Analytical Hysteretic Behavior of Square Concrete-Filled Steel Tube Pier Columns under Alternate Sulfate Corrosion and Freeze-Thaw Cycles
Abstract
:1. Introduction
2. Empirical Experimental Research
3. Finite Element Modeling
3.1. Material Properties
3.1.1. Steel Tube
3.1.2. Confined Core Concrete
3.2. Element Type and Mesh
3.3. Boundary Condition and Load Application
3.4. Concrete-Steel Tube Interface Modeling
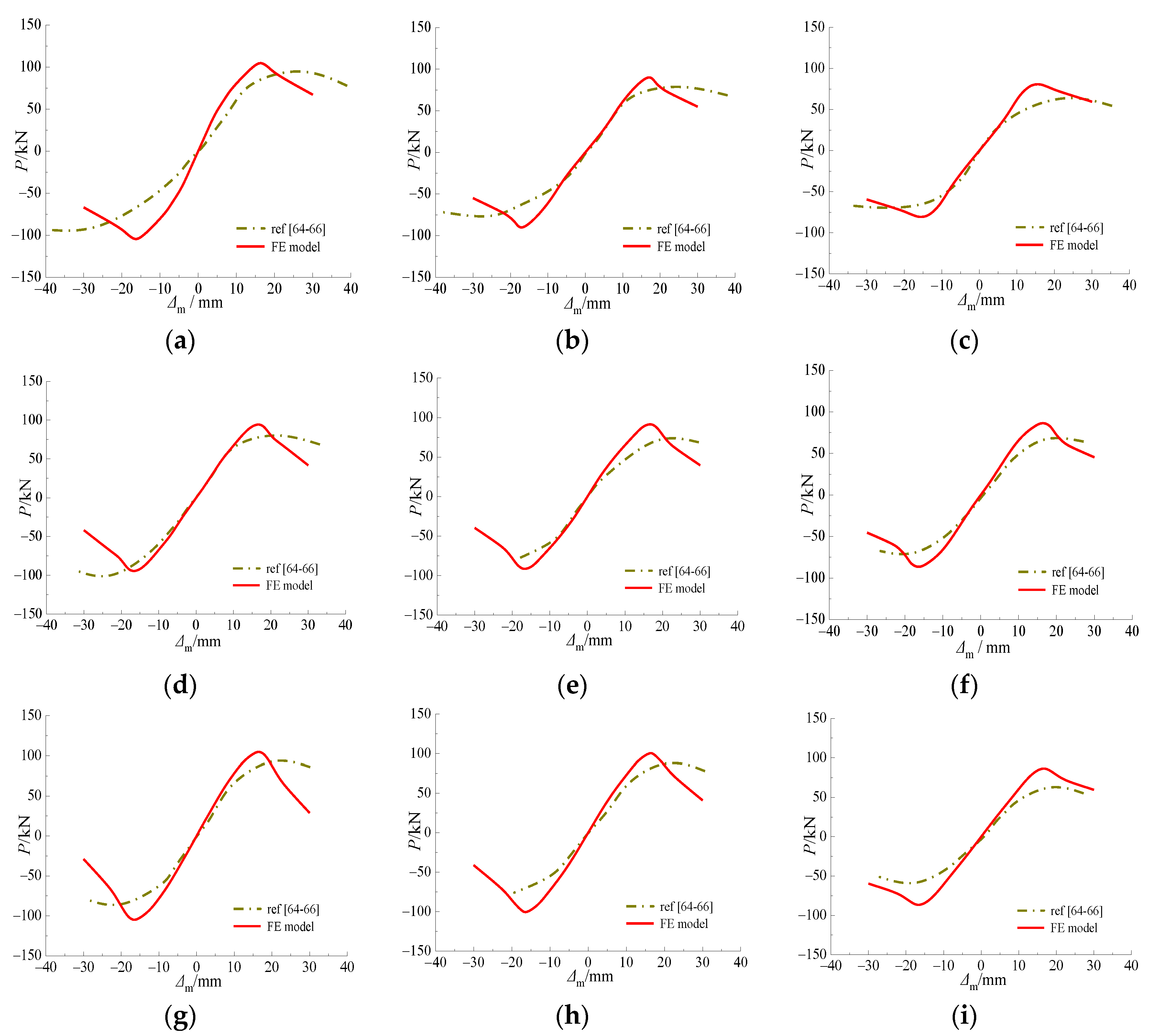
3.5. Verification of Finite Element Model
