Suspended Metasurface for Broadband High-Efficiency Vortex Beam Generation
Abstract
:1. Introduction
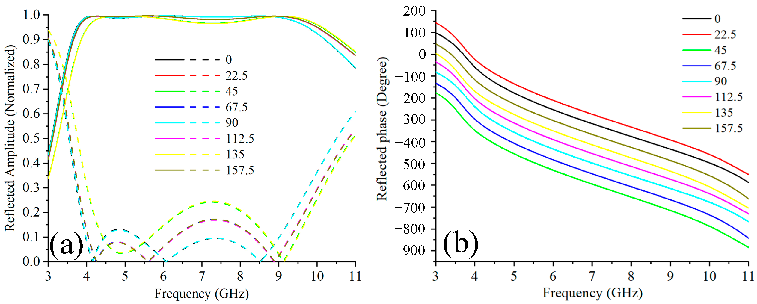
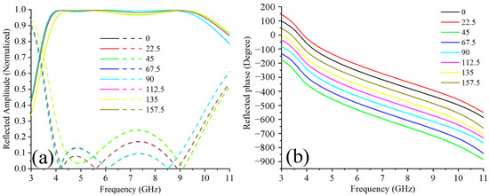
2. Metasurface Design
3. Simulated and Measurement Results
4. Conclusions
Author Contributions
Funding
Institutional Review Board Statement
Informed Consent Statement
Data Availability Statement
Conflicts of Interest
References
- Bliokh, K.Y.; Bekshaev, A.Y.; Nori, F. Dual electromagnetism: Helicity, spin, momentum and angular momentum. New J. Phys. 2013, 15, 033026. [Google Scholar] [CrossRef]
- Liu, K.; Cheng, Y.Q.; Yang, Z.C.; Wang, H.Q.; Qin, Y.L.; Li, X. Orbital-Angular-Momentum-Based Electromagnetic Vortex Imaging. IEEE Antennas Wirel. Propag. Lett. 2015, 14, 711–714. [Google Scholar] [CrossRef]
- Liu, K.; Cheng, Y.Q.; Gao, Y.; Li, X.; Qin, Y.L.; Wang, H.Q. Super-resolution radar imaging based on experimental OAM beams. Appl. Phys. Lett. 2017, 110, 164102. [Google Scholar] [CrossRef]
- Tamburini, F.; Anzolin, G.; Umbriaco, G.; Bianchini, A.; Barbieri, C. Overcoming the Rayleigh criterion limit with optical vortices. Phys. Rev. Lett. 2006, 97, 163903. [Google Scholar] [CrossRef] [Green Version]
- Wang, J.; Yang, J.Y.; Fazal, I.M.; Ahmed, N.; Yan, Y.; Huang, H.; Ren, Y.X.; Yue, Y.; Dolinar, S.; Tur, M.; et al. Terabit free-space data transmission employing orbital angular momentum multiplexing. Nat. Photonics 2012, 6, 488–496. [Google Scholar] [CrossRef]
- Mohammadi, S.M.; Daldorff, L.K.S.; Bergman, J.E.S.; Karlsson, R.L.; Thide, B.; Forozesh, K.; Carozzi, T.D.; Isham, B. Orbital Angular Momentum in Radio-A System Study. IEEE Trans. Antennas Propag. 2010, 58, 565–572. [Google Scholar] [CrossRef]
- Yan, Y.; Xie, G.D.; Lavery, M.P.J.; Huang, H.; Ahmed, N.; Bao, C.J.; Ren, Y.X.; Cao, Y.W.; Li, L.; Zhao, Z.; et al. High-capacity millimetre-wave communications with orbital angular momentum multiplexing. Nat. Commun. 2014, 5, 4876. [Google Scholar] [CrossRef] [PubMed] [Green Version]
- Liu, B.Y.; Cui, Y.H.; Li, R.L. A Broadband Dual-Polarized Dual-OAM-Mode Antenna Array for OAM Communication. IEEE Antennas Wirel. Propag. Lett. 2017, 16, 744–747. [Google Scholar] [CrossRef]
- Padgett, M.; Bowman, R. Tweezers with a twist. Nat. Photonics 2011, 5, 343–348. [Google Scholar] [CrossRef]
- Zhao, J.Y.; Chremmos, I.D.; Song, D.H.; Christodoulides, D.N.; Efremidis, N.K.; Chen, Z.G. Curved singular beams for three-dimensional particle manipulation. Sci. Rep. 2015, 5, 12086. [Google Scholar] [CrossRef] [PubMed] [Green Version]
- Lavery, M.P.J.; Speirits, F.C.; Barnett, S.M.; Padgett, M.J. Detection of a Spinning Object Using Light’s Orbital Angular Momentum. Science 2013, 341, 537–540. [Google Scholar] [CrossRef] [PubMed] [Green Version]
- Bai, Q.; Tennant, A.; Allen, B. Experimental circular phased array for generating OAM radio beams. Electron. Lett 2014, 50, 1414. [Google Scholar] [CrossRef]
