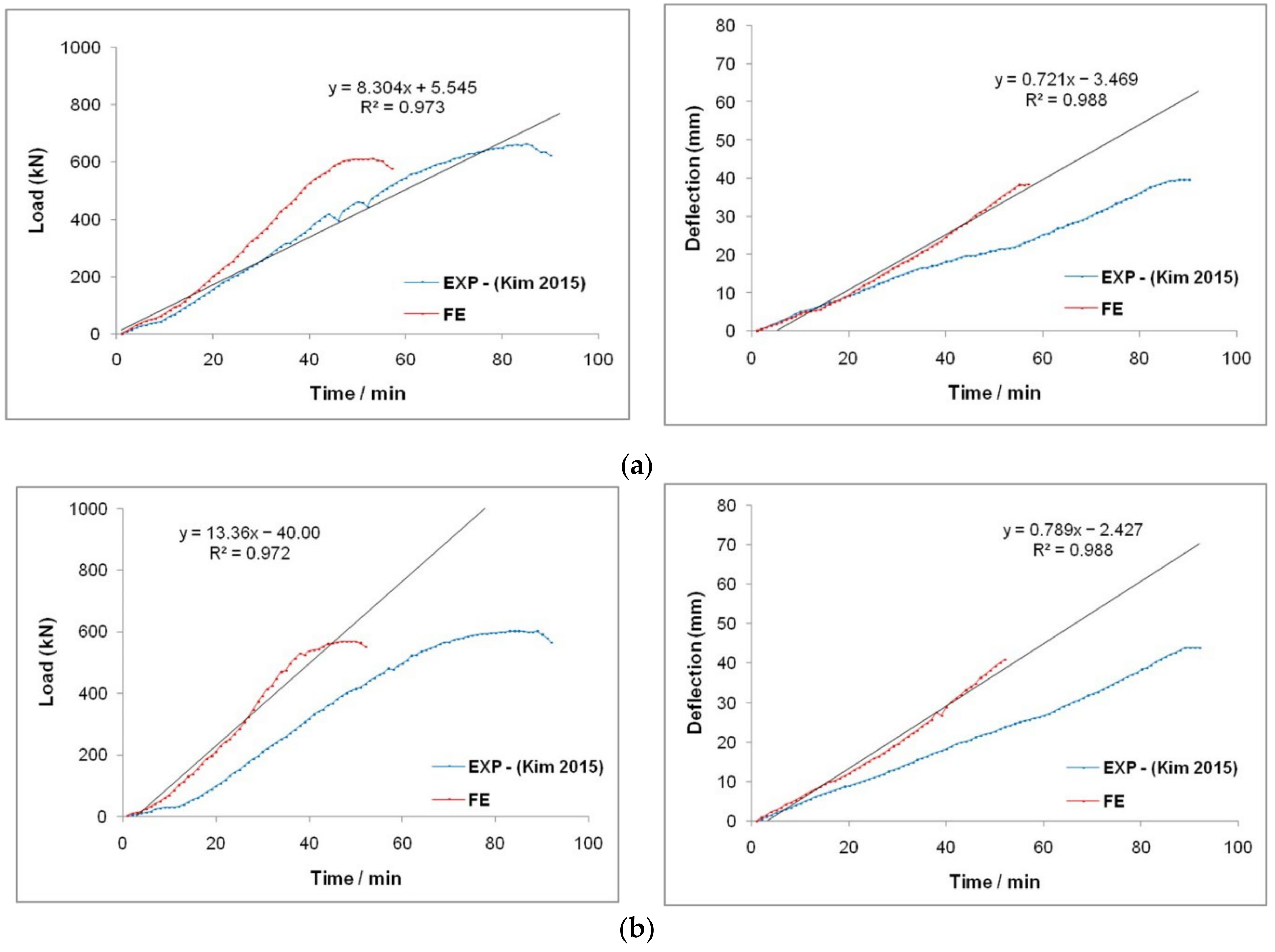
4.1. Finite Element Modelling Validation
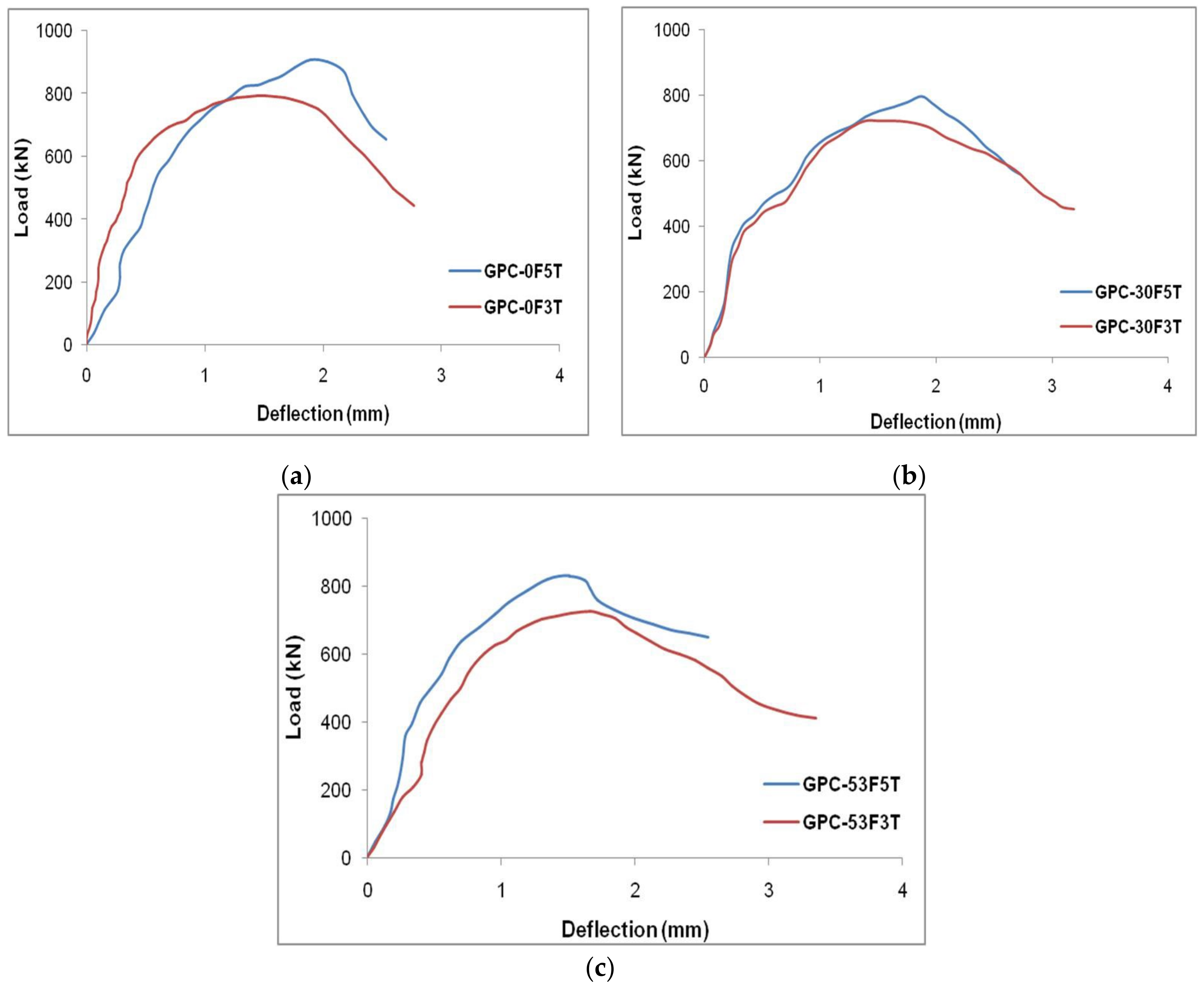
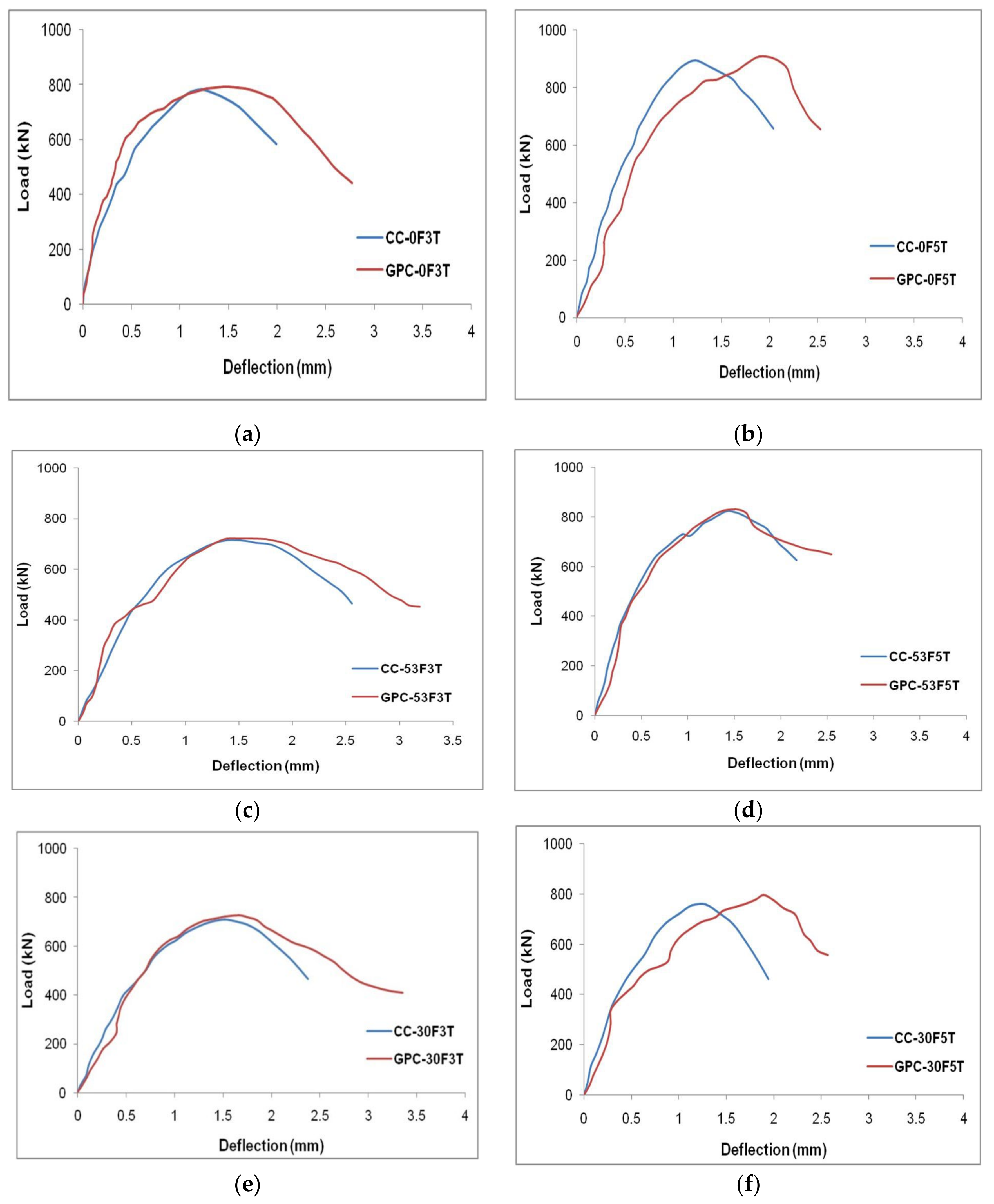
4.2. Load–Deflection Behaviour
4.3. Effect of Strength of GPC and CC
4.4. Impact of D/t Ratio
4.5. Axial Stress Distribution
4.6. Impact of Fibre Orientation
4.7. Friction in between the Concrete Surface and Enclosing FRP Tubes
4.8. Impact of FRP Confinement
5. Conclusions
- The LCC of the GPC-FRP composite columns (GPC-0F3T, GPC-0F5T, GPC-53F3T, GPC-53F5T, GPC-30F3T and GPC-30F5T) was (0.91, 1.01, 1.42, 2.04, 0.90 and 1.11%) greater than the CC-FRP composite columns (CC-0F3T, CC-0F5T, CC-53F3T, CC-53F5T, CC-30F3T and CC-30F5T).
- The ultimate LCC and corresponding deflection of the GPC-FRP composite columns could be considerably enhanced by increasing the thickness of the shell.
- The LCC of the GPC-FRP composite columns with a D/t ratio of 30 (GPC-0F5T, GPC-30F5T and GPC-53F5T) was (12.70, 10.25 and 14.23%) greater than the GPC-FRP composite columns with a D/t ratio of 50 (GPC-0F3T, GPC-30F3T and GPC-53F3T).
