Design and Preparation of White High-Strength Concrete with Ground Limestone Powder by Means of Response Surface Methodology
Abstract
:1. Introduction
2. Materials and methods
2.1. Materials
2.2. Mix Proportions and Sample Preparation
2.3. Testing Methods
2.3.1. Workability
2.3.2. Compressive Strength
2.3.3. Whiteness
2.3.4. Micro Morphology
3. Statistical Modelling Using Box–Behnken Design
3.1. Test Results and Model Analysis
3.2. Establishment of Regression Equation and Optimization Test
4. Results and Discussion
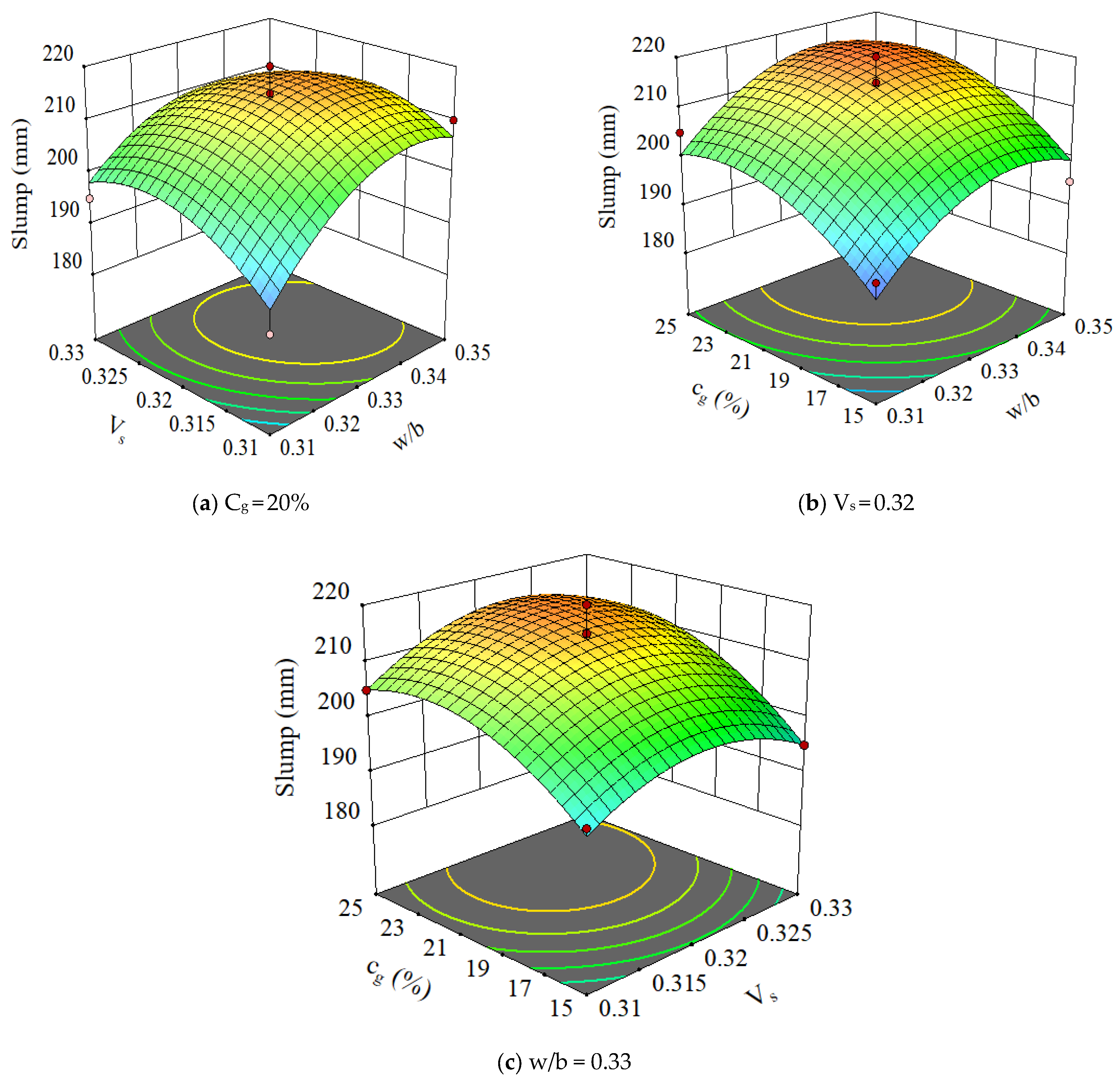
