Effect of Microstructure on the Mechanical Properties of Steel Fiber-Reinforced Recycled Concretes
Abstract
:1. Introduction
2. Materials and Methods
2.1. Materials
2.2. Mixture Proportions and Specimen Preparation
2.3. Test Procedures
2.3.1. Mechanical Properties Test
2.3.2. Microstructure Test
3. Results and Discussion
3.1. Failure Mode of SFRRC
3.2. Mechanical Properties of SFRRC
3.3. Strength Calculation Model
3.4. Morphology of ITZ
3.5. Microstructural Analysis of the SFRRC
4. Internal Mechanisms of the Mechanical Properties in SFRRC
4.1. Microscopic Pore Structure Analysis
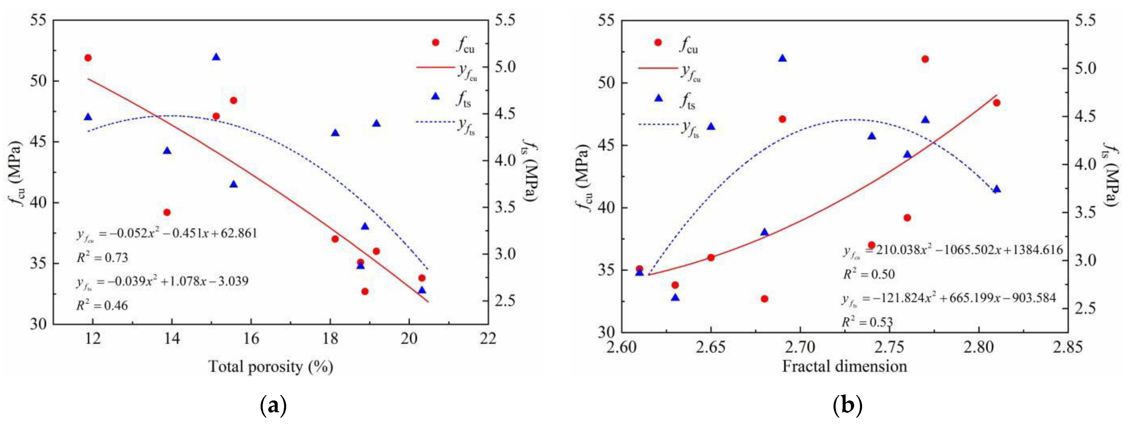
4.2. Relationship between Strength and Pore Structure of SFRRCs
5. Conclusions
- The SFs can inhibit the development of SFRRC cracks, increase the strength and ductility of the SFRRC, and significantly improve the failure mode of the SFRRC, changing it from brittle failure to plastic failure.
- With the increase in the SF volume content, the fts of the SFRRCs increase significantly. When the SFs volume content is 1% and 2%, the fts increases by 28.66% and 49.51%. At the same time, the fcu increased by 5.55% and 2.45%, indicating that too much SFs dosing will instead reduce the fcu of SFRRC, which is related to the microscopic pore structure of SFRRCs.
- The formula for calculating concrete strength in the code is not applicable to SFRRCs. By a multifactor analysis, a mechanical calculation model for SFRRCs is obtained using Equations (7)–(9), and the calculation and test results have a high degree of fit.
- The Fe2+ ions dissolved on the surface of the SFs can improve the structure of the ITZ and increase the bonding strength of the interface. The weak region of the SF–matrix ITZ is approximately 25–35 µm from the SF surfaces, which is related to the concentration of Fe2+ ions.
- When the SF volume content is 1%, the total porosity and average pore diameter of the SFRRCs are 18.33% and 51.42% lower than those of the specimens without SFs. Compared to the SFRRC with 1% SF volume content, the total porosity and pore size of SFRRCs increased by 17.41% and 78.64%, respectively, when the SF content was 2%. This phenomenon is because adding the appropriate amount of SFs reduces the size and number of cracks in the ITZ and makes the pore structure distributions of the SFRRCs more reasonable. An excessive amount of SFs causes an uneven distribution of the pore structure, increasing the total pore space and the pore size, therefore reducing the compressive strength of the SFRRCs.