- The GPC-FRP composite columns with a fibre orientation of 0° exhibited better performance than the GPC-FRP composite columns with other fibre orientations (30° and 53°).
- Among the GPC-FRP composite columns with a D/t ratio of 50, the maximum LCC of column GPC-0F3T was (9.84 and 8.94%) greater than the columns GPC-30F3T and GPC-53F3T.
- In the GPC-FRP composite columns with a D/t ratio of 30, column GPC-0F5T was (14.13 and 9.25%) greater than columns GPC-30F5T and GPC-53F5T.
- The axial stress distribution pattern was higher in the GPC-FRP composite columns with 3 mm thickness than the GPC-FRP composite columns with 5 mm thickness.
- The load-carrying efficiency of the GPC-FRP composite columns with friction coefficients of 0.25 and 0.5 was quite comparable.
- The lateral confining pressure of the GPC-FRP composite columns improved as the thickness of the FRP tubes increased, and it was closely dependant on the tensile characteristics of the FRP tube.
- In the GPC-FRP composite columns with a D/t ratio of 50, the lateral confining pressure of column GPC-0F3T was (8.4 and 8.6%) higher than columns GPC-53F3T and GPC-30F3T.
- Among the GPC-FRP composite columns with a D/t ratio of 30, column GPC-0F5T was (9.06 and 11.39%) greater than columns GPC-53F5T and GPC-30F5T.
Author Contributions
Funding
Institutional Review Board Statement
Informed Consent Statement
Data Availability Statement
Acknowledgments
Conflicts of Interest
References
- Schneider, S.P. Axially loaded concrete-filled steel tubes. J. Struct. Eng. 1998, 124, 1125–1138. [Google Scholar] [CrossRef]
- O’Shea, M.D.; Bridge, R.Q. Design of circular thin-walled concrete filled steel tubes. J. Struct. Eng. 2000, 126, 1295–1303. [Google Scholar] [CrossRef]
- Fam, A.; Qie, F.S.; Rizkalla, S. Concrete-filled steel tubes subjected to axial compression and lateral cyclic loads. J. Struct. Eng. 2004, 130, 631–640. [Google Scholar] [CrossRef]
- Guo, R.; Xian, G.; Li, C.; Huang, X.; Xin, M. Effect of fiber hybridization types on the mechanical properties of carbon/glass fiber reinforced polymer composite rod. Mech. Adv. Mater. Struct. 2021, 1–13. [Google Scholar] [CrossRef]
- Xian, G.; Guo, R.; Li, C. Combined effects of sustained bending loading, water immersion and fiber hybrid mode on the mechanical properties of carbon/glass fiber reinforced polymer composite. Compos. Struct. 2022, 281, 115060. [Google Scholar] [CrossRef]
- Zhang, B.; Yu, T.; Teng, J.G. Behavior of concrete-filled FRP tubes under cyclic axial compression. J. Compos. Constr. 2015, 19, 04014060. [Google Scholar] [CrossRef] [Green Version]
- Idris, Y.; Ozbakkaloglu, T. Seismic behavior of high-strength concrete-filled FRP tube columns. J. Compos. Constr. 2013, 17, 04013013. [Google Scholar] [CrossRef]
- Sharbatdar, M.K.; Parsa, H. The evaluation of strengthening effect reinforced concrete structures with FRP on seismic dynamic performance of the structures. J. Struct. Constr. Eng. 2019, 6, 225–244. [Google Scholar] [CrossRef]
- Zhu, Z.; Ahmad, I.; Mirmiran, A. Effect of column parameters on axial compression behavior of concrete-filled FRP tubes. Adv. Struct. Eng. 2005, 8, 443–449. [Google Scholar] [CrossRef]
- Mohamed, H.M.; Masmoudi, R. Axial load capacity of concrete-filled FRP tube columns: Experimental versus theoretical predictions. J. Compos. Constr. 2010, 14, 231–243. [Google Scholar] [CrossRef]
