Investigating the Action Mechanism of Titanium in Alumina–Magnesia Castables by Adding Different Ti-Bearing Compounds
Abstract
:1. Introduction
2. Materials and Methods
3. Results
3.1. Phase Composition
3.2. Microstructure
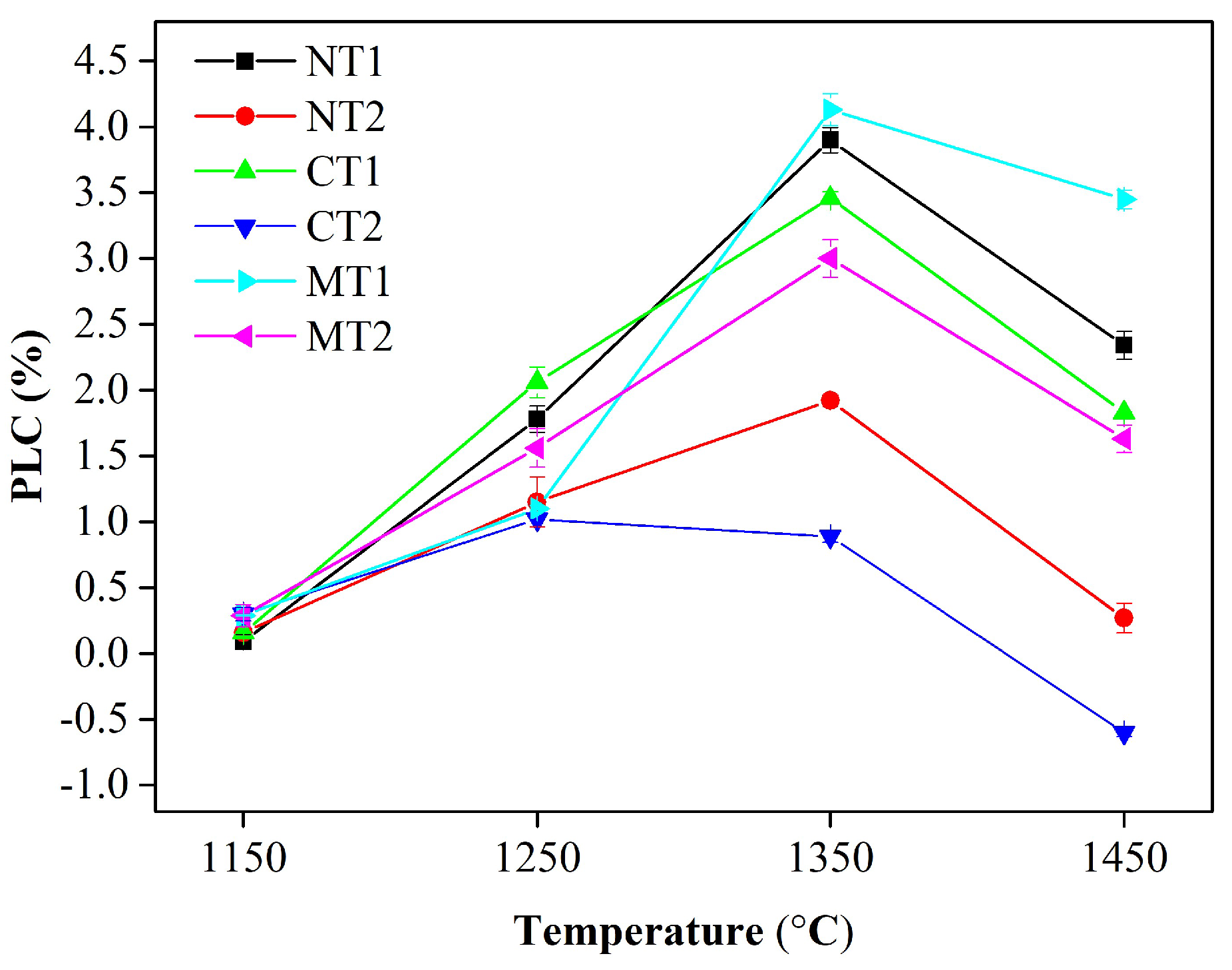
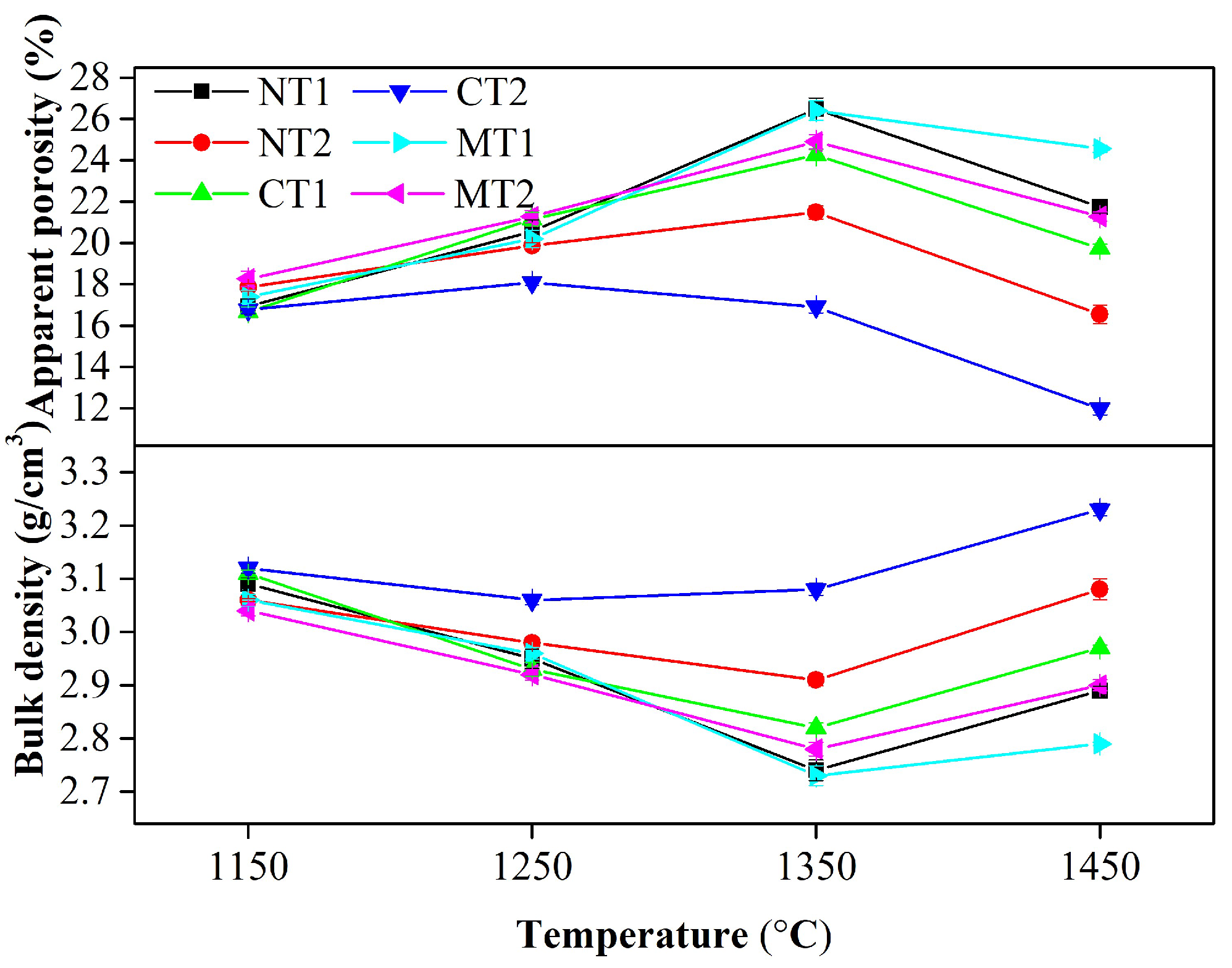
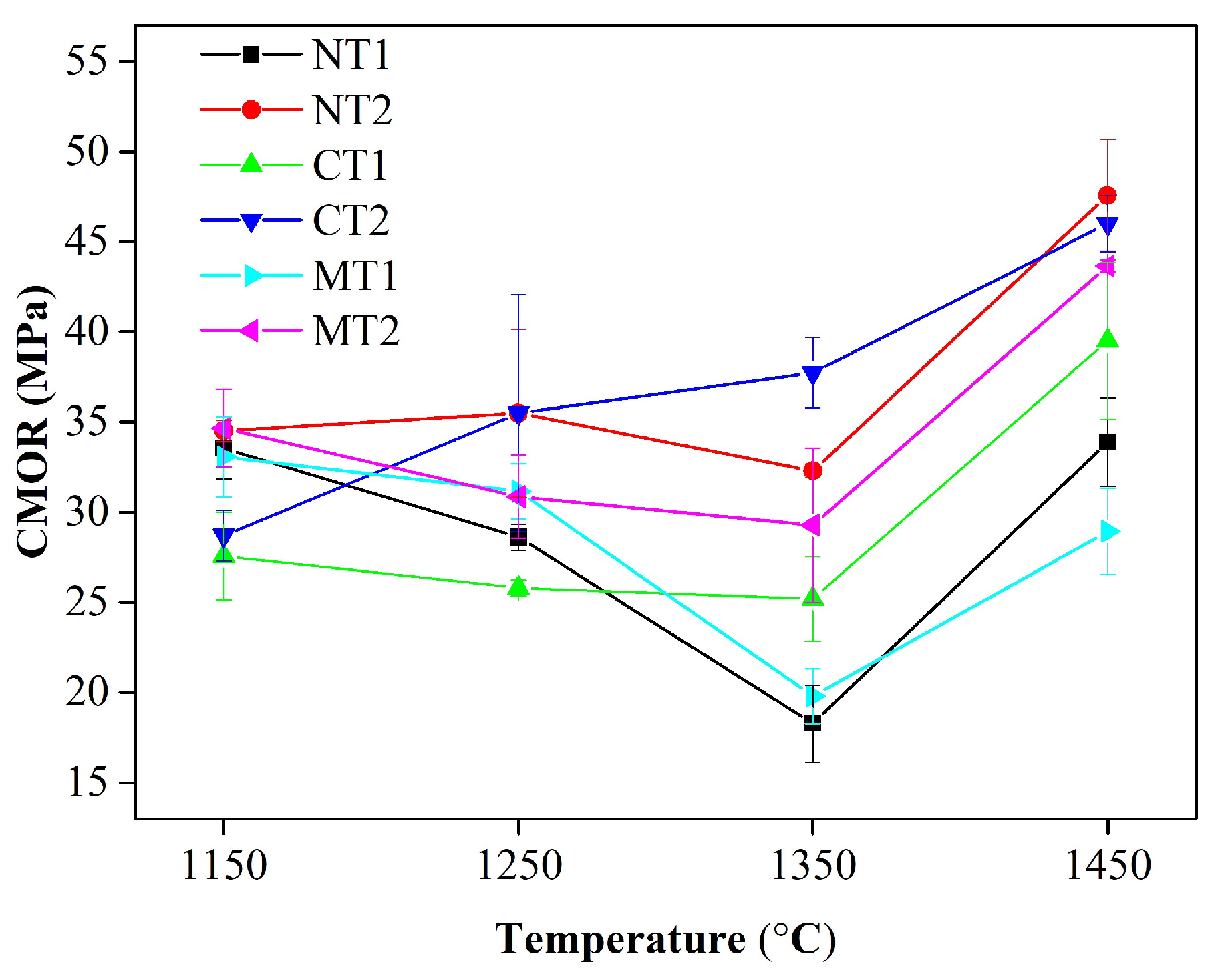
3.3. Physical and Mechanical Properties
4. Conclusions
Author Contributions
Funding
Institutional Review Board Statement
Informed Consent Statement
Data Availability Statement
Conflicts of Interest
References
- Fuhrer, M.; Hey, A.; Lee, W. Microstructural evolution in self-forming spinel/calcium aluminate-bonded castable refractories. J. Eur. Ceram. Soc. 1998, 18, 813–820. [Google Scholar] [CrossRef]
 - Li, X.; Li, J.; Zhang, L. Enhancing mechanism of improved slag resistance of Al2O3-spinel castables added with pre-synthesized (Al,Cr)2O3 micro-powder. Ceram. Int. 2021, 47, 33322–33329. [Google Scholar] [CrossRef]