- It is inaccurate to use the porosity or the fractal dimension alone to calculate the strength of an SFRRC. The regression of a multifactor strength calculation model using the fractal dimension, porosity, SF volume content, and RCA replacement rate is significant, and the model can accurately describe the quantitative relationships between the strength of the SFRRCs and the pore structure parameters.
Author Contributions
Funding
Institutional Review Board Statement
Informed Consent Statement
Data Availability Statement
Conflicts of Interest
References
- Xiao, J.; Li, W.; Fan, Y.; Huang, X. An overview of study on recycled aggregate concrete in China (1996–2011). Constr. Build. Mater. 2012, 31, 364–383. [Google Scholar] [CrossRef]
- Reis, G.; Quattrone, M.; Ambros, W.M.; Cazacliu, B.G.; Sampaio, C.H. Current Applications of Recycled Aggregates from Construction and Demolition: A Review. Materials 2021, 14, 1700. [Google Scholar] [CrossRef] [PubMed]
- García-Sanz-Calcedo, J.; Al-Kassir, A.; Yusaf, T. Economic and environmental impact of energy saving in healthcare buildings. Appl. Sci. 2018, 8, 440. [Google Scholar] [CrossRef] [Green Version]
- Lv, Z.; Liu, C.; Zhu, C.; Bai, G.; Qi, H. Experimental study on a prediction model of the shrinkage and creep of recycled aggregate concrete. Appl. Sci. 2019, 9, 4322. [Google Scholar] [CrossRef] [Green Version]
- López-Uceda, A.; Fernández-Ledesma, E.; Salas-Morera, L.; Jiménez, J.R.; Suescum-Morales, D. Effect of the Composition of Mixed Recycled Aggregates on Physical–Mechanical Properties. Crystals 2021, 11, 1518. [Google Scholar] [CrossRef]
- Akbarnezhad, A.; Ong, K.C.G.; Zhang, M.H.; Tam, C.T.; Foo, T.W.J. Microwave assisted beneficiation of recycled concrete aggregates. Constr. Build. Mater. 2011, 25, 3469–3479. [Google Scholar] [CrossRef]
- Katz, A. Treatments for the improvement of recycled aggregate. J. Mater. Civil. Eng. 2004, 16, 597–603. [Google Scholar] [CrossRef]
- Dilbas, H.; Cakir, O.; Atis, C.D. Experimental investigation on properties of recycled aggregate concrete with optimized Ball Milling Method. Constr. Build. Mater. 2019, 212, 716–726. [Google Scholar] [CrossRef]
- Zhao, Y.; Zeng, W.; Zhang, H. Properties of recycled aggregate concrete with different water control methods. Constr. Build. Mater. 2017, 152, 539–546. [Google Scholar] [CrossRef]
- Wang, J.; Zhang, J.; Cao, D.; Dang, H.; Ding, B. Comparison of recycled aggregate treatment methods on the performance for recycled concrete. Constr. Build. Mater. 2020, 234, 117366. [Google Scholar] [CrossRef]
- Zhang, H.; Liu, W.; Lin, X.; Su, S.; Zhao, B. To ameliorate the performance of recycled aggregate concrete (RAC) by pre-treating aggregate in sulfoaluminate cement slurry and water glass solution. J. Build. Eng. 2021, 44, 103364. [Google Scholar] [CrossRef]
- Chen, A.; Han, X.; Chen, M.; Wang, X.; Guo, T. Mechanical and stress-strain behavior of basalt fiber reinforced rubberized recycled coarse aggregate concrete. Constr. Build. Mater. 2020, 260, 119888. [Google Scholar] [CrossRef]
- Yin, S.; Tuladhar, R.; Collister, T.; Combe, M.; Sivakugan, N.; Deng, Z. Post-cracking performance of recycled polypropylene fibre in concrete. Constr. Build. Mater. 2015, 101, 1069–1077. [Google Scholar] [CrossRef]