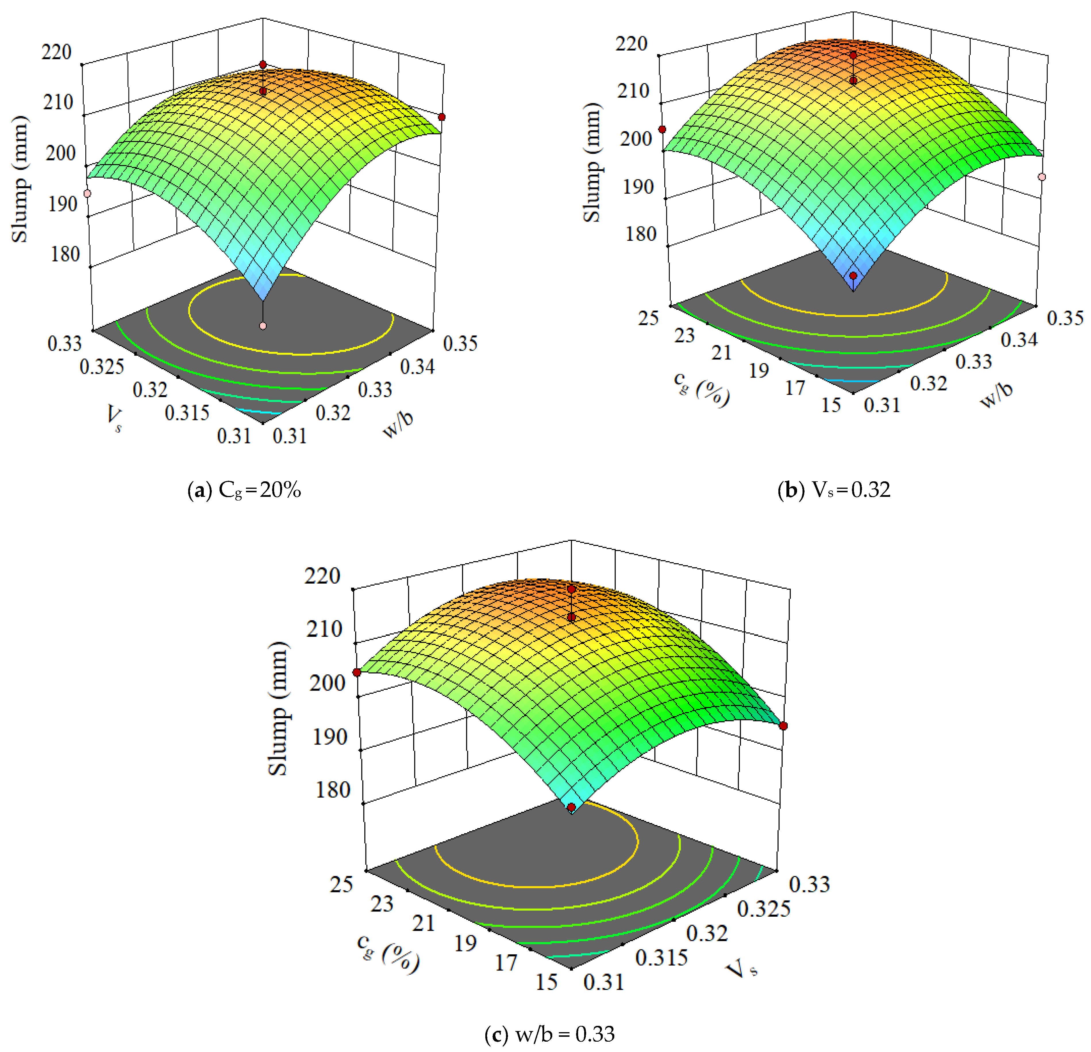
4.1. Slump
4.2. Whiteness
4.3. Compressive Strength
4.4. Morphology Analysis
5. Multi-Objective Optimization and Verification
6. Conclusions
- The slump, whiteness, and compressive strength can be well predicted by the Box–Behnken models with high accuracy.
- Both slump and compressive strength of concrete are significantly influenced by w/b while Vs, and Cg show moderate influence.
- Increased GLP content significantly improves the whiteness of high-strength concrete while this property is negligibly influenced by w/b and Vs.
