Study on Nitrile Oxide for Low-Temperature Curing of Liquid Polybutadiene
Abstract
:1. Introduction
2. Materials and methods
2.1. Materials
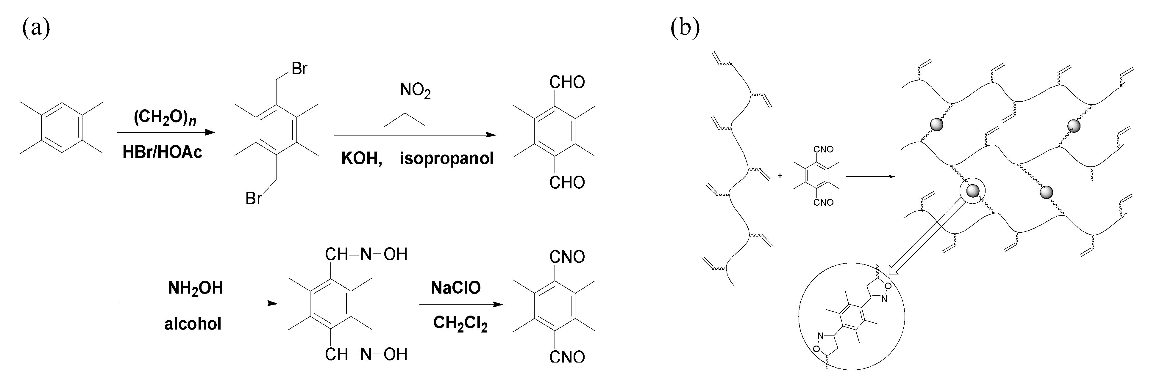
2.2. Synthesis of TTNO
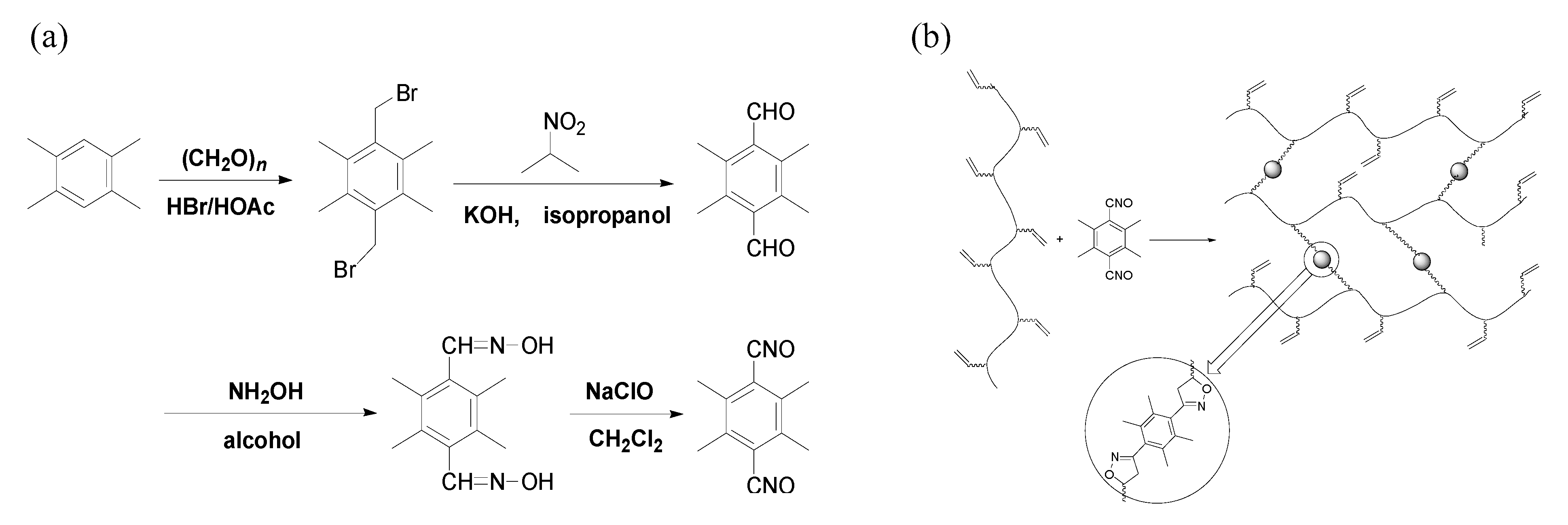
2.3. Materials Preparation of the Cross-Linked Rubber Material
2.4. Characterizations
3. Results and Discussion
3.1. FT-IR Spectra of the Cross-Linked Rubber Materials
3.2. Fracture Surfaces of the Cross-Linked Rubber Materials
3.3. Contact Angles of the Cross-Linked Rubber Materials
3.4. Mechanical Properties of the Cross-Linked Rubber Materials
3.5. Thermal Properties of the Cross-Linked Rubber Materials
4. Conclusions
Author Contributions
Funding
Conflicts of Interest
References
- Khan, M.A.S.; Dey, A.; Athar, J.; Sikder, A.K. Calculation of enthalpies of formation and band gaps of polymeric binders. RSC Adv. 2014, 4, 32840–32846. [Google Scholar] [CrossRef]
- Cohen, A.; Yan, Q.-L.; Shlomovich, A.; Aizikovich, A.; Petrutik, N.; Gozin, M. Novel nitrogen-rich energetic macromolecules based on 3,6-dihydrazinyl-1,2,4,5-tetrazine. RSC Adv. 2015, 5, 106971–106980. [Google Scholar] [CrossRef] [Green Version]
- Cauty, F.; Fabignon, Y.; Erades, C. New active binder-based propellants: A comparison with classical composite AP/HTPB propellants. Int. J. Energetic Mater. Chem. Propuls. 2013, 12, 1–13. [Google Scholar] [CrossRef]
- Pant, C.S.; Santosh, M.S.; Banerjee, S.; Khanna, P.K. Single Step Synthesis of Nitro-Functionalized Hydroxyl-Terminated Polybutadiene. Propell. Explos. Pyrotech. 2013, 38, 748–753. [Google Scholar] [CrossRef]
- Reshmi, S.; Arunan, E.; Nair, R. Azide and alkyne terminated polybutadiene binders: Synthesis, cross-linking, and propellant studies. Ind. Eng. Chem. Res. 2014, 53, 16612–16620. [Google Scholar] [CrossRef]
- Li, H.; Zhao, F.; Yu, Q.; Wang, B.; Lu, X. A comparison of triazole cross-linked polymers based on poly-AMMO and GAP: Mechanical properties and curing kinetics. J. Appl. Polym. Sci. 2016, 133, 43341. [Google Scholar] [CrossRef]
- Min, S.; Park, C.; Yoo, C. A study on the triazole cross-linked polymeric binder based on glycidyl azide polymer and dipolarophile curing agents. Propell. Explos. Pyrotech. 2012, 37, 59–68. [Google Scholar] [CrossRef]