- Meesala, C.R. Influence of different types of fiber on the properties of recycled aggregate concrete. Struct. Concr. 2019, 20, 1656–1669. [Google Scholar] [CrossRef]
- Shah, A.A.; Ribakov, Y. Recent trends in steel fibered high-strength concrete. Mater. Des. 2011, 32, 4122–4151. [Google Scholar] [CrossRef]
- Qin, Y.; Zhang, X.; Chai, J.; Xu, Z.; Li, S. Experimental study of compressive behavior of polypropylene-fiber-reinforced and polypropylene-fiber-fabric-reinforced concrete. Constr. Build. Mater. 2019, 194, 216–225. [Google Scholar] [CrossRef]
- Ndruru, H.; Simanjuntak, R.M.; Tampubolon, S.P. Utilization of copper fiber waste to increase compressive strength and split tensile strength of rigid pavement. IOP Conf. Ser. Earth Environ. Sci. 2021, 878, 012052. [Google Scholar] [CrossRef]
- Jenifer, J.V.; Brindha, D. Development of hybrid steel-basalt fiber reinforced concrete—in aspects of flexure, fracture and microstructure. Rev. Constr. 2021, 20, 62–90. [Google Scholar]
- Lee, S.C.; Oh, J.H.; Cho, J.Y. Compressive behavior of fiber-reinforced concrete with end-hooked steel fibers. Materials 2015, 8, 1442–1458. [Google Scholar] [CrossRef] [Green Version]
- Bentur, A.; Diamond, S.; Mindess, S. The microstructure of the steel fibre-cement interface. J. Mater. Sci. 1985, 20, 3610–3620. [Google Scholar] [CrossRef]
- Hannawi, K.; Bian, H.; Prince-Agbodjan, W.; Raghavan, B. Effect of different types of fibers on the microstructure and the mechanical behavior of Ultra-High Performance Fiber-Reinforced Concretes. Compos. Part B Eng. 2016, 20, 214–220. [Google Scholar] [CrossRef] [Green Version]
- ASTM-C33; Standard Specification for Concrete Aggregates. ASTM International: West Conshohocken, MI, USA, 2013.
- GB/T14685-2011; Pebble and Crushed Stone Code for Buildings. China Standard Press: Beijing, China, 2010.
- Zhu, L.; Zhao, C.; Dai, J. Prediction of compressive strength of recycled aggregate concrete based on gray correlation analysis. Constr. Build. Mater. 2021, 273, 121750. [Google Scholar] [CrossRef]
- GB/T50081; Standard for Test Method of Mechanical Properties on Ordinary Concrete. China Architecture & Building Press: Beijing, China, 2002.
- Bai, G.; Zhu, C.; Liu, C.; Liu, B. An evaluation of the recycled aggregate characteristics and the recycled aggregate concrete mechanical properties. Constr. Build. Mater. 2020, 240, 117978. [Google Scholar] [CrossRef]
- Kou, S.C.; Poon, C.S.; Etxeberria, M. Influence of recycled aggregates on long term mechanical properties and pore size distribution of concrete. Cement. Concr. Compos. 2011, 33, 286–291. [Google Scholar] [CrossRef]
- Belén, G.F.; Fernando, M.A.; Diego, C.L.; Sindy, S.P. Stress-strain relationship in axial compression for concrete using recycled saturated coarse aggregate. Constr. Build. Mater. 2011, 25, 2335–2342. [Google Scholar] [CrossRef]
- Zhu, H.; Gao, D.; Tang, J. Strength indexes of SF reinforced high strength concrete and their interrelations. J. Build. Mater. 2009, 12, 323–327. [Google Scholar]
- Arezoumandi, M.; Smith, A.; Volz, J.S.; Khayat, K.H. An experimental study on flexural strength of reinforced concrete beams with 100% recycled concrete aggregate. Eng. Struct. 2015, 88, 154–162. [Google Scholar] [CrossRef]
- GB50010-2010; Code for Design of Concrete Structures. China Architecture & Building Press: Beijing, China, 2010.