- Ozbakkaloglu, T. Compressive behavior of concrete-filled FRP tube columns: Assessment of critical column parameters. Eng. Struct. 2013, 51, 188–199. [Google Scholar] [CrossRef] [Green Version]
- Ozbakkaloglu, T. Behavior of square and rectangular ultra high-strength concrete-filled FRP tubes under axial compression. Compos. Part B Eng. 2013, 54, 97–111. [Google Scholar] [CrossRef]
- Zeng, J.J.; Zheng, Y.Z.; Long, Y.L. Axial compressive behavior of FRP-concrete-steel double skin tubular columns with a rib-stiffened Q690 steel tube and ultra-high strength concrete. Compos. Struct. 2021, 268, 113912. [Google Scholar] [CrossRef]
- Du, Y.; Gao, D.; Chen, Z.; Zheng, Z.; Wang, X. Behaviors of FRP confined rectangular concrete-filled thin-walled steel tubular stub columns using high-strength materials under axial load. Compos. Struct. 2022, 280, 114915. [Google Scholar] [CrossRef]
- Ozbakkaloglu, T.; Xie, T. Geopolymer concrete-filled FRP tubes: Behavior of circular and square columns under axial compression. Compos. Part B Eng. 2016, 96, 215–230. [Google Scholar] [CrossRef]
- Lokuge, W.; Abousnina, R.; Herath, N. Behaviour of geopolymer concrete-filled pultruded GFRP short columns. J. Compos. Mater. 2019, 53, 2555–2567. [Google Scholar] [CrossRef]
- Ahmad, J.; Yu, T.; Hadi, M.N. Behavior of GFRP bar reinforced geopolymer concrete filled GFRP tube columns under different loading conditions. Structures 2021, 33, 1633–1644. [Google Scholar] [CrossRef]
- Meena, A.; Singh, N.; Singh, S.P. Mechanical Properties of Polypropylene Fiber-Reinforced Geopolymer Composites: A Review. In Recent Advancements in Civil Engineering. Lecture Notes in Civil Engineering; Laishram, B., Tawalare, A., Eds.; Springer: Singapore, 2022; pp. 261–273. [Google Scholar] [CrossRef]
- Trabacchin, G.; Sebastian, W.; Zhang, M. Experimental and analytical study of bond between basalt FRP bars and geopolymer concrete. Constr. Build. Mater. 2022, 315, 125461. [Google Scholar] [CrossRef]
- Abdelkarim, O.I.; ElGawady, M.A. Analytical and finite-element modeling of FRP-concrete-steel double-skin tubular columns. J. Bridge Eng. 2015, 20, B4014005. [Google Scholar] [CrossRef]
- Sadeghian, P.; Rahai, A.R.; Ehsani, M.R. Numerical modeling of concrete cylinders confined with CFRP composites. J. Reinf. Plast. Compos. 2008, 27, 1309–1321. [Google Scholar] [CrossRef]
- Hussein Abdallah, M.; Shazly, M.; Mohamed, H.M.; Masmoudi, R.; Mousa, A. Nonlinear finite element analysis of short and long reinforced concrete columns confined with GFRP tubes. J. Reinf. Plast. Compos. 2017, 36, 972–987. [Google Scholar] [CrossRef]
- Raza, A.; ur Rehman, A.; Masood, B.; Hussain, I. Finite element modelling and theoretical predictions of FRP-reinforced concrete columns confined with various FRP-tubes. Structures 2020, 26, 626–638. [Google Scholar] [CrossRef]
- Teng, J.G.; Xiao, Q.G.; Yu, T.; Lam, L. Three-dimensional finite element analysis of reinforced concrete columns with FRP and/or steel confinement. Eng. Struct. 2015, 97, 15–28. [Google Scholar] [CrossRef]
- Xue, B.; Gong, J. Study on steel reinforced concrete-filled GFRP tubular column under compression. Thin Walled Struct. 2016, 106, 1–8. [Google Scholar] [CrossRef]
- Kolanu, N.R.; Raju, G.; Ramji, M. A unified numerical approach for the simulation of intra and inter laminar damage evolution in stiffened CFRP panels under compression. Compos. Part B Eng. 2020, 190, 107931. [Google Scholar] [CrossRef]