 - Tang, H.; Li, C.; Gao, J.; Touzo, B.; Liu, C.; Yuan, W. Optimization of Properties for Alumina-Spinel Refractory Castables by CMA (CaO-MgO-Al2O3) Aggregates. Materials 2021, 14, 3050. [Google Scholar] [CrossRef] [PubMed]
 - Hong, L.; Chen, W.; Hou, D. Kinetic analysis of spinel formation from powder compaction of magnesia and alumina. Ceram. Int. 2019, 46, 2853–2861. [Google Scholar] [CrossRef]
 - Ko, Y.-C. Influence of the Characteristics of Spinels on the Slag Resistance of Al2O3-MgO and Al2O3-Spinel Castables. J. Am. Ceram. Soc. 2004, 83, 2333–2335. [Google Scholar] [CrossRef]
 - An, L.; Chan, H.M. R-Curve Behavior of In-Situ-Toughened Al2O3:CaAl12O19 Ceramic Composites. J. Am. Ceram. Soc. 1996, 79, 3142–3148. [Google Scholar] [CrossRef]
 - Domínguez, C.; Chevalier, J.; Torrecillas, R.; Fantozzi, G. Microstructure development in calcium hexaluminate. J. Eur. Ceram. Soc. 2001, 21, 381–387. [Google Scholar] [CrossRef]