- Multi-objective optimization is performed via RSM to provide optimized mix proportion with the maximized slump, whiteness, and compressive strength. The optimal mix proportion is the w/b of 0.333, Vs of 0.326, and Cg of 22.4%.
Author Contributions
Funding
Institutional Review Board Statement
Informed Consent Statement
Data Availability Statement
Acknowledgments
Conflicts of Interest
References
- Kirchheim, A.P.; Rheinheimer, V.; Dal Molin, D.C.C. Comparative study of white and ordinary concretes with respect of carbonation and water absorption. Constr. Build. Mater. 2015, 84, 320–330. [Google Scholar] [CrossRef]
- Biolzi, L.; Di Luzio, G.; Labuz, J.F. Mechanical properties of photocatalytic white concrete subjected to high temperatures. Cem. Concr. Compos. 2013, 39, 73–81. [Google Scholar] [CrossRef]
- Dellinghausen, L.M.; Gastaldini, A.L.G.; Vanzin, F.J.; Veiga, K.K. Total shrinkage, oxygen permeability, and chloride ion penetration in concrete made with white Portland cement and blast-furnace slag. Constr. Build. Mater. 2012, 37, 652–659. [Google Scholar] [CrossRef]
- Hamad, B.S. Investigations of chemical and physical properties of white cement concrete. Adv. Cem. Based Mater. 1995, 2, 161–167. [Google Scholar] [CrossRef]
- Lubeck, A.; Gastaldini, A.L.G.; Barin, D.S.; Siqueira, H.C. Compressive strength and electrical properties of concrete with white Portland cement and blast-furnace slag. Cem. Concr. Compos. 2012, 34, 392–399. [Google Scholar] [CrossRef]
- Ferraro, R.M.; Nanni, A. Effect of off-white rice husk ash on strength, porosity, conductivity and corrosion resistance of white concrete. Constr. Build. Mater. 2012, 31, 220–225. [Google Scholar] [CrossRef]
- Colak, A. Effects of chrome oxide and limestone filler on the wear characteristics of paste and concretes made with white Portland cement. Constr. Build. Mater. 2008, 22, 2276–2280. [Google Scholar] [CrossRef]
- Ren, Q.; Tao, Y.; Jiao, D.; Jiang, Z.; Ye, G.; De Schutter, G. Plastic viscosity of cement mortar with manufactured sand as influenced by geometric features and particle size. Cem. Concr. Compos. 2021, 122, 104163. [Google Scholar] [CrossRef]
- Ren, Q.; De Schutter, G.; Jiang, Z.; Chen, Q. Multi-level diffusion model for manufactured sand mortar considering particle shape and limestone powder effects. Constr. Build. Mater. 2019, 207, 218–227. [Google Scholar] [CrossRef]
- Ren, Q.; Xie, M.; Zhu, X.; Zhang, Y.; Jiang, Z. Role of limestone powder in early-age cement paste considering fineness effects. J. Mater. Civ. Eng. 2020, 32, 04020289. [Google Scholar] [CrossRef]
- Ren, Q.; Ding, L.; Dai, X.; Jiang, Z.; Schutter, G.D. Prediction of compressive strength of concrete with manufactured sand by Ensemble Classification and Regression Tree method. J. Mater. Civ. Eng. 2021, 33, 04021135. [Google Scholar] [CrossRef]
- Voglis, N.; Kakali, G.; Chaniotakis, E.; Tsivilis, S. Portland-limestone cements. Their properties and hydration compared to those of other composite cements. Cem. Concr. Compos. 2005, 27, 191–196. [Google Scholar] [CrossRef]