- Rozylo, P. Stability and failure of compressed thin-walled composite columns using experimental tests and advanced numerical damage models. Int. J. Numer. Methods Eng. 2021, 122, 5076–5099. [Google Scholar] [CrossRef]
- Tan, P. Numerical simulation of the ballistic protection performance of a laminated armor system with pre-existing debonding/delamination. Compos. Part B Eng. 2014, 59, 50–59. [Google Scholar] [CrossRef]
- Li, G.; Maricherla, D.; Singh, K.; Pang, S.S.; John, M. Effect of fiber orientation on the structural behavior of FRP wrapped concrete cylinders. Compos. Struct. 2006, 74, 475–483. [Google Scholar] [CrossRef]
- Vincent, T.; Ozbakkaloglu, T. Influence of fiber orientation and specimen end condition on axial compressive behavior of FRP-confined concrete. Constr. Build. Mater. 2013, 47, 814–826. [Google Scholar] [CrossRef]
- Ozbakkaloglu, T.; Fanggi, B.L. Axial compressive behavior of FRP-concrete-steel double-skin tubular columns made of normal-and high-strength concrete. J. Compos. Constr. 2014, 18, 04013027. [Google Scholar] [CrossRef]
- Wong, Y.L.; Yu, T.; Teng, J.G.; Dong, S.L. Behavior of FRP-confined concrete in annular section columns. Compos. Part B Eng. 2008, 39, 451–466. [Google Scholar] [CrossRef]
- Abbood, I.S.; Aldeen Odaa, S.; Hasan, K.F.; Jasim, M.A. Properties evaluation of fiber reinforced polymers and their constituent materials used in structures—A review. Mater. Today Proc. 2021, 43, 1003–1008. [Google Scholar] [CrossRef]
- Roy, M.; Hollmann, C.; Wille, K. Influence of fiber volume fraction and fiber orientation on the uniaxial tensile behavior of rebar-reinforced ultra-high performance concrete. Fibers 2019, 7, 67. [Google Scholar] [CrossRef] [Green Version]
- Vincent, T.; Ozbakkaloglu, T. Influence of fiber type on behavior of high-strength concrete-filled FRP tubes under concentric compression. Appl. Mech. Mater. 2013, 438, 240–245. [Google Scholar] [CrossRef]
- Kim, H.; Suntharavadivel, T.G.; Duan, K. Effectiveness of Concrete Filled FRP Tubes under Axial Loading; Central Queensland University: Rockhampton, Australia, 2015. [Google Scholar] [CrossRef]
- Kim, H. Experimental Investigation of the Structural Behaviour of Concrete-Filled FRP Tubes. Ph.D. Thesis, Central Queensland University, Rockhampton, Australia, 2015. [Google Scholar]
- Abaqus 6.14-1. Abaqus/Standard User’s Manual and Abaqus CAE Manual; Dassault Systemes Simulia Corp.: Providence, RI, USA, 2014.
- Jankowiak, T.; Lodygowski, T. Identification of parameters of concrete damage plasticity constitutive model. Found. Civ. Environ. Eng. 2005, 6, 53–69. [Google Scholar]
- Barbero, E.J.; Cosso, F.A.; Roman, R.; Weadon, T.L. Determination of material parameters for Abaqus progressive damage analysis of E-glass epoxy laminates. Compos. Part B Eng. 2013, 46, 211–220. [Google Scholar] [CrossRef]
- Raju, I.S.; Wang, J.T. Classical laminate theory models for woven fabric composites. J. Compos. Technol. Res. 1994, 16, 289–303. [Google Scholar]
- Hashin, Z. Failure criteria for unidirectional fiber composites. J. Appl. Mech. 1980, 47, 329–334. [Google Scholar] [CrossRef]
- De Lorenzis, L.; Tepfers, R. Comparative study of models on confinement of concrete cylinders with fiber-reinforced polymer composites. J. Compos. Constr. 2003, 7, 219–237. [Google Scholar] [CrossRef]