- Lee, D.H.; Kim, K.T.; Jang, Y.; Lee, S.; Jeon, H.B.; Paik, H.J.; Kim, W.; Sun Min, B. 1,2,3-Triazole cross-linked polymers as binders for solid rocket propellants. J. Appl. Polym. Sci. 2014, 131, 40594. [Google Scholar] [CrossRef]
- Min, B.S.; Jeon, H.B.; Jeong, T.U.; Kim, S.Y. Energetic polymeric networks prepared via a solvent- and catalyst-free thermal cycloaddition of azide-bearing polymers with alkynes and hydroxyl-isocyanate addition reactions. Polym. Chem. 2015, 6, 7913–7920. [Google Scholar] [CrossRef]
- Wang, T.; Li, S.; Yang, B.; Huang, C.; Li, Y. Thermal Decomposition of Glycidyl Azide Polymer Studied by Synchrotron Photoionization Mass Spectrometry. J. Phys. Chem. B 2007, 111, 2449–2455. [Google Scholar] [CrossRef]
- Reshmi, S.; Vijayalakshmi, K.P.; Sadhana, R.; George, B.K.; Arunan, E.; Nair, C.P.R. Inter molecular azide–diisocyanate coupling: New insights for energetic solid propellants. RSC Adv. 2015, 5, 50478–50482. [Google Scholar] [CrossRef]
- Yakubov, A.P.; Tsyganov, D.V.; Belen’kii, L.I.; Krayushkin, M.M. Synthesis of stable functionally substituted nitrile oxides of the aromatic series. Russ Chem. Bull. 1991, 40, 1078–1080. [Google Scholar] [CrossRef]
- Tsyganov, D.V.; Yakubov, A.P.; Belen’kii, L.I.; Krayushkin, M.M. Synthesis and properties of stable aromatic bis(nitrile oxides). Russ Chem. Bull. 1991, 40, 1238–1243. [Google Scholar] [CrossRef]
- Feuer, H. Nitrile Oxides, Nitrones, and Nitronates in Organic Synthesis; John Wiley & Sons, Inc.: Hoboken, NJ, USA, 2008. [Google Scholar]
- Belen’kii, L.I.; Gromova, G.P.; Lichitskii, B.V.; Krayushkin, M.M. Synthesis of tetrachloroisophthalic and -terephthalic aldehydes and stable bis(nitrile oxides) based on them. Russ. Chem. Bull. 1997, 46, 101–104. [Google Scholar] [CrossRef]
- Li, Y.; Cheng, B. One-pot synthesis of precise polyisoxazoles by click polymerization: Copper (I)-catalyzed 1,3-dipolar cycloaddition of nitrile oxides with alkynes. J. Polym. Sci. Part A Polym. Chem. 2013, 51, 1645–1650. [Google Scholar] [CrossRef]