- Gunst, R.F. Response surface methodology: Process and product optimization using designed experiments. Technometrics 1996, 38, 284–286. [Google Scholar] [CrossRef]
- Idris, A.; Kormin, F.; Noordin, M.Y. Application of response surface methodology in describing the performance of thin film composite membrane. Sep. Purif. Technol. 2006, 49, 271–280. [Google Scholar] [CrossRef]
- Ghadge, S.V.; Raheman, H. Process optimization for biodiesel production from mahua (Madhuca indica) oil using response surface methodology. Bioresour. Technol. 2006, 97, 379–384. [Google Scholar] [CrossRef]
- Li, C.; Bai, J.H.; Cai, Z.L.; Fan, O.Y. Optimization of a cultural medium for bacteriocin production by Lactococcus lactis using response surface methodology. J. Biotechnol. 2002, 93, 27–34. [Google Scholar] [CrossRef]
- Puri, S.; Beg, Q.K.; Gupta, R. Optimization of alkaline protease production from Bacillus sp by response surface methodology. Curr. Microbiol. 2002, 44, 286–290. [Google Scholar] [CrossRef]
- Zhong, K.; Wang, Q. Optimization of ultrasonic extraction of polysaccharides from dried longan pulp using response surface methodology. Carbohyd. Polym. 2010, 80, 19–25. [Google Scholar] [CrossRef]
- Ruchi, G.; Anshu, G.; Khare, S.K. Lipase from solvent tolerant Pseudomonas aeruginosa strain: Production optimization by response surface methodology and application. Bioresour. Technol. 2008, 99, 4796–4802. [Google Scholar] [CrossRef]
- Nhan, N.P.T.; Hien, T.T.; Nhan, L.T.H.; Anh, P.N.Q.; Huy, L.T.; Nguyen, T.C.T.; Nguyen, T.D.; Bach, L.G. Application of response surface methodology to optimize the process of saponification reaction from coconut oil in ben tre—Vietnam. Solid State Phenom. 2018, 279, 235–239. [Google Scholar] [CrossRef]
- GB/T 50080; Standard for Test Method of Performance on Ordinary Fresh Concrete. China Architecture & Building Press: Beijing, China, 2016.
- GB/T 50081; Standard for Test Method Method of Mechanical Properties on Ordinary Concret. China Architecture & Building Press: Beijing, China, 2019.
- GB/T 5950; Method for Measurement of Whiteness of Building Materials and Non-Mental Mineral Products. China Architecture & Building Press: Beijing, China, 2008.
- Ramezanianpour, A.A.; Ghiasvand, E.; Nickseresht, I.; Mahdikhani, M.; Moodi, F. Influence of various amounts of limestone powder on performance of Portland limestone cement concretes. Cem. Concr. Compos. 2009, 31, 715–720. [Google Scholar] [CrossRef]
- Tsivilis, S.; Chaniotakis, E.; Kakali, G.; Batis, G. An analysis of the properties of Portland limestone cements and concrete. Cem. Concr. Compos. 2002, 24, 371–378. [Google Scholar] [CrossRef]
- Vuk, T.; Tinta, V.; Gabrovsek, R.; Kaucic, V. The effects of limestone addition, clinker type and fineness on properties of Portland cement. Cem. Concr. Res. 2001, 31, 135–139. [Google Scholar] [CrossRef]
- Zajac, M.; Rossberg, A.; Le Saout, G.; Lothenbach, B. Influence of limestone and anhydrite on the hydration of Portland cements. Cem. Concr. Compos. 2014, 46, 99–108. [Google Scholar] [CrossRef]