- Cheng, L.; Hong, W.; Hao, Z.C. Generation of Electromagnetic Waves with Arbitrary Orbital Angular Momentum Modes. Sci. Rep. 2014, 4, 4814. [Google Scholar] [CrossRef] [PubMed]
- Chen, Y.L.; Zheng, S.L.; Li, Y.; Hui, X.N.; Jin, X.F.; Chi, H.; Zhang, X.M. A Flat-Lensed Spiral Phase Plate Based on Phase-Shifting Surface for Generation of Millimeter-Wave OAM Beam. IEEE Antennas Wirel. Propag. Lett. 2016, 15, 1156–1158. [Google Scholar] [CrossRef]
- Marrucci, L.; Manzo, C.; Paparo, D. Optical spin-to-orbital angular momentum conversion in inhomogeneous anisotropic media. Phys. Rev. Lett. 2006, 96, 163905. [Google Scholar] [CrossRef] [PubMed] [Green Version]
- Yan, L.; Gregg, P.; Karimi, E.; Rubano, A.; Marrucci, L.; Boyd, R.; Ramachandran, S. Q-plate enabled spectrally diverse orbital-angular-momentum conversion for stimulated emission depletion microscopy. Optica 2015, 2, 900–903. [Google Scholar] [CrossRef] [Green Version]
- Genevet, P.; Lin, J.; Kats, M.A.; Capasso, F. Holographic detection of the orbital angular momentum of light with plasmonic photodiodes. Nat. Commun. 2012, 3, 1278. [Google Scholar] [CrossRef] [PubMed] [Green Version]
- Meng, X.S.; Wu, J.J.; Wu, Z.S.; Qu, T.; Yang, L. Dual-polarized reflectarray for generating dual beams with two different orbital angular momentum modes based on independent feeds in C- and X-bands. Opt. Express 2018, 26, 23185–23195. [Google Scholar] [CrossRef]
- Chen, G.T.; Jiao, Y.C.; Zhao, G. A Reflectarray for Generating Wideband Circularly Polarized Orbital Angular Momentum Vortex Wave. IEEE Antennas Wirel. Propag. Lett. 2019, 18, 182–186. [Google Scholar] [CrossRef]
- Li, F.X.; Chen, H.Y.; Zhou, Y.; You, J.W.; Panoiu, N.C.; Zhou, P.H.; Deng, L.J. Generation and Focusing of Orbital Angular Momentum Based on Polarized Reflectarray at Microwave Frequency. IEEE Trans. Microw. Theory Tech. 2021, 69, 1829–1837. [Google Scholar] [CrossRef]
- Yang, J.; Zhang, C.; Ma, H.F.; Zhao, J.; Dai, J.Y.; Yuan, W.; Yang, L.X.; Cheng, Q.; Cui, T.J. Generation of radio vortex beams with designable polarization using anisotropic frequency selective surface. Appl. Phys. Lett. 2018, 112, 203501. [Google Scholar] [CrossRef]
- Chen, M.L.N.; Jiang, L.J.; Sha, W.E.I. Artificial perfect electric conductor-perfect magnetic conductor anisotropic metasurface for generating orbital angular momentum of microwave with nearly perfect conversion efficiency. J. Appl. Phys. 2016, 119, 064506. [Google Scholar] [CrossRef] [Green Version]
- Zhang, C.; Deng, L.; Zhu, J.F.; Hong, W.J.; Wang, L.; Yang, W.J.; Li, S.F. Control of the Spin Angular Momentum and Orbital Angular Momentum of a Reflected Wave by Multifunctional Graphene Metasurfaces. Materials 2018, 11, 1054. [Google Scholar] [CrossRef] [PubMed] [Green Version]
- Ran, Y.Z.; Liang, J.G.; Cai, T.; Li, H.P. High-performance broadband vortex beam generator using reflective Pancharatnam-Berry metasurface. Opt. Commun. 2018, 427, 101–106. [Google Scholar] [CrossRef]