3.5.1. Failure Mode
3.5.2. Skeleton Curve
3.5.3. Horizontal Ultimate Compressive Strength
3.5.4. Hysteretic Behavior of CFSTs after Sulfate Corrosion
4. Analysis and Discussion
4.1. Yield Strength of Steel Tube
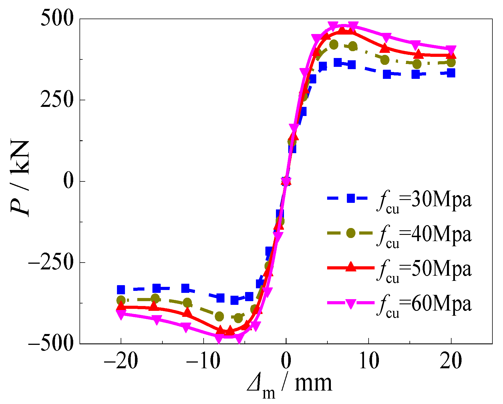
4.2. Compressive Strength of Core Concrete
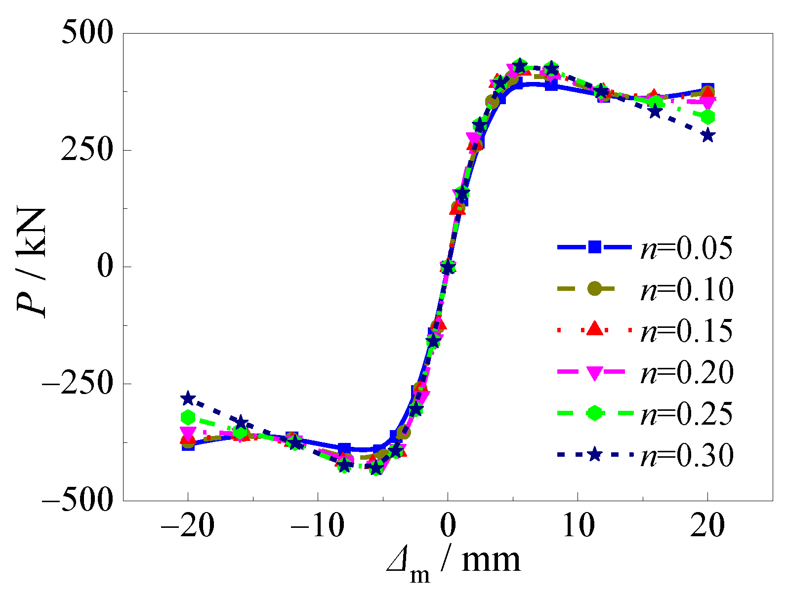
4.3. Steel Ratio
4.4. Axial Compression Ratio
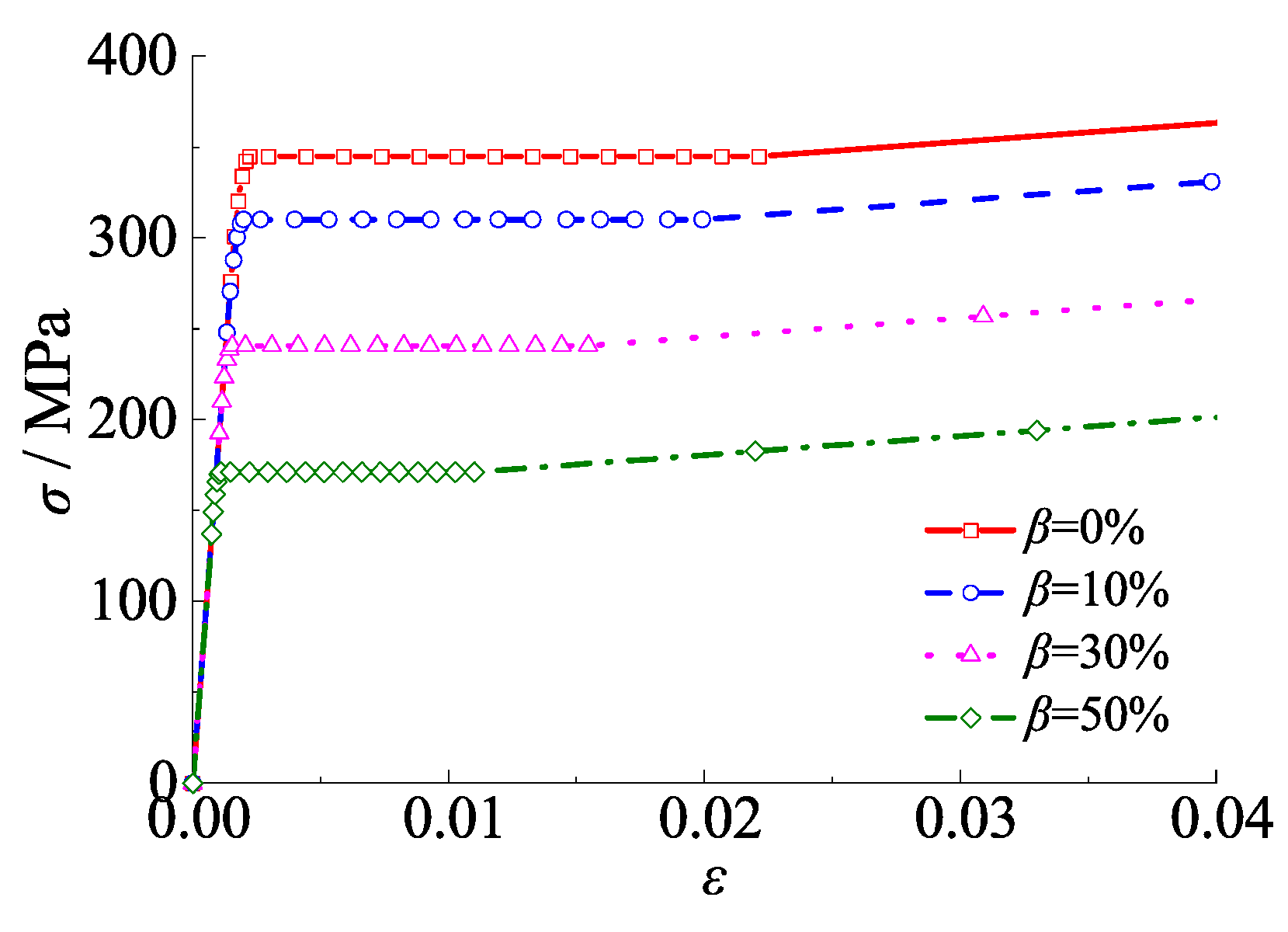
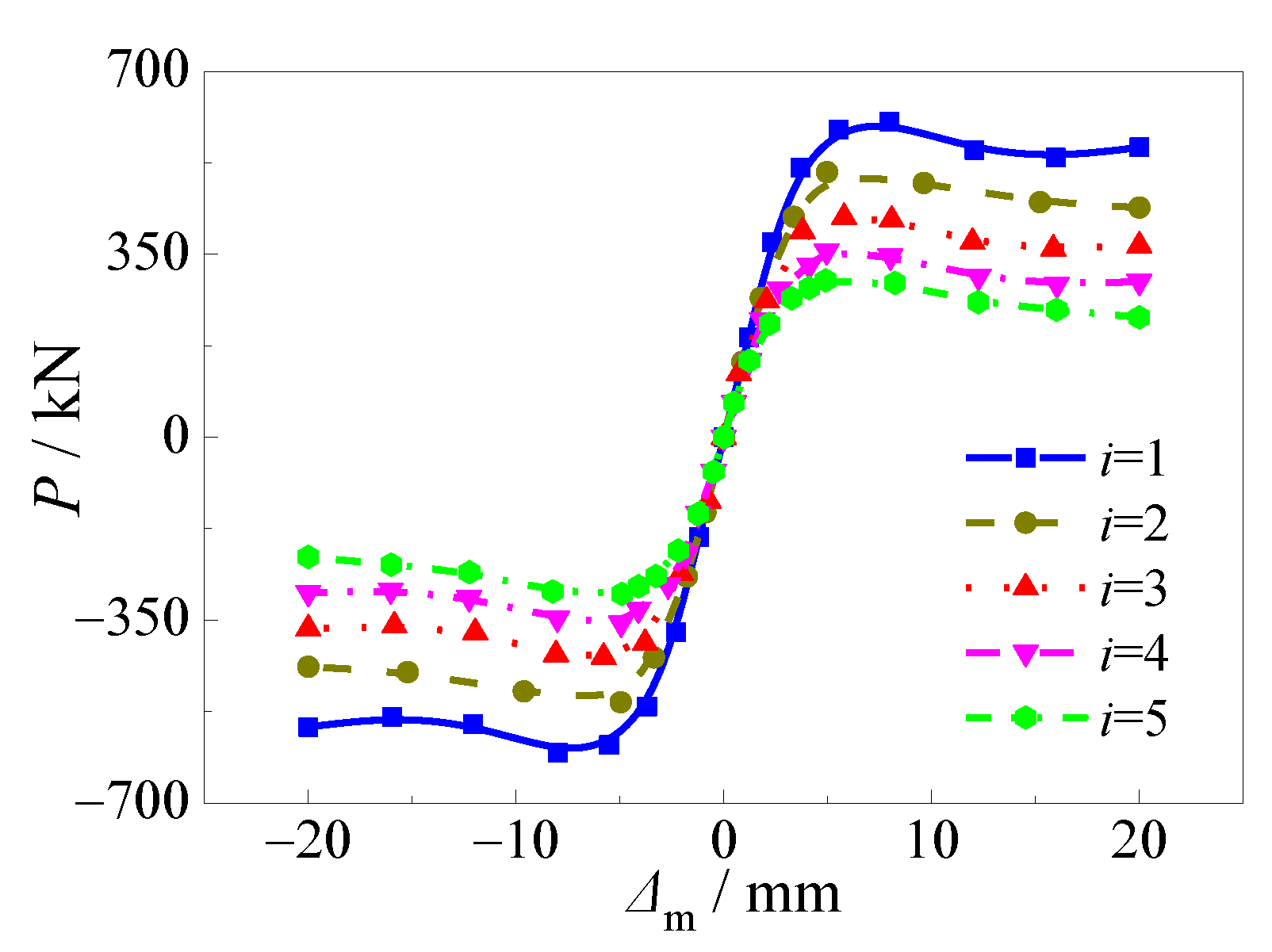
4.5. Sulfate Corrosion and Freeze-Thaw Cycles
5. Simplified Formula for Horizontal Ultimate Compressive Strength
5.1. Design Method
5.2. Modified Reduction Coefficient
5.3. Verified Design Model
6. Conclusions
- (1)
- The nonlinear finite element (FE) model considering the dual environmental impact of sulfate corrosion and freeze-thaw cycles was accurate in simulating the degradation of loading stiffness and unloading stiffness, bearing load, and ductility on the basis of reasonable damage factors.