- Zhang, S.; Lu, D.; Ling, K.; Xu, J.; Xu, Z. Effects of dolomite and limestone powders on strength and hydration of cement mortars. J. Chin. Ceram. Soc. 2016, 44, 1126–1133. [Google Scholar] [CrossRef]
- Vance, K.; Aguayo, M.; Oey, T.; Sant, G.; Neithalath, N. Hydration and strength development in ternary portland cement blends containing limestone and fly ash or metakaolin. Cem. Concr. Compos. 2013, 39, 93–103. [Google Scholar] [CrossRef]
- Das, S.; Aguayo, M.; Dey, V.; Kachala, R.; Mobasher, B.; Sant, G.; Neithalath, N. The fracture response of blended formulations containing limestone powder: Evaluations using two-parameter fracture model and digital image correlation. Cem. Concr. Compos. 2014, 53, 316–326. [Google Scholar] [CrossRef]
- Soroka, I.; Stern, N. Calcareous fillers and the compressive strength of portland cement. Cem. Concr. Res. 1976, 6, 367–376. [Google Scholar] [CrossRef]
- Zhang, C.; Ramachandran, V.S. Influence of calcium carbonate as a fine filler on the hydration of tricalcium silicate. J. Chin. Ceram. Soc. 1988, 16, 110–117. [Google Scholar]
- Pera, J.; Husson, S.; Guilhot, B. Influence of finely ground limestone on cement hydration. Cem. Concr. Compos. 1999, 21, 99–105. [Google Scholar] [CrossRef] [Green Version]
- Bentz, D.P. Modeling the influence of limestone filler on cement hydration using CEMHYD3D. Cem. Concr. Compos. 2006, 28, 124–129. [Google Scholar] [CrossRef]
- Briki, Y.; Zajac, M.; Haha, M.B.; Scrivener, K. Impact of limestone fineness on cement hydration at early age. Cem. Concr. Res. 2021, 147, 106515. [Google Scholar] [CrossRef]








| Specific Surface Area (m2/kg) | Whiteness | Specific Density (g/cm3) | Setting Time (Min) | Compressive Strength (MPa) | ||
|---|---|---|---|---|---|---|
| Initial Setting | Final Setting | 3 Days | 28 Days | |||
| 334 | 91.1 | 3.08 | 172 | 270 | 36.5 | 61.8 |
| Oxide | CaO | SiO2 | Al2O3 | Fe2O3 | SO3 | K2O | Na2O | MgO | P2O5 |
|---|---|---|---|---|---|---|---|---|---|
| White cement | 72.27 | 18.77 | 3.98 | 0.21 | 3.73 | 0.43 | 0.06 | 0.21 | - |
| GLP | 97.57 | 0.22 | 0.06 | 0.04 | - | - | - | 1.97 | 0.08 |
| Independent Variable Factor | Coding and Level | ||
|---|---|---|---|
| −1 | 0 | 1 | |
| w/b | 0.31 | 0.33 | 0.35 |
| Vs | 0.31 | 0.32 | 0.33 |
| Cg (%) | 15 | 20 | 25 |
| No. | w/b | Vs | Cg | Cement (kg/m3) | GLP (kg/m3) | Water (kg/m3) | Sand (kg/m3) | Coarse Aggregate (kg/m3) | Water- Reducing Agent (kg/m3) |
|---|---|---|---|---|---|---|---|---|---|
| 1 | 0 | 0 | 0 | 383.6 | 95.9 | 158.2 | 756.8 | 1045.2 | 4.78 |
| 2 | 1 | −1 | 0 | 360.9 | 90.2 | 157.9 | 768.0 | 1060.5 | 4.51 |
| 3 | −1 | 0 | 1 | 369.2 | 123.1 | 152.6 | 756.8 | 1045.2 | 4.92 |
| 4 | 1 | 0 | 1 | 347.8 | 116.0 | 162.3 | 756.8 | 1045.2 | 4.64 |
| 5 | 0 | 0 | 0 | 383.6 | 95.9 | 158.2 | 756.8 | 1045.2 | 4.78 |
| 6 | 0 | 1 | 1 | 369.3 | 123.1 | 162.3 | 745.8 | 1029.7 | 4.92 |
| 7 | −1 | 0 | −1 | 422.1 | 74.5 | 154.0 | 756.8 | 1045.2 | 4.97 |
| 8 | 1 | 1 | 0 | 384.2 | 96.0 | 168.1 | 745.8 | 1029.7 | 4.80 |