- ACI318-14; Building Code Requirements for Structural Concrete and Commentary. American Concrete Institute: Farmington Hills, MI, USA, 2014.
- Gao, D.; Zhang, L.; Nokken, M. Compressive behavior of steel fiber reinforced recycled coarse aggregate concrete designed with equivalent cubic compressive strength. Constr. Build. Mater. 2017, 141, 235–244. [Google Scholar] [CrossRef] [Green Version]
- Gao, D.; Yan, Y.; Pang, Y.; Tang, J.; Yang, L.; Gu, Z. Effects of groove and steel fiber on shear properties of concrete with recycled coarse aggregate. Materials. 2020, 13, 4537. [Google Scholar] [CrossRef]
- Carneiro, J.A.; Lima, P.R.; Leite, M.B.; Toledo, R.D. Compressive stress-strain behavior of steel fiber reinforced-recycled aggregate concrete. Cement Concr. Compos. 2014, 46, 65–72. [Google Scholar] [CrossRef]
- Yazc, E.; Arel, H.A. The effect of steel fiber on the bond between concrete and deformed steel bar in SFRCs. Constr. Build. Mater. 2013, 40, 299–305. [Google Scholar]
- Ahmadi, M.; Farzin, S.; Hassani, A.; Motamedi, M. Mechanical properties of the concrete containing recycled fibers and aggregates. Constr. Build. Mater. 2017, 144, 392–398. [Google Scholar] [CrossRef]
- Kachouh, N.; El-Hassan, H.; El-Maaddawy, T. Influence of steel fibers on the flexural performance of concrete incorporating recycled concrete aggregates and dune sand. J. Sustain. Cement Based Mater. 2020, 10, 165–192. [Google Scholar] [CrossRef]
- Niu, D.; Jiang, L.; Bai, M.; Miao, Y. Study of the performance of steel fiber reinforced concrete to water and salt freezing condition. Mater. Des. 2013, 44, 267–273. [Google Scholar] [CrossRef]
- Zhang, B.; Liu, W.; Liu, X. Scale-dependent nature of the surface fractal dimension for bi- and multi-disperse porous solids by mercury porosimetry. Appl. Surf. Sci. 2006, 253, 1349–1355. [Google Scholar] [CrossRef]
- Cui, S.; Liu, P.; Cui, E.; Su, J.; Huang, B. Experimental study on mechanical property and pore structure of concrete for shotcrete use in a hot-dry environment of high geothermal tunnels. Constr. Build. Mater. 2018, 173, 124–135. [Google Scholar] [CrossRef]





















| Properties | RCA | NCA | Sand | ||
|---|---|---|---|---|---|
| Particle size (mm) | 5–10 | 10–20 | 5–10 | 10–20 | 0–5 |
| Apparent density (kg/m3) | 2640 | 2650 | 2810 | 2820 | 2620 |
| Bulk Density (kg/m3) | 1290 | 1330 | 1510 | 1550 | 1520 |
| Water absorption (%) | 7.3 | 5.6 | 0.8 | 0.3 | 0.7 |