- (2)
- The steel ratio, yield strength of steel tube, compressive strength of core concrete and alternation time have a significant effect on hysteretic behaviors of square concrete-filled steel tube (CFST) pier columns after alternate sulfate corrosion and freeze-thaw cycles. The cyclic curves of hysteresis loops increased with increasing steel ratio and yield strength of steel tube caused the increasing initial stiffness of the specimens. The skeleton curves corresponding to the hysteresis loops presented ductile behavior with increasing steel ratio and yield strength of steel tube. The effect of yield strength of the steel tube, compressive strength of core concrete, and alternation time on initial stiffness was negligible. The ultimate horizontal load increased by 21.4–126.4%, 26.3–39.2%, and 16.0–33.7% as the steel ratio increased from 0.06 to 0.20, the yield strength of steel tube increased from 235 MPa to 420 MPa, and compressive strength of core concrete increased from 30 MPa to 60 MPa, respectively while the ultimate horizontal load decreased by 16.2–50.2% as alternation time increased from 1 time to 5 times.
- (3)
- The steel ratio, compressive strength of core concrete, axial compression ratio, and alternation time have a significant effect on ductility behavior. The ductility of the specimens increased with the increasing steel ratio since the post stage of the skeleton curve varied from the descending stage to the ascending stage, while the ductility of the specimens decreased with the increasing compressive strength, axial compression ratio, and alternation time for the increasing brittleness caused by the damage of raw materials.
- (4)
- The confinement coefficient and alternation time were the two major factors that affect the reduction coefficient of the ultimate horizontal load of square CFST pier columns after alternate sulfate corrosion and freeze-thaw cycles. The horizontal bearing capacity decreased by 16.2–50.2% with the alternation time increasing from 1 time to 5 times. The horizontal bearing capacity decreased up to 17.7% as the confinement coefficient increased from 0.63 to 2.06.
- (5)
- A simplified formula for predicting the reduction coefficient of the horizontal bearing load with high accuracy with a mean value of 1.028 and standard deviation of 0.001 was developed.
- (6)
- A modified equation for predicting the ultimate horizontal load of square CFST pier columns after alternate sulfate corrosion and freeze-thaw cycles was proposed within the error of 15%.
Author Contributions
Funding
Institutional Review Board Statement
Informed Consent Statement
Data Availability Statement
Conflicts of Interest
References
- Han, L.H.; Li, W.; Bjorhovde, R. Developements and advanced applications of concrete-filled steel tubular (CFST) structures: Members. J. Constr. Steel Res. 2014, 100, 211–228. [Google Scholar] [CrossRef]
- Sakino, K.; Nakahara, H.; Morino, S.; Nishiyama, I. Behavior of centrally loaded concrete-filled steel tube short columns. J. Struct. Eng. 2004, 130, 180–188. [Google Scholar] [CrossRef]
- Li, W.; Wang, T.; Han, L.H. Seismic performance of concrete-filled double skin steel tubes after exposure to fire: Experiments. J. Constr. Steel Res. 2019, 154, 209–223. [Google Scholar] [CrossRef]
- Tao, Z.; Han, L.H.; Wang, D.Y. Strength and ductility of stiffened thin-walled hollow steel structural stub columns filled with concrete. Thin-Walled Struct. 2008, 45, 1113–1128. [Google Scholar] [CrossRef]
- Uy, B. Local and post-local buckling of concrete filled steel welded box columns. J. Constr. Steel Res. 1998, 47, 47–72. [Google Scholar] [CrossRef]
- Zheng, Y.Q.; Zeng, S.X. Design of L-shaped and T-shaped concrete-filled steel tubular stub columns under axial compression. Eng. Struct. 2020, 207, 110262. [Google Scholar] [CrossRef]
- Zhang, Y.B.; Han, L.H.; Zhou, K.; Yang, S.T. Mechanical performance of hexagonal multi-cell concrete-filled steel tubular (CFST) stub columns under axial compression. Thin-Walled Struct. 2019, 134, 71–83. [Google Scholar] [CrossRef] [Green Version]