 - Braulio, M.; Rigaud, M.; Buhr, A.; Parr, C.; Pandolfelli, V. Spinel-containing alumina-based refractory castables. Ceram. Int. 2011, 37, 1705–1724. [Google Scholar] [CrossRef]
 - Braulio, M.A.L.; Pandolfelli, V.C. Tailoring the Microstructure of Cement-Bonded Alumina-Magnesia Refractory Castables. J. Am. Ceram. Soc. 2010, 93, 2981–2985. [Google Scholar] [CrossRef]
 - Yuan, W.; Zhu, Q.; Deng, C.; Zhu, H. Effects of rare earth oxides additions on microstructure and properties of alumina-magnesia refractory castables. Ceram. Int. 2017, 43, 6746–6750. [Google Scholar] [CrossRef]
 - Yuan, W.; Tang, H.; Zhou, Y.; Zhang, D. Effects of fine reactive alumina powders on properties of alumina-magnesia castables with TiO2 additions. Ceram. Int. 2018, 44, 5032–5036. [Google Scholar] [CrossRef]
 - Yuan, W.; Deng, C.; Zhu, H. Effects of TiO2 addition on the expansion behavior of alumina–magnesia refractory castables. Mater. Chem. Phys. 2015, 162, 724–733. [Google Scholar] [CrossRef]
 - Yuan, W.; Tang, H.; Shang, H.; Li, J.; Deng, C.; Zhu, H. Effects of TiO2 Addition on Kinetics of In Situ Spinel Formation and Properties of Alumina-Magnesia Refractory Castables. J. Ceram. Sci. Technol. 2017, 8, 121–128. [Google Scholar] [CrossRef]
 - Badiee, S.H.; Otroj, S. The effect of Nano-titania addition on the properties of high-alumina low-cement self-flowing refractory castables. Ceram-Silikaty 2011, 55, 319–325. [Google Scholar]
 - Maitra, S.; Das, S.; Sen, A. The role of TiO2 in the densification of low cement Al2O3–MgO spinel castable. Ceram. Int. 2007, 33, 239–243. [Google Scholar] [CrossRef]
 - Refractories standard compilation. In Test Method for Bulk Density, Apparent Porosity and True Porosity of Dense Shaped Refractory Products, 4th ed.; Standards Press of China: Beijing, China, 2010; Volume 2, pp. 3–8.
 - Refractories standard compilation. In Refractory Products-Determination of Modulus of Rupture at Ambient Temperature, 4th ed.; Standards Press of China: Beijing, China, 2010; Volume 2, pp. 35–42.