| Crushing index (%) | — | 13.5 | — | 8.1 | — |
| Fineness modulus | — | — | — | — | 2.76 |
| Setting Time (min) | Chemical Composition (%) | Strength (MPa) | ||||||||||
|---|---|---|---|---|---|---|---|---|---|---|---|---|
| Compressive Strength | Flexural Strength | |||||||||||
| Initial Set | Final Set | CaO | SiO2 | Al2O3 | Fe2O3 | S03 | MgO | K2O | 3d | 28d | 3d | 28d |
| 180 | 280 | 60.3 | 22.5 | 7.2 | 3.6 | 2.1 | 2.3 | 0.8 | 39.1 | 50.9 | 6.5 | 8.1 |
| Density (g/cm3) | Solid Content (%) | Chloride Ion Content (%) | Alkali Content (%) | pH Value | Water Reduction Rate (%) |
|---|---|---|---|---|---|
| 1.062 | 23.7 | 0 | 1.13 | 6.5 | 25 |
| Levels | Factors | ||
|---|---|---|---|
| w/c (A) | ra (B) | vsf (C) | |
| 1 | 0.4 | 30% | 0% |
| 2 | 0.47 | 50% | 1% |
| 3 | 0.54 | 100% | 2% |
| Groups | Orthogonal Design | Water | Cement | Sand | NCA | RCA | Steel Fiber | Extra Water | Water-Reducing Agent |
|---|---|---|---|---|---|---|---|---|---|
| SFRRC-1 | A1B1C1D1 | 160 | 400 | 788 | 702 | 301 | 0 | 18 | 4 |
| SFRRC-2 | A1B2C2D2 | 160 | 400 | 753 | 479 | 479 | 78 | 29 | 4 |
| SFRRC-3 | A1B3C3D3 | 160 | 400 | 719 | 0 | 915 | 156 | 56 | 4 |
| SFRRC-4 | A2B1C2D3 | 160 | 340 | 779 | 694 | 298 | 78 | 18 | 3.4 |
| SFRRC-5 | A2B2C3D1 | 160 | 340 | 745 | 474 | 474 | 156 | 29 | 3.4 |
| SFRRC-6 | A2B3C1D2 | 160 | 340 | 814 | 0 | 1036 | 0 | 63 | 3.4 |
| SFRRC-7 | A3B1C3D2 | 160 | 296 | 765 | 681 | 292 | 156 | 18 | 2.96 |
| SFRRC-8 | A3B2C1D3 | 160 | 296 | 833 | 530 | 530 | 0 | 32 | 2.96 |
| SFRRC-9 | A3B3C2D1 | 160 | 296 | 799 | 0 | 1017 | 78 | 62 | 2.96 |
| Groups | Orthogonal Design | fcu (MPa) | fts (MPa) | fts/fcu | fc (MPa) | fc/fcu | Ec (MPa) |
|---|---|---|---|---|---|---|---|
| SFRRC-1 | A1B1C1D1 | 48.4 | 3.74 | 0.077 | 34.4 | 0.71 | 32,900 |
| SFRRC-2 | A1B2C2D2 | 51.9 | 4.46 | 0.086 | 37.4 | 0.72 | 32,700 |
| SFRRC-3 | A1B3C3D3 | 47.1 | 5.10 | 0.108 | 35.6 | 0.79 | 26,400 |
| SFRRC-4 | A2B1C2D3 | 39.2 | 4.10 | 0.104 | 28.2 | 0.72 | 32,000 |
| SFRRC-5 | A2B2C3D1 | 37.0 | 4.29 | 0.116 | 25.2 | 0.71 | 29,200 |
| SFRRC-6 | A2B3C1D2 | 35.1 | 2.87 | 0.082 | 26.8 | 0.73 | 25,400 |
| SFRRC-7 | A3B1C3D2 | 36.0 | 4.39 | 0.122 | 24.8 | 0.72 | 30,500 |
| SFRRC-8 | A3B2C1D3 | 33.8 | 2.61 | 0.077 | 24.0 | 0.71 | 27,400 |
| SFRRC-9 | A3B3C2D1 | 32.7 | 3.29 | 0.100 | 23.9 | 0.74 | 24,100 |
| Source | No. | Compressive Strength (MPa) | Splitting Tensile Strength (MPa) | Elastic Modulus (MPa) | ||||||