- Zheng, J.L.; Wang, J.J. Concrete-filled steel tube arch bridges in China. Engineering 2018, 4, 143–155. [Google Scholar] [CrossRef]
- Gao, Q.F.; Ma, Q.L.; Cui, K.M.; Li, J.; Xu, C. Numerical investigation of the characteristics of the dynamic load allowance in a concrete-filled steel tube arch bridge subjected to moving vehicles. Shock. Vib. 2020, 2020, 8819137. [Google Scholar] [CrossRef]
- Yue, C.; Xiong, G.; Li, L.A.; Wang, S.B.; Li, H.Q.; Tong, J.W.; Mu, X.X. Reset monitoring for the cross—bridge of much across continuous beam. J. Exp. Mech. 2004, 19, 29–33. [Google Scholar]
- Fan, X.J. The application of concrete filled steel tube in columns piers. Shanxi Archit. 2007, 33, 321–322. [Google Scholar]
- Huang, Y.F.; Wu, Q.X.; Yuan, H.H. Vehicle vibration analysis of lightweight bridge with CFST composite truss girder and lattice pier. J. Guangxi Univ. (Nat. Sci. Ed.) 2018, 43, 1640–1650. [Google Scholar]
- Ou, Z.J. The practice of concrete filled steel tube piers to bridges: A review. Appl. Mech. Mater. 2013, 2685, 1602–1605. [Google Scholar] [CrossRef]
- Tomii, M.; Sakino, K. Experimental studies on the ultimate moment of concrete filled square steel tubular beam-columns. Trans. Archit. Inst. Jpn. 1979, 275, 55–65. [Google Scholar] [CrossRef] [Green Version]
- Nakanishi, K.; Kitada, T.; Nakai, H. Experimental study on ultimate strength and ductility of concrete-filled steel columns under strong earthquake. J. Constr. Steel Res. 1999, 51, 297–319. [Google Scholar] [CrossRef]
- Aval SB, B.; Saadeghvaziri, M.A.; Golafshani, A.A. Comprehensive composite inelastic fiber element for cyclic analysis of concrete-filled steel tube columns. J. Eng. Mech. 2002, 128, 428–437. [Google Scholar] [CrossRef] [Green Version]
- Bruneau, M.; Marson, J. Seismic design of concrete-filled circular steel bridge piers. J. Bridge Eng. 2004, 9, 24–34. [Google Scholar] [CrossRef]
- Li, J. Dynamic Time-History Analysis and Cumulative Damage Assessment of Concrete-Filled Steel Tube Columns; Hunan University: Changsha, China, 2016. [Google Scholar]
- Wang, Z.F.; Zhang, H.; Zhang, M.J.; Sui, W.N.; Toshitaka, Y. Analytical study on seismic performance partially concrete-filled steel bridge piers. J. Shenyang Jianzhu Univ. (Nat. Sci.) 2008, 24, 949–953. [Google Scholar]
- Chen, Z.Y.; Fang, H.; Zhu, L.; Mao, Y.F.; Liu, W.Q. Experimental tests and numerical simulations of circular reinforced concrete piers under ship impact. Adv. Bridge Eng. 2020, 1, 9–16. [Google Scholar] [CrossRef]
- Chen, M.C.; Fang, W.; Huang, H.; Wang, C.; Liu, J.J. Axial compressive behavior of recycled concrete filled corroded circular steel tubular columns. J. Build. Struct. 2019, 40, 138–146. [Google Scholar]
- Chen, M.C.; Wang, C.; Huang, H.; Liu, J.J. Study on mechanical properties of recycled concrete filled steel square tube under acid rain environment. Concrete 2016, 12, 1–12. [Google Scholar]
- Chen, M.C.; Lin, B.Y.; Huang, H. Research on the bearing capacity of corroded square concrete filled steel tubular short column. Steel Constr. 2017, 32, 110–116. [Google Scholar]
- Chen, M.C.; Wang, C.; Huang, H.; Liu, J.J. Experimental study on mechanical properties of the recycled concrete filled steel square tube short column under acid rain environment. Build Struct. 2017, 47, 35–40. [Google Scholar]
- Zhang, F.J.; Xia, J.W.; Guo, L.; Guo, Z.; Chang, H.F.; Wang, K.J. Degradation of axial ultimate loading-bearing capacity of circular thin-walled concrete filled steel tubular stub columns after corrosion. Materials 2020, 13, 795. [Google Scholar] [CrossRef] [PubMed] [Green Version]
- Yang, Y.F.; Cao, K.; Wang, T.Z. Experimental behavior of CFST stub columns after being exposed to freezing and thaw. Cold Reg. Technol. 2013, 89, 7–21. [Google Scholar] [CrossRef]
- Wang, K.; Liu, W.H.; Chen, Y.; Wang, J.; Xie, Y.; Fang, Y.; Liu, C. Investigation on mechanical behavior of square CFST stub columns after being exposed to freezing and thawing. J. Guangxi Univ. (Nat. Sci. Ed.) 2017, 42, 1250–1255. [Google Scholar]