 - Sako, E.Y.; Braulio, M.A.L.; Zinngrebe, E.; van der Laan, S.R.; Pandolfelli, V.C. In-Depth Microstructural Evolution Analyses of Cement-Bonded Spinel Refractory Castables: Novel Insights Regarding Spinel and CA6 Formation. J. Am. Ceram. Soc. 2012, 95, 1732–1740. [Google Scholar] [CrossRef]
 - Okuyama, Y.; Kurita, N.; Fukatsu, N. Defect structure of alumina-rich nonstoichiometric magnesium aluminate spinel. Solid State Ionics 2006, 177, 59–64. [Google Scholar] [CrossRef]
 - Lange, N.A.; Speight, J.G. Lange’s Handbook of Chemistry, 16th ed.; McGraw-Hill: New York, NY, USA, 2005. [Google Scholar] [CrossRef]
 - Jouini, A.; Sato, H.; Yoshikawa, A.; Fukuda, T.; Boulon, G.; Kato, K.; Hanamura, E. Crystal growth and optical absorption of pure and Ti, Mn-doped MgAl2O4 spinel. J. Cryst. Growth 2006, 287, 313–317. [Google Scholar] [CrossRef]
 - Armstrong, J.T.; Meeker, G.; Huneke, J.; Wasserburg, G. The Blue Angel: I. The mineralogy and petrogenesis of a hibonite inclusion from the Murchison meteorite. Geochim. Cosmochim. Acta 1982, 46, 575–595. [Google Scholar] [CrossRef]
 - Xu, L.; Chen, M.; Yin, X.-L.; Wang, N.; Liu, L. Effect of TiO2 addition on the sintering densification and mechanical properties of MgAl2O4–CaAl4O7–CaAl12O19 composite. Ceram. Int. 2016, 42, 9844–9850. [Google Scholar] [CrossRef]
 - Rahaman, M.N. Ceramic Processing Gand Sintering, 2nd ed.; Marcel Dekker Inc.: New York, NY, USA, 2003. [Google Scholar]
 - Martinez, A.T.; Luz, A.; Braulio, M.; Sako, E.; Pandolfelli, V. Revisiting CA6 formation in cement-bonded alumina-spinel refractory castables. J. Eur. Ceram. Soc. 2017, 37, 5023–5034. [Google Scholar] [CrossRef]
 - Simonin, F.; Olagnon, C.; Maximilien, S.; Fantozzi, G.; Diaz, L.A.; Torrecillas, R. Thermomechanical Behavior of High-Alumina Refractory Castables with Synthetic Spinel Additions. J. Am. Ceram. Soc. 2004, 83, 2481–2490. [Google Scholar] [CrossRef]
 - Boccaccini, D.; Romagnoli, M.; Kamseu, E.; Veronesi, P.; Leonelli, C.; Pellacani, G. Determination of thermal shock resistance in refractory materials by ultrasonic pulse velocity measurement. J. Eur. Ceram. Soc. 2007, 27, 1859–1863. [Google Scholar] [CrossRef]
 - Rendtorff, N.M.; Aglietti, E.F. Thermal Shock Resistance (TSR) and Thermal Fatigue Resistance (TFR) of Refractory Materials. Evaluation Method Based on the Dynamic Elastic Modulus. In Encyclopedia of Thermal Stresses; Hetnarski, R.B., Ed.; Springer: Dordrecht, The Netherlands, 2014; pp. 5119–5128. [Google Scholar] [CrossRef]
 - Harmuth, H.; Bradt, R.C. Investigation of refractory brittleness by fracture mechanical and fractographic methods. Interceram Int. Ceram. Rev. 2010, 62, 6–10. [Google Scholar]
 - Schacht, C.A. Refractories Handbook; Marcel Dekker, Inc.: New York, NY, USA, 2004. [Google Scholar]
 - Hasselman, D.P.H. Elastic Energy at Fracture and Surface Energy as Design Criteria for Thermal Shock. J. Am. Ceram. Soc. 1963, 46, 535–540. [Google Scholar] [CrossRef]
 









| Raw Materials | Content (wt.%) | |||||
|---|---|---|---|---|---|---|
| NT1 | NT2 | CT1 | CT2 | MT1 | MT2 | |