|---|---|---|---|---|---|---|---|---|---|---|
| (R2 = 0.87) | (R2 = 0.97) | (R2 = 0.94) | ||||||||
| Calculated | Tested | Calculated/Tested | Calculated | Tested | Calculated/Tested | Calculated | Tested | Calculated/Tested | ||
| Article | SFRRC-1 | 48.1 | 48.4 | 0.994 | 3.63 | 3.74 | 0.971 | 32,100 | 32,900 | 0.976 |
| SFRRC-2 | 47.1 | 51.9 | 0.908 | 4.64 | 4.46 | 1.040 | 31,600 | 32,700 | 0.966 | |
| SFRRC-3 | 44.9 | 47.1 | 0.953 | 5.03 | 5.10 | 0.986 | 27,600 | 26,400 | 1.045 | |
| SFRRC-4 | 40.9 | 39.2 | 1.043 | 3.89 | 4.10 | 0.949 | 30,800 | 32,000 | 0.963 | |
| SFRRC-5 | 38.9 | 37.0 | 1.051 | 4.40 | 4.29 | 1.026 | 29,300 | 29,200 | 1.003 | |
| SFRRC-6 | 38.0 | 35.1 | 1.083 | 2.80 | 2.87 | 0.976 | 24,800 | 25,400 | 0.976 | |
| SFRRC-7 | 32.6 | 36.0 | 0.906 | 4.37 | 4.39 | 0.995 | 30,400 | 30,500 | 0.997 | |
| SFRRC-8 | 33.0 | 33.8 | 0.976 | 2.81 | 2.61 | 1.077 | 27,700 | 27,400 | 1.011 | |
| SFRRC-9 | 29.7 | 32.7 | 0.908 | 3.30 | 3.29 | 1.003 | 24,500 | 24,100 | 1.017 | |
| Literature [33] | CR0F1 | 54.6 | 45.4 | 1.203 | — | — | — | 34,100 | 33,000 | 1.033 |
| CR30F1 | 51.5 | 46.0 | 1.120 | — | — | — | 32,100 | 34,600 | 0.928 | |
| CR50F1 | 49.8 | 46.8 | 1.064 | — | — | — | 30,800 | 38,400 | 0.802 | |
| CR100F1 | 45.0 | 47.2 | 0.953 | — | — | — | 27,200 | 37,800 | 0.720 | |
| CR50F0 | 49.4 | 44.9 | 1.100 | — | — | — | 30,100 | 29,700 | 1.010 | |
| CR50F0.5 | 49.6 | 45.6 | 1.088 | — | — | — | 30,400 | 34,000 | 0.894 | |
| CR50F1.5 | 49.9 | 48.1 | 1.037 | — | — | — | 31,100 | 41,900 | 0.742 | |
| CR50F2 | 50.1 | 49.9 | 1.004 | — | — | — | 31,600 | 42,900 | 0.737 | |
| Literature [34] | N-C30R50F1 | 36.0 | 38.0 | 0.947 | 3.76 | 3.53 | 1.065 | — | — | — |
| N-C45R50F1 | 49.0 | 54.1 | 0.906 | 4.78 | 4.47 | 1.069 | — | — | — | |
| N-C60R50F1 | 57.6 | 71.5 | 0.806 | 5.78 | 4.94 | 1.170 | — | — | — | |
| N-C45R0F1 | 55.5 | 61.5 | 0.902 | 5.37 | 4.59 | 1.170 | — | — | — | |
| N-C45R30F1 | 51.60 | 56.0 | 0.921 | 4.95 | 4.53 | 1.093 | — | — | — | |
| N-C45R100F1 | 42.4 | 48.1 | 0.881 | 4.29 | 4.12 | 1.041 | — | — | — | |
| N-C45R50F0 | 48.6 | 52.7 | 0.922 | 3.80 | 3.85 | 0.987 | — | — | — | |
| N-C45R50F0.5 | 48.8 | 53.9 | 0.905 | 4.31 | 4.24 | 1.017 | — | — | — | |
| N-C45R50F1.5 | 49.1 | 54.6 | 0.899 | 5.27 | 4.53 | 1.163 | — | — | — | |
| N-C45R50F2.0 | 49.3 | 55.1 | 0.895 | 5.77 | 4.63 | 1.246 | — | — | — | |
| Literature [35] | REF | 43.0 | 29.9 | 1.438 | 2.66 | 3.21 | 0.829 | 29,800 | 31,100 | 0.958 |