- Yan, J.B.; Dong, X.; Wang, T. Axial compressive behaviours of square CFST stub columns at low temperatures. J. Constr. Steel Res. 2020, 164, 105812. [Google Scholar] [CrossRef]
- Yan, J.B.; Dong, X.; Zhu, J.S. Behaviurs of stub steel tubular columns subjected to axial compression at low temperatures. Constr. Build. Mater. 2019, 228, 116788. [Google Scholar] [CrossRef]
- Yan, J.B.; Dong, X.; Zhu, J.S. Compressive behaviours of CFST stub columns at low temperatures relevant to the Arctic environment. Constr. Build. Mater. 2019, 223, 503–519. [Google Scholar] [CrossRef]
- Gao, S.; Peng, Z.; Guo, L.H.; Fu, F.; Wang, Y.G. Compressive behavior of circular concrete-filled steel tubular columns under freeze-thaw cycles. J. Constr. Steel Res. 2020, 166, 1–9. [Google Scholar] [CrossRef] [Green Version]
- Li, G.; Hou, C.; Shen, L.M.; Yao, G.H. Performance and strength calculation of CFST columns with localized pitting corrosion damage. J. Constr. Steel Res. 2022, 188, 107011. [Google Scholar] [CrossRef]
- Zhang, T.; Lyu, X.T.; Liu, H.Q.; Zhang, L.Q.; Wang, J.F.; Gao, S. Axial performance degradation of squared CFST stubs in severe cold and acid rain area. Constr. Build. Mater. 2020, 282, 120612. [Google Scholar] [CrossRef]
- Gan, D. Static and Seismic Behavior of Steel Tube Confined Concrete Short Columns; Lanzhou University: Lanzhou, China, 2012. [Google Scholar]
- Wu, B. Experimental Research on Seismic Behavior of Tubed RC Short Columns with High Longitudinal Reinforcement Ratio; Harbin Institute of Technology: Harbin, China, 2008. [Google Scholar]
- Ye, J.X. Experimental Research on Seismic Behavior of Steel Tube Confined Reinforced High-Strength Concrete Short Columns; Harbin Institute of Technology: Harbin, China, 2010. [Google Scholar]
- Zhou, X.H.; Liu, J.P. Seismic behavior and strength of tubed steel reinforced concrete (SRC) short columns. J. Constr. Steel Res. 2010, 66, 885–896. [Google Scholar] [CrossRef]
- Wu, C.; Xu, S.C.; Zhao, Q.S.; Yang, Y.K. Experimental research on seismic behavior of ultrahigh-performance concrete filled square steel tubular short columns. Ind. Constr. 2019, 49, 188–194. [Google Scholar]
- Wang, Y.T.; Cai, J.; Long, Y.L.; Yang, C.; Chen, Q.J.; Zuo, Z.L. Experimental study on seismic behavior of square concrete-filled steel tubular stub columns with binding bars. J. Build. Struct. 2015, 36, 18–25. [Google Scholar]
- Wang, Y.T. Seismic Behavior of Rectangular Concrete-Filled Steel Tubular Stub Columns with Binding Bars; South China University of Technology: Guangzhou, China, 2015. [Google Scholar]
- Liao, X.S. Research on Seismic Behavior of Square CFST Columns with Binding Bars; South China University of Technology: Guangzhou, China, 2014. [Google Scholar]
- Wang, T.C.; Zhang, L.; Zhao, H.L.; Du, C. Analysis of parameter influence on seismic behavior of concrete filled square steel tubular columns. J. Build. Struct. 2013, 34, 339–344. [Google Scholar]
- Li, L.M.; Li, N.; Chen, Z.H.; Jiang, X.L. Anti-seismic test on concrete-filled square steel tube column. J. Jilin Univ. (Eng. Technol. Ed.) 2008, 38, 817–822. [Google Scholar]
- ABAQUS. ABAQUS Standard User’s Manual; Version 6.13; Dassault Systemems Crop.: Providence, RI, USA, 2013. [Google Scholar]
- Han, L.H. Concrete Filled Steel Tubular Structures: Theory and Practice, 3rd ed.; Science Press: Beijing, China, 2016. [Google Scholar]
- Ministry of Housing and Urban-Rural Development of the People’s Republic of China (MOHURD). GB50010-2010: Code for Design of Concrete Structures; China Architecture & Building Press: Beijing, China, 2011. (In Chinese) [Google Scholar]
- American Concrete Institute (ACI). ACI318-08: Building Code Requirements for Structural Concrete and Commentary; ACI: Farmington Hills, MI, USA, 2008. [Google Scholar]
- EN-1992-1-1; Eurocode 2-Design of Concrete Structures, Part 1-1: General Rules and Rules for Buildings. European Committee for Standardization: Brussels, Belgium, 2004.