| 9 | 0 | −1 | 1 | 347.0 | 115.7 | 152.7 | 768.0 | 1060.5 | 4.63 |
| 10 | 0 | −1 | −1 | 396.7 | 70.0 | 154.0 | 768.0 | 1060.5 | 4.66 |
| 11 | 0 | 0 | 0 | 383.6 | 95.9 | 158.2 | 756.8 | 1045.2 | 4.78 |
| 12 | 1 | 0 | −1 | 397.5 | 70.1 | 163.7 | 756.8 | 1045.2 | 4.68 |
| 13 | 0 | 1 | −1 | 422.2 | 74.5 | 163.9 | 745.8 | 1029.7 | 4.97 |
| 14 | 0 | 0 | 0 | 383.6 | 95.9 | 158.2 | 756.8 | 1045.2 | 4.78 |
| 15 | −1 | −1 | 0 | 383.2 | 95.8 | 148.5 | 768.0 | 1060.5 | 4.79 |
| 16 | −1 | 1 | 0 | 407.9 | 102.0 | 158.1 | 745.8 | 1029.7 | 5.10 |
| 17 | 0 | 0 | 0 | 383.6 | 95.9 | 158.2 | 756.8 | 1045.2 | 4.78 |
| No. | Independent Variable | Slump (mm) | Whiteness | Compressive Strength (MPa) | |||||
|---|---|---|---|---|---|---|---|---|---|
| w/b | Vs | Cg | Meas. | Pred. | Meas. | Pred. | Meas. | Pred. | |
| 1 | 0 | 0 | 0 | 210 | 214 | 77.3 | 78.4 | 74.3 | 74.0 |
| 2 | 1 | −1 | 0 | 210 | 207 | 76.8 | 75.1 | 64.8 | 66.1 |
| 3 | −1 | 0 | 1 | 205 | 201 | 81.7 | 81.1 | 76.6 | 77.7 |
| 4 | 1 | 0 | 1 | 210 | 213 | 76.8 | 78.6 | 63.8 | 60.7 |
| 5 | 0 | 0 | 0 | 210 | 214 | 76.8 | 78.4 | 73.8 | 74.0 |
| 6 | 0 | 1 | 1 | 210 | 211 | 83.6 | 82.5 | 72.6 | 72.8 |
| 7 | −1 | 0 | −1 | 195 | 195 | 71.5 | 71.6 | 80.1 | 78.3 |
| 8 | 1 | 1 | 0 | 210 | 206 | 77.3 | 76.5 | 64.3 | 67.2 |
| 9 | 0 | −1 | 1 | 205 | 205 | 79.8 | 79.7 | 71.9 | 73.7 |
| 10 | 0 | −1 | −1 | 190 | 187 | 68.2 | 66.4 | 72.6 | 75.7 |
| 11 | 0 | 0 | 0 | 215 | 214 | 78.3 | 78.4 | 75.3 | 74.0 |
| 12 | 1 | 0 | −1 | 195 | 199 | 72.2 | 72.8 | 69.4 | 68.3 |
| 13 | 0 | 1 | −1 | 195 | 194 | 69.1 | 70.2 | 73.8 | 73.6 |
| 14 | 0 | 0 | 0 | 220 | 214 | 80.3 | 78.4 | 74.2 | 74.0 |
| 15 | −1 | −1 | 0 | 185 | 189 | 71.9 | 72.6 | 80.3 | 77.4 |
| 16 | −1 | 1 | 0 | 195 | 198 | 73.6 | 75.3 | 81.5 | 80.2 |
| 17 | 0 | 0 | 0 | 215 | 214 | 79.3 | 78.4 | 72.2 | 74.0 |
| Source * | Sequential p-Value | Mismatched p-Value | Adjusted R2 | Predicted R2 | Evaluate |
|---|---|---|---|---|---|
| Linear | 0.0446 | 0.0654 | 0.3242 | 0.1710 | |
| 2FI | 0.9442 | 0.0368 | 0.1528 | −0.3885 | |
| Quadratic | 0.0112 | 0.2234 | 0.7294 | −0.2605 | Suggested |
| Cubic | 0.2234 | 0.8244 | Aliased |
| Source | Sequential p-Value | Mismatched p-Value | Adjusted R2 | Predicted R2 | Evaluate |
|---|---|---|---|---|---|
| Linear | 0.0006 | 0.0918 | 0.6629 | 0.5316 | Suggested |
| 2FI | 0.4025 | 0.0822 | 0.6688 | 0.3726 | |
| Quadratic | 0.0437 | 0.1905 | 0.8221 | 0.1370 | Suggested |
| Cubic | 0.1905 | 0.8941 | Aliased |
| Source | Sequential p-Value | Mismatched p-Value | Adjusted R2 | Predicted R2 | Evaluate |
|---|---|---|---|---|---|
| Linear | 0.0006 | 0.0194 | 0.6589 | 0.4405 | Suggested |
| 2FI | 0.3721 | 0.0175 | 0.6712 | 0.0297 | |
| Quadratic | 0.017 | 0.254 | 0.728 | −0.7376 | Suggested |
| Cubic | 0.017 | 0.9538 | Aliased |
| Source | df | Mean Square | F-Value | p-Value | ||||||
|---|---|---|---|---|---|---|---|---|---|---|
| Y1 | Y2 | Y3 | Y1 | Y2 | Y3 | Y1 | Y2 | Y3 | ||
| Model | 9 | 156.15 | 31.74 | 43.20 | 5.79 | 9.22 | 5.76 | 0.0152 | 0.0039 | 0.0155 |
| A | 1 | 312.50 | 7.22 | 296.46 | 11.59 | 2.10 | 39.51 | 0.0114 | 0.1909 | 0.0004 |