| RFCA | 39.9 | 37.7 | 1.058 | 3.07 | 3.53 | 0.870 | 30,400 | 29,200 | 1.041 | |
| SF-REF | 43.3 | 34.3 | 1.262 | 3.44 | 3.96 | 0.869 | 31,400 | 30,900 | 1.016 | |
| SF-RFCA | 40.2 | 41.5 | 0.969 | 3.86 | 4.48 | 0.862 | 31,600 | 32,100 | 0.984 | |
| Literature [36] | C20 | 30.9 | 29.4 | 1.051 | 2.63 | 2.51 | 1.048 | 29,600 | 26,700 | 1.109 |
| C20-10K | 31 | 30.6 | 1.013 | 2.76 | 2.62 | 1.053 | 30,000 | 27,600 | 1.087 | |
| C20-20K | 31 | 31.1 | 0.997 | 2.84 | 2.7 | 1.052 | 30,200 | 28,000 | 1.079 | |
| C20-30K | 31 | 31.5 | 0.984 | 2.92 | 2.85 | 1.025 | 30,400 | 28,300 | 1.074 | |
| C20-40K | 31 | 31.9 | 0.972 | 3.00 | 2.98 | 1.007 | 30,500 | 29,200 | 1.045 | |
| C20-60K | 31.1 | 33.2 | 0.937 | 3.19 | 3.15 | 1.013 | 31,000 | 29,800 | 1.040 | |
| C20-80K | 31.2 | 33.5 | 0.931 | 3.31 | 3.22 | 1.028 | 31,200 | 30,300 | 1.030 | |
| C40 | 54.3 | 49.9 | 1.088 | 3.77 | 4.12 | 0.915 | 34,500 | 32,100 | 1.075 | |
| C40-10U | 54.3 | 52.4 | 1.036 | 4.04 | 4.28 | 0.944 | 35,000 | 33,200 | 1.054 | |
| C40-20U | 54.4 | 52.7 | 1.032 | 4.21 | 4.44 | 0.948 | 35,100 | 33,700 | 1.042 | |
| C40-30U | 54.5 | 53.9 | 1.011 | 4.42 | 4.59 | 0.963 | 35,400 | 34,100 | 1.038 | |
| C40-40U | 54.5 | 55 | 0.991 | 4.64 | 4.81 | 0.965 | 35,600 | 35,100 | 1.014 | |
| C40-60U | 54.6 | 56.1 | 0.973 | 5.01 | 5 | 1.002 | 35,900 | 35,600 | 1.008 | |
| C40-80U | 54.8 | 56.9 | 0.963 | 5.37 | 5.27 | 1.019 | 36,200 | 36,300 | 0.997 | |
| Literature [37] | R0F0 | 43 | 37.1 | 1.159 | 3.08 | 3.30 | 0.933 | — | — | — |
| R50F0 | 36.5 | 34.9 | 1.046 | 2.88 | 3.00 | 0.960 | — | — | — | |
| R100F0 | 29.9 | 33.5 | 0.893 | 2.72 | 2.90 | 0.938 | — | — | — | |
| R0F0/5 | 43.2 | 38.3 | 1.128 | 3.44 | 4.30 | 0.800 | — | — | — | |
| R50F0/5 | 36.60 | 38.5 | 0.951 | 3.36 | 3.90 | 0.861 | — | — | — | |
| R100F0/5 | 30.1 | 34.8 | 0.865 | 3.05 | 3.70 | 0.824 | — | — | — | |
| R0F1 | 43.3 | 33.1 | 1.308 | 3.38 | 5.50 | 0.615 | — | — | — | |
| R50F1 | 36.8 | 32.2 | 1.143 | 3.23 | 4.60 | 0.702 | — | — | — | |
| R100F1 | 30.2 | 29.5 | 1.024 | 2.95 | 4.30 | 0.686 | — | — | — | |
| Literature [38] | R0SF0 | — | — | — | — | — | — | 31,700 | 37,100 | 0.854 |
| R30SF0 | — | — | — | — | — | — | 28,200 | 30,000 | 0.940 | |
| R70SF0 | — | — | — | — | — | — | 24,000 | 21,400 | 1.121 | |
| R100SF0 | — | — | — | — | — | — | 21,900 | 19,900 | 1.101 | |
| R30SF1 | — | — | — | — | — | — | 28,900 | 32,200 | 0.898 | |
| R70SF1 | — | — | — | — | — | — | 25,300 | 23,700 | 1.068 | |