- Ministry of Housing and Urban-Rural Development of the People’s Republic of China (MOHURD). GB50017-2017: Standard for Design of Steel Structures; China Architecture & Building Press: Beijing, China, 2018. (In Chinese) [Google Scholar]
- Australian Standard (AS). AS4100-2020: Steel Structures; Australian Standard: Sydney, Australia, 2020. [Google Scholar]
- Ministry of Housing and Urban-Rural Development of the People’s Republic of China (MOHURD). JGJ/T 101-2015: Specification for Seismic Test of Buildings; China Architecture & Building Press: Beijing, China, 2015. (In Chinese) [Google Scholar]
- Wen, Y.K. Method for random vibration of hysteretic systems. J. Eng. Mech. Div. 1976, 102, 249–263. [Google Scholar] [CrossRef]
- Wen, Y.K. Equivalent linearization for hysteretic systems under random excitation. J. Appl. Mech. 1980, 47, 150–154. [Google Scholar] [CrossRef]
- Nicolo, V.; Salvatore, S.; Francesco, M.; Luciano, R. A class of uniaxial phenomenological models for simulating hysteretic phenomena in rate-independent mechanical systems and materials. Nonlinear Dyn. 2018, 93, 1647–1669. [Google Scholar]
- Nicolo, V.; Salvatore, S.; Luciano, R. A generalized class of uniaxial rate-independent models for simulating asymmetric mechanical hysteresis phenomena. Mech. Syst. Signal Processing 2021, 146, 106984. [Google Scholar]
- Charalampakis, A.E.; Koumousis, V.K. Identification of Bouc-Wen hysteretic systems by a hybrid evolutionary algorithm. J. Sound Vib. 2008, 314, 571–585. [Google Scholar] [CrossRef]
- Nicolo, V.; Salvotore, S.; Francesco, M.; Luciano, R. Nonlinear dynamic analysis of hysteretic mechanical systems by combining a novel rate-independent model and an explicit time integration method. Nonlinear Dyn. 2019, 98, 2879–2901. [Google Scholar]
- Tao, Z.; Wang, Z.B.; Yu, Q. Finite element modeling of concrete-filled steel tube columns under axial compression. J. Constr. Steel Res. 2013, 89, 121–131. [Google Scholar] [CrossRef]
- Wilfried, B.; Krazig, R.P. An elasto-plastic damage model for reinforced concrete with minimum number of material paramters. Comput. Struct. 2004, 82, 1201–1215. [Google Scholar]
- Wang, Z.Q.; Yu, Z.W. Concrete damage model based on energy loss. J. Build. Mater. 2004, 7, 365–369. [Google Scholar]
- Lyu, W.Q.; Han, L.H.; Hou, C. Axial compressive behaviour and design calculations on recycled aggregate concrete-filled steel tubular (RAC-FST) stub columns. Eng. Struct. 2021, 241, 112452. [Google Scholar] [CrossRef]
- Han, L.H.; Yao, G.H.; Tao, Z. Performance of concrete-filled thin-walled steel tubes under pure torsion. Thin-Walled Struct. 2007, 45, 24–36. [Google Scholar] [CrossRef]
- Yan, R. Post-Fire Behaviors of Axially Loaded Reinforced Concrete Stub Columns Confined by Square Steel Tubes; Harbin Institute of Technology: Harbin, China, 2017. [Google Scholar]
- Zhang, F.M. An Seismic Performance Research on Components of Square Concrete Filled Steel Tubes after the Simulated Acid Rain Corrosion; East China Jiaotong University: Nanchang, China, 2016. [Google Scholar]
- Chen, M.C.; Zhang, M.F.; Huang, H.; Wang, C. Study on seismic performance of concrete filled square steel tubes subjected to simulated acid rain attack. J. China Railw. Soc. 2018, 44, 106–114. [Google Scholar]
- Yuan, F.; Chen, M.C.; Huang, H. Square CFST columns under cyclic load and acid rain attack: Experiments. Steel Compos. Struct. 2019, 30, 171–183. [Google Scholar]
- Ministry of Housing and Urban-Rural Development of the People’s Republic of China (MOHURD). CJJ166-2011: Code for Seismic Design of Urban Bridges; China Architecture & Building Press: Beijing, China, 2011. (In Chinese) [Google Scholar]
- Zhang, T.; Lyu, X.T.; Yang, Y. Prediction and analysis of the residual capacity of concrete-filled steel tube stub columns under axial compression subjected to combined freeze-thaw cycles and acid rain corrosion. Materials 2019, 12, 3070. [Google Scholar] [CrossRef] [Green Version]