| Tabular alumina (d = 1–6 mm) | 33.5 | 33.1 | 33.5 | 33.1 | 33.5 | 33.1 | 
| Tabular alumina (d = 0.2–1 mm) | 27.5 | 26.9 | 27.5 | 26.9 | 27.5 | 16.9 | 
| Tabular alumina (d ≤ 0.074 mm) | 15 | 15 | 15 | 15 | 15 | 15 | 
| Tabular alumina (d ≤ 0.045 mm) | 3 | 3 | 4.6 | 6.3 | 3 | 3 | 
| Reactive alumina (CL370) | 7 | 7 | 7 | 7 | 7 | 7 | 
| Calcined magnesia (d ≤ 88 μm) | 6 | 6 | 6 | 6 | 5.5 | 5 | 
| Calcium aluminate cement (Secar71) | 6 | 6 | 3.7 | 1.3 | 6 | 6 | 
| Silicon fume (951U) | 1 | 1 | 1 | 1 | 1 | 1 | 
| Nano-TiO2 | 1 | 2 | - | - | - | - | 
| CaTiO3 | - | - | 1.7 | 3.4 | - | - | 
| MgTiO3 | - | - | - | - | 1.5 | 3 | 
| Raw Materials | Chemical Compositions (wt.%) | |||||
|---|---|---|---|---|---|---|
| Al2O3 | MgO | SiO2 | CaO | Na2O | Fe2O3 | |
| Tabular alumina | 99.5 | - | ≤0.02 | - | 0.4 | - | 
| Reactive alumina (CL370) | 99.7 | - | 0.03 | 0.02 | 0.1 | 0.03 | 
| Calcined magnesia (d ≤ 88 μm) | 0.52 | 94.6 | 1.6 | 1.41 | 0.32 | 1.31 | 
| Calcium aluminate cement (Secar71) | ≥68.5 | <0.5 | <0.8 | ≤31.0 | <0.5 | <0.4 | 
| Silicon fume (951U) | 0.4 | 0.6 | 96.1 | 0.3 | 0.2 | 0.1 | 
| Phase | Samples | Ca | Ti | Mg | Al | O | 
|---|---|---|---|---|---|---|
| CA6 | MT2 | 3.9 | 2.1 | 1.8 | 22.4 | 69.8 | 
| NT2 | 3.9 | 3.0 | 2.2 | 31.5 | 59.4 | |
| CT2 | 3.5 | 3.3 | 3.0 | 33.6 | 56.6 | |
| Spinel | MT2 | 0.4 | 0.2 | 11.8 | 26.9 | 60.7 | 
| NT2 | 0.2 | 0.3 | 12.1 | 38.3 | 49.1 | |
| CT2 | 0.3 | 0.3 | 12.8 | 29.3 | 57.3 | 
| Parameters | NT1 | NT2 | CT1 | CT2 | MT1 | MT2 | 
|---|---|---|---|---|---|---|
| CMOR (MPa) | 33.9 | 47.6 | 39.5 | 46.0 | 28.9 | 43.7 | 
| Elastic modulus (GPa) | 107.4 | 152.3 | 121 | 193.7 | 89.9 | 120.1 | 
| σ2/E (kPa) | 10.70 | 14.85 | 12.90 | 10.92 | 9.32 | 15.86 | 
Publisher’s Note: MDPI stays neutral with regard to jurisdictional claims in published maps and institutional affiliations.  | 
© 2022 by the authors. Licensee MDPI, Basel, Switzerland. This article is an open access article distributed under the terms and conditions of the Creative Commons Attribution (CC BY) license (https://creativecommons.org/licenses/by/4.0/).
Share and Cite
Tang, H.; Zhou, Y.; Yuan, W. Investigating the Action Mechanism of Titanium in Alumina–Magnesia Castables by Adding Different Ti-Bearing Compounds. Materials 2022, 15, 793. https://doi.org/10.3390/ma15030793
Tang H, Zhou Y, Yuan W. Investigating the Action Mechanism of Titanium in Alumina–Magnesia Castables by Adding Different Ti-Bearing Compounds. Materials. 2022; 15(3):793. https://doi.org/10.3390/ma15030793
Chicago/Turabian StyleTang, Hai, Yuhao Zhou, and Wenjie Yuan. 2022. "Investigating the Action Mechanism of Titanium in Alumina–Magnesia Castables by Adding Different Ti-Bearing Compounds" Materials 15, no. 3: 793. https://doi.org/10.3390/ma15030793
APA StyleTang, H., Zhou, Y., & Yuan, W. (2022). Investigating the Action Mechanism of Titanium in Alumina–Magnesia Castables by Adding Different Ti-Bearing Compounds. Materials, 15(3), 793. https://doi.org/10.3390/ma15030793
        
                                                