| R100SF1 | — | — | — | — | — | — | 22,700 | 20,800 | 1.091 | |
| R30SF2 | — | — | — | — | — | — | 29,600 | 33,000 | 0.897 | |
| R70SF2 | — | — | — | — | — | — | 25,900 | 25,100 | 1.032 | |
| R100SF2 | — | — | — | — | — | — | 23,200 | 21,200 | 1.094 | |
| R30SF3 | — | — | — | — | — | — | 30,400 | 34,500 | 0.881 | |
| R70SF3 | — | — | — | — | — | — | 26,600 | 27,000 | 0.985 | |
| R100SF3 | — | — | — | — | — | — | 23,900 | 22,100 | 1.081 | |
| Groups | Orthogonal Design | Total Porosity (%) | Total Pore Volume (mL/g) | Average Pore Diameter (nm) | fcu (MPa) | fts (MPa) |
|---|---|---|---|---|---|---|
| SFRRC-1 | A1B1C1D1 | 15.56 | 0.0727 | 32.56 | 48.4 | 3.74 |
| SFRRC-2 | A1B2C2D2 | 11.88 | 0.0591 | 15.88 | 51.9 | 4.46 |
| SFRRC-3 | A1B3C3D3 | 15.12 | 0.0716 | 30.73 | 47.1 | 5.10 |
| SFRRC-4 | A2B1C2D3 | 13.88 | 0.0712 | 17.32 | 39.2 | 4.10 |
| SFRRC-5 | A2B2C3D1 | 18.13 | 0.0863 | 30.17 | 37.0 | 4.29 |
| SFRRC-6 | A2B3C1D2 | 18.77 | 0.0993 | 36.61 | 35.1 | 2.87 |
| SFRRC-7 | A3B1C3D2 | 19.17 | 0.0879 | 33.69 | 36.0 | 4.39 |
| SFRRC-8 | A3B2C1D3 | 20.32 | 0.1031 | 39.81 | 33.8 | 2.61 |
| SFRRC-9 | A3B3C2D1 | 18.88 | 0.0921 | 19.7 | 32.7 | 3.29 |
Publisher’s Note: MDPI stays neutral with regard to jurisdictional claims in published maps and institutional affiliations. |
© 2022 by the authors. Licensee MDPI, Basel, Switzerland. This article is an open access article distributed under the terms and conditions of the Creative Commons Attribution (CC BY) license (https://creativecommons.org/licenses/by/4.0/).
Share and Cite
Yuan, H.; Zhu, L.; Wang, X.; Yang, H. Effect of Microstructure on the Mechanical Properties of Steel Fiber-Reinforced Recycled Concretes. Materials 2022, 15, 4018. https://doi.org/10.3390/ma15114018
Yuan H, Zhu L, Wang X, Yang H. Effect of Microstructure on the Mechanical Properties of Steel Fiber-Reinforced Recycled Concretes. Materials. 2022; 15(11):4018. https://doi.org/10.3390/ma15114018
Chicago/Turabian StyleYuan, Hanquan, Lihua Zhu, Xiaopeng Wang, and Hongtao Yang. 2022. "Effect of Microstructure on the Mechanical Properties of Steel Fiber-Reinforced Recycled Concretes" Materials 15, no. 11: 4018. https://doi.org/10.3390/ma15114018
APA StyleYuan, H., Zhu, L., Wang, X., & Yang, H. (2022). Effect of Microstructure on the Mechanical Properties of Steel Fiber-Reinforced Recycled Concretes. Materials, 15(11), 4018. https://doi.org/10.3390/ma15114018