- Ministry of Housing and Urban-Rural Development of the People’s Republic of China (MOHURD). GB50936-2014: Code for Design of Concrete Filled Steel Tubular Structures; China Architecture & Building Press: Beijing, China, 2014. (In Chinese) [Google Scholar]



























| No. | Reference | Labels | B × L × t (mm) | fcu, test (MPa) | fy (MPa) | fby (MPa) | d (mm) | n |
|---|---|---|---|---|---|---|---|---|
| 1 | [34,35] | STRC-60-1.5-4 | 200 × 600 × 1.89 | 60.0 | 309.2 | 357.0 | 16.4 | 0.40 |
| 2 | STRC-60-1.5-6 | 0.60 | ||||||
| 3 | [36,37] | STRC-70-4-1.5 | 200 × 600 × 3.00 | 75.1 | 254.0 | 449.4 | 11.0 | 0.35 |
| 4 | STRC-70-5-1.5 | 0.45 | ||||||
| 5 | STRC-70-6-1.5 | 0.55 | ||||||
| 6 | [38] | FGZ4 | 250 × 1250 × 5.00 | 33.0 | 389.0 | NA | NA | 0.24 |
| 7 | [39,40,41] | A1 | 200 × 600 × 6.00 | 50.1 | 330.0 | 0.20 | ||
| 8 | A2 | 0.40 | ||||||
| 9 | A3 | 0.60 | ||||||
| 10 | [42,43] | RS-4L | 250 × 530 × 4.00 | 41.0 | 265.0 | 0.20 | ||
| 11 | RS-6M | 250 × 530 × 6.00 | 317.6 | 0.40 | ||||
| 12 | RS-10H | 250 × 530 × 10.00 | 242.2 | 0.54 |
| No. | Ref. | Specimen Labels | Pue1 (kN) | Pue2 (kN) | Pfe1 (kN) | Pfe2 (kN) | Pue1/Pfe1 | Pue2/Pfe2 |
|---|---|---|---|---|---|---|---|---|
| 1 | [34,35] | STRC-60-1.5-4 | 304 | 296 | 335 | 335 | 0.907 | 0.884 |
| 2 | STRC-60-1.5-6 | 337 | 348 | 307 | 307 | 1.098 | 1.134 | |
| 3 | STRC-70-4-1.5 | 262 | 267 | 260 | 260 | 1.008 | 1.027 | |
| 4 | [36,37] | STRC-70-5-1.5 | 285 | 290 | 258 | 258 | 1.105 | 1.124 |
| 5 | STRC-70-6-1.5 | 324 | 329 | 426 | 426 | 0.761 | 0.772 | |
| 6 | [38] | FGZ4 | 216 | 240 | 195 | 195 | 1.108 | 1.231 |
| 7 | A1 | 397 | 275 | 433 | 433 | 0.917 | 0.635 | |
| 8 | [39,40,41] | A2 | 454 | 424 | 412 | 412 | 1.102 | 1.029 |
| 9 | A3 | 445 | 449 | 436 | 436 | 1.021 | 1.030 | |
| 10 | RS-4L | 434 | 361 | 458 | 458 | 0.948 | 0.788 | |
| 11 | [42,43] | RS-6M | 556 | 572 | 544 | 544 | 1.022 | 1.051 |
| 12 | RS-10H | 773 | 771 | 614 | 614 | 1.259 | 1.256 | |
| Mean | 1.064 | 1.022 | ||||||
| SD | 0.046 | 0.032 | ||||||
| Type | Parameter Value | Default Value |
|---|---|---|
| α | 0.06 | 0.10 |
| 0.10 | ||
| 0.18 | ||
| 0.20 | ||
| fcu (MPa) | 30 | 40 |
| 40 | ||
| 50 | ||
| 60 | ||
| fy (MPa) | 235 | 235 |
| 335 | ||
| 390 | ||
| 420 | ||
| n | 0.05 | 0.15 |
| 0.10 | ||
| 0.15 | ||
| 0.20 | ||
| 0.25 | ||
| 0.30 | ||
| i | 0 | 3 |
| 1 | ||
| 2 | ||
| 3 | ||
| 4 | ||
| 5 |
Publisher’s Note: MDPI stays neutral with regard to jurisdictional claims in published maps and institutional affiliations. |
© 2022 by the authors. Licensee MDPI, Basel, Switzerland. This article is an open access article distributed under the terms and conditions of the Creative Commons Attribution (CC BY) license (https://creativecommons.org/licenses/by/4.0/).
Share and Cite
Zhang, T.; Wen, Q.; Gao, L.; Xu, Q.; Tang, J. Analytical Hysteretic Behavior of Square Concrete-Filled Steel Tube Pier Columns under Alternate Sulfate Corrosion and Freeze-Thaw Cycles. Materials 2022, 15, 3099. https://doi.org/10.3390/ma15093099
Zhang T, Wen Q, Gao L, Xu Q, Tang J. Analytical Hysteretic Behavior of Square Concrete-Filled Steel Tube Pier Columns under Alternate Sulfate Corrosion and Freeze-Thaw Cycles. Materials. 2022; 15(9):3099. https://doi.org/10.3390/ma15093099
Chicago/Turabian StyleZhang, Tong, Qianxin Wen, Lei Gao, Qian Xu, and Jupeng Tang. 2022. "Analytical Hysteretic Behavior of Square Concrete-Filled Steel Tube Pier Columns under Alternate Sulfate Corrosion and Freeze-Thaw Cycles" Materials 15, no. 9: 3099. https://doi.org/10.3390/ma15093099
APA StyleZhang, T., Wen, Q., Gao, L., Xu, Q., & Tang, J. (2022). Analytical Hysteretic Behavior of Square Concrete-Filled Steel Tube Pier Columns under Alternate Sulfate Corrosion and Freeze-Thaw Cycles. Materials, 15(9), 3099. https://doi.org/10.3390/ma15093099