- Kesornpun, C.; Aree, T.; Mahidol, C.; Ruchirawat, S.; Kittakoop, P. Water-assisted nitrile oxide cycloadditions: Synthesis of isoxazoles and stereoselective syntheses of isoxazolines and 1,2,4-oxadiazoles. Angew. Chem. Int. Edit. 2016, 55, 3997–4001. [Google Scholar] [CrossRef] [PubMed]
- Choe, H.; Pham, T.T.; Lee, J.Y.; Latif, M.; Park, H.; Kang, Y.K.; Lee, J. Remote Stereoinductive Intramolecular Nitrile Oxide Cycloaddition: Asymmetric Total Synthesis and Structure Revision of (−)-11β-Hydroxycurvularin. J. Org. Chem. 2016, 81, 2612–2617. [Google Scholar] [CrossRef]
- Tegeler, J.; Diamond, J. Aroylnitrile oxide cyclizations. 1. Synthesis of (3-aroyl-1,2,4-oxadiazol-5-yl)acetic acids. J. Heterocycl. Chem. 1987, 24, 697–699. [Google Scholar] [CrossRef]
- Huffman, S.; Schultz, A.; Schlom, J. Novel reagents for heat-activated polymer crosslinking. Polym. Bull. 2001, 47, 159–166. [Google Scholar] [CrossRef]
- Kotelnikov, A.; Sukhinin, S.; Ermilov, S. Kinetics of formation and curing of oligoether urethane allyl ester. Russ. J. Appl. Chem. 2002, 75, 477–479. [Google Scholar] [CrossRef]
- Wang, X.; Li, P.; Lu, X.; Mo, H.; Xu, M.; Liu, N.; Shu, Y. Synthesis and Curing of Allyl Urethane NIMMO-THF Copolyether with Three Functional Groups as a Potential Energetic Binder. Central Eur. J. Energetic Mater. 2021, 17, 142–163. [Google Scholar] [CrossRef]
- Wang, X.; Li, P.; Lu, X.; Mo, H.; Xu, M.; Liu, N.; Shu, Y. Synthesis and Curing of AUT-PNIMMO with Three Functional Groups. Polym. Korea 2020, 43, 503–511. [Google Scholar] [CrossRef]
- Fan, Y.; Tang, C.; Hu, Q.; Lei, Y.; Huo, J. Evaluation on Curing Properties and Kinetics of Isophthalonitrile Oxide. Pol. J. Chem. Technol. 2018, 20, 37–46. [Google Scholar] [CrossRef] [Green Version]
- Kamble, V.G.; Mersch, J.; Tahir, M.; Stöckelhuber, K.W.; Das, A.; Wießner, S. Development of Liquid Diene Rubber Based Highly Deformable Interactive Fiber-Elastomer Composites. Materials 2022, 15, 390. [Google Scholar] [CrossRef]
- Pałka, K.; Miazga-Karska, M.; Pawłat, J.; Kleczewska, J.; Przekora, A. The Effect of Liquid Rubber Addition on the Physicochemical Properties, Cytotoxicity, and Ability to Inhibit Biofilm Formation of Dental Composites. Materials 2021, 14, 1704. [Google Scholar] [CrossRef]