| Column Label | Concrete Type | FRP Type | FRP Tube Thickness (mm) | D/t Ratio of FRP Tube |
|---|---|---|---|---|
| CC-0F3T | CC | GFRP | 3 | 50 |
| CC-0F5T | 5 | 30 | ||
| CC-53F3T | 3 | 50 | ||
| CC-53F5T | 5 | 30 | ||
| CC-30F3T | 3 | 50 | ||
| CC-30F5T | 5 | 30 | ||
| GPC-0F3T | GPC | 3 | 50 | |
| GPC-0F5T | 5 | 30 | ||
| GPC-53F3T | 3 | 50 | ||
| GPC-53F5T | 5 | 30 | ||
| GPC-30F3T | 3 | 50 | ||
| GPC-30F5T | 5 | 30 |
| Material Properties | Density (kg/m³) | Compressive Strength (MPa) | Elastic Modulus (GPa) | Poisson’s Ratio |
|---|---|---|---|---|
| GPC | 2380 | 30.52 | 27.39 | 0.21 |
| CC | 2412 | 31.40 | 28.02 | 0.23 |
| Type of FRP Material | Thickness (mm) | Fibre Orientation | Tensile Modulus (MPa) | Tensile Strength (MPa) | Elongation (%) |
|---|---|---|---|---|---|
| GFRP | 3 | 0° | 4158.00 (22.05) | 41.44 (1.22) | 1.56 |
| 53° | 2567.00 (42.87) | 38.16 (0.73) | 1.87 | ||
| 30° | 2320.83 (41.64) | 37.78 (0.53) | 0.88 | ||
| 5 | 0° | 4537.74 (36.74) | 46.89 (0.98) | 5.55 | |
| 53° | 4224.78 (26.94) | 43.11 (1.10) | 7.13 | ||
| 30° | 4205.79 (30.62) | 42.10 (0.92) | 3.90 |
| Type of Column | Ultimate Load (kN) | Deflection (mm) | Lateral Confining Pressure | Failure |
|---|---|---|---|---|
| CC-0F3T | 784.99 | 2.74 | 1.66 | FRP Rupture |
| CC-0F5T | 898.32 | 2.48 | 3.13 | |
| CC-53F3T | 716.91 | 3.07 | 1.53 | |
| CC-53F5T | 813.93 | 2.41 | 2.87 | |
| CC-30F3T | 714.69 | 3.22 | 1.51 | |
| CC-30F5T | 786.32 | 2.51 | 2.81 | |
| GPC-0F3T | 792.12 | 2.77 | 1.66 | |
| GPC-0F5T | 907.39 | 2.54 | 3.13 | |
| GPC-53F3T | 727.09 | 3.19 | 1.53 | |
| GPC-53F5T | 830.54 | 2.52 | 2.87 | |
| GPC-30F3T | 721.18 | 3.36 | 1.51 | |
| GPC-30F5T | 795.07 | 2.56 | 2.81 |
Publisher’s Note: MDPI stays neutral with regard to jurisdictional claims in published maps and institutional affiliations. |
© 2022 by the authors. Licensee MDPI, Basel, Switzerland. This article is an open access article distributed under the terms and conditions of the Creative Commons Attribution (CC BY) license (https://creativecommons.org/licenses/by/4.0/).
Share and Cite
Veerapandian, V.; Pandulu, G.; Jayaseelan, R.; Sathish Kumar, V.; Murali, G.; Vatin, N.I. Numerical Modelling of Geopolymer Concrete In-Filled Fibre-Reinforced Polymer Composite Columns Subjected to Axial Compression Loading. Materials 2022, 15, 3390. https://doi.org/10.3390/ma15093390
Veerapandian V, Pandulu G, Jayaseelan R, Sathish Kumar V, Murali G, Vatin NI. Numerical Modelling of Geopolymer Concrete In-Filled Fibre-Reinforced Polymer Composite Columns Subjected to Axial Compression Loading. Materials. 2022; 15(9):3390. https://doi.org/10.3390/ma15093390
Chicago/Turabian StyleVeerapandian, Varunkumar, Gajalakshmi Pandulu, Revathy Jayaseelan, Veerappan Sathish Kumar, Gunasekaran Murali, and Nikolai Ivanovich Vatin. 2022. "Numerical Modelling of Geopolymer Concrete In-Filled Fibre-Reinforced Polymer Composite Columns Subjected to Axial Compression Loading" Materials 15, no. 9: 3390. https://doi.org/10.3390/ma15093390
APA StyleVeerapandian, V., Pandulu, G., Jayaseelan, R., Sathish Kumar, V., Murali, G., & Vatin, N. I. (2022). Numerical Modelling of Geopolymer Concrete In-Filled Fibre-Reinforced Polymer Composite Columns Subjected to Axial Compression Loading. Materials, 15(9), 3390. https://doi.org/10.3390/ma15093390