| B | 1 | 28.12 | 8.61 | 7.41 | 1.04 | 2.50 | 0.9878 | 0.3411 | 0.1578 | 0.3534 |
| C | 1 | 378.12 | 209.10 | 15.13 | 14.02 | 60.72 | 2.02 | 0.0072 | 0.0001 | 0.1986 |
| AB | 1 | 25.00 | 0.4225 | 0.7225 | 0.9272 | 0.1227 | 0.0963 | 0.3677 | 0.7364 | 0.7654 |
| AC | 1 | 2.274 × 10−13 | 19.80 | 23.04 | 8.432 × 10−15 | 5.75 | 3.07 | 1.0000 | 0.0476 | 0.1232 |
| BC | 1 | 6.25 | 0.4900 | 7.84 | 0.2318 | 0.1423 | 1.04 | 0.6449 | 0.7172 | 0.3407 |
| A2 | 1 | 244.80 | 24.25 | 28.85 | 9.08 | 7.04 | 3.84 | 0.0196 | 0.0328 | 0.0907 |
| B2 | 1 | 171.12 | 5.33 | 8.05 | 6.35 | 1.55 | 1.07 | 0.0399 | 0.2536 | 0.3348 |
| C2 | 1 | 171.12 | 6.84 | 2.32 | 6.35 | 1.99 | 0.3094 | 0.0399 | 0.2015 | 0.5954 |
| Residual | 7 | 26.96 | 3.44 | 7.50 | ||||||
| Lack of Fit | 3 | 39.58 | 5.30 | 15.81 | 2.26 | 2.59 | 12.42 | 0.2234 | 0.1905 | 0.0170 |
| Pure Error | 4 | 17.50 | 2.05 | 1.27 | ||||||
| Group | Std. Dev. | Mean | R2 | Adjusted R2 | Predicted R2 | Press | CV (%) | Signal-To-Noise Ratio |
|---|---|---|---|---|---|---|---|---|
| Model Y1 | 5.19 | 204.41 | 0.8816 | 0.7294 | −0.2605 | 2009.38 | 2.54 | 6.811 |
| Model Y2 | 1.86 | 76.14 | 0.9222 | 0.8221 | 0.1370 | 267.33 | 2.44 | 11.285 |
| Model Y3 | 2.74 | 73.03 | 0.8810 | 0.7280 | −0.7376 | 766.80 | 3.75 | 9.264 |
| w/b | Vs | Cg(%) | Slump (mm) | Whiteness | Compressive Strength (MPa) | ||||||
|---|---|---|---|---|---|---|---|---|---|---|---|
| Pred. | Meas. | D (%) | Pred. | Meas. | D (%) | Pred. | Meas. | D (%) | |||
| 0.333 | 0.326 | 22.4 | 215.3 | 214.5 | 1.80 | 80.8 | 80.2 | 0.87 | 72.9 | 73.3 | 1.22 |
Publisher’s Note: MDPI stays neutral with regard to jurisdictional claims in published maps and institutional affiliations. |
© 2022 by the authors. Licensee MDPI, Basel, Switzerland. This article is an open access article distributed under the terms and conditions of the Creative Commons Attribution (CC BY) license (https://creativecommons.org/licenses/by/4.0/).
Share and Cite
Xia, J.; Cao, C.; Jiang, Z.; Ren, Q.; Zhang, Y.; Wang, J.; Leng, F. Design and Preparation of White High-Strength Concrete with Ground Limestone Powder by Means of Response Surface Methodology. Materials 2022, 15, 3359. https://doi.org/10.3390/ma15093359
Xia J, Cao C, Jiang Z, Ren Q, Zhang Y, Wang J, Leng F. Design and Preparation of White High-Strength Concrete with Ground Limestone Powder by Means of Response Surface Methodology. Materials. 2022; 15(9):3359. https://doi.org/10.3390/ma15093359
Chicago/Turabian StyleXia, Jingliang, Changwei Cao, Zhengwu Jiang, Qiang Ren, Ying Zhang, Jing Wang, and Faguang Leng. 2022. "Design and Preparation of White High-Strength Concrete with Ground Limestone Powder by Means of Response Surface Methodology" Materials 15, no. 9: 3359. https://doi.org/10.3390/ma15093359
APA StyleXia, J., Cao, C., Jiang, Z., Ren, Q., Zhang, Y., Wang, J., & Leng, F. (2022). Design and Preparation of White High-Strength Concrete with Ground Limestone Powder by Means of Response Surface Methodology. Materials, 15(9), 3359. https://doi.org/10.3390/ma15093359