- Wang, X.C.; Shu, Y.J.; Lei, Y.L.; Fan, Y.Q.; Lu, X.M.; Shu, Y. Curing of hydroxyl-terminated polybutadiene (HTPB) with nitrile oxide. Fine Chem. 2018, 35, 695–699. [Google Scholar]
- Wang, C.G.; Koyama, Y.; Yonekawa, M.; Uchida, S.; Takata, T. Polymer nitrile N-oxides derected toward catalyst- and solvent-free click grafting. Chem. Commun. 2013, 49, 7723–7725. [Google Scholar] [CrossRef]
- Goncharov, T.K.; Dubikhin, V.V.; Ignat’Eva, E.L.; Nazin, G.M.; Aliev, Z.G.; Aldoshin, S.M. Structure and stability of isoxazoline compounds. Russ. J. Gen. Chem. 2013, 83, 717–721. [Google Scholar] [CrossRef]
- Wang, Y.; Li, H.; Wang, X.; Lei, H.; Huo, J. Chemical modification of starch with epoxy resin to enhance the interfacial adhesion of epoxy-based glass fiber composites. RSC Adv. 2016, 6, 84187–84193. [Google Scholar] [CrossRef]





| TTNO Content | 8% | 10% | 12% | 14% | 16% |
|---|---|---|---|---|---|
| T5%(°C) | 352.23 | 352.74 | 351.93 | 350.52 | 344.11 |
| T10%(°C) | 376.17 | 377.65 | 376.57 | 373.27 | 368.98 |
Publisher’s Note: MDPI stays neutral with regard to jurisdictional claims in published maps and institutional affiliations. |
© 2022 by the authors. Licensee MDPI, Basel, Switzerland. This article is an open access article distributed under the terms and conditions of the Creative Commons Attribution (CC BY) license (https://creativecommons.org/licenses/by/4.0/).
Share and Cite
Li, P.; Wang, X. Study on Nitrile Oxide for Low-Temperature Curing of Liquid Polybutadiene. Materials 2022, 15, 3396. https://doi.org/10.3390/ma15093396
Li P, Wang X. Study on Nitrile Oxide for Low-Temperature Curing of Liquid Polybutadiene. Materials. 2022; 15(9):3396. https://doi.org/10.3390/ma15093396
Chicago/Turabian StyleLi, Ping, and Xiaochuan Wang. 2022. "Study on Nitrile Oxide for Low-Temperature Curing of Liquid Polybutadiene" Materials 15, no. 9: 3396. https://doi.org/10.3390/ma15093396
APA StyleLi, P., & Wang, X. (2022). Study on Nitrile Oxide for Low-Temperature Curing of Liquid Polybutadiene. Materials, 15(9), 3396. https://doi.org/10.3390/ma15093396