- Xu, H.X.; Liu, H.W.; Ling, X.H.; Sun, Y.M.; Yuan, F. Broadband Vortex Beam Generation Using Multimode Pancharatnam-Berry Metasurface. IEEE Trans. Antennas Propag. 2017, 65, 7378–7382. [Google Scholar] [CrossRef]
- Bi, F.; Ba, Z.L.; Wang, X. Metasurface-based broadband orbital angular momentum generator in millimeter wave region. Opt. Express 2018, 26, 25693–25705. [Google Scholar] [CrossRef] [PubMed]
- Lin, Z.S.; Ba, Z.L.; Wang, X. Broadband High-Efficiency Electromagnetic Orbital Angular Momentum Beam Generation Based on a Dielectric Metasurface. IEEE Photonics J. 2020, 12, 4600611. [Google Scholar] [CrossRef]
- Yang, L.J.; Sun, S.; Sha, W.E.I. Ultrawideband Reflection-Type Metasurface for Generating Integer and Fractional Orbital Angular Momentum. IEEE Trans. Antennas Propag. 2020, 68, 2166–2175. [Google Scholar] [CrossRef] [Green Version]
- Liu, Y.T.; Xie, R.S.; Chen, X.; Zhang, H.L.; Ding, J. High-efficiency ultra-broadband orbital angular momentum beam generators enabled by arrow-based fractal metasurface. J. Phys. D Appl. Phys. 2021, 54, 475105. [Google Scholar] [CrossRef]
- Fang, C.Q.; Wu, C.; Gong, Z.J.; Zhao, S.; Sun, A.Q.; Wei, Z.Y.; Li, H.Q. Broadband and high-efficiency vortex beam generator based on a hybrid helix array. Opt. Lett. 2018, 43, 1538–1541. [Google Scholar] [CrossRef] [PubMed]
- Shi, H.Y.; Li, J.X.; Zhang, A.X.; Jiang, Y.S.; Wang, J.F.; Xu, Z.; Xia, S. Gradient Metasurface with Both Polarization-Controlled Directional Surface Wave Coupling and Anomalous Reflection. IEEE Antennas Wirel. Propag. Lett. 2015, 14, 104–107. [Google Scholar] [CrossRef]
- Pu, M.B.; Chen, P.; Wang, C.T.; Wang, Y.Q.; Zhao, Z.Y.; Hu, C.G.; Huang, C.; Luo, X.G. Broadband anomalous reflection based on gradient low-Q meta-surface. AIP Adv. 2013, 3, 052136. [Google Scholar]









| Frequency (GHz) | 4 | 5 | 6 | 7 | 8 | 9 | 10 | ||
|---|---|---|---|---|---|---|---|---|---|
| OAM order 1 | Continuous | Efficiency | 94.9% | 97.4% | 96.3% | 92% | 92.4% | 97.7% | 92.6% |
| Discrete | 96.0% | 94.8% | 95.6% | 92.2% | 91.4% | 95.7% | 90.6% | ||
| OAM order 2 | Continuous | Efficiency | 84.3% | 91.3% | 92.6% | 91.2% | 91.5% | 94.5% | 87.4% |
| Discrete | 83.6% | 89.5% | 91.0% | 90.6% | 91.1% | 92.9% | 86.5% |
| Frequency (GHz) | 4 | 5.5 | 7 | 8 | |
|---|---|---|---|---|---|
| OAM order + 1 | Mode Purity | 83.0% | 88.3% | 82.4% | 84.5% |
| OAM order − 1 | 84.5% | 84.5% | 85.2% | 83.8% | |
| OAM order + 2 | Mode Purity | 78.9% | 81.6% | 80.5% | 81.7% |
| OAM order − 2 | 80.9% | 79.2% | 78.6% | 80.2% |
| Ref | Frequency Range (GHz) | Relative BandWidth (%) | OAM Generation Efficiency (%) | Layer Number | Layer Thickness (mm) |
|---|---|---|---|---|---|
| [24] | 12–18 | 40 | 75.76 | 1 | 3 |
| [25] | 6.95–18 | 88.5 | N/A | 2 | 3.3 |
| [26] | 59–70 | 17 | 64 | 1 | 0.63 |
| [27] | 18–28 | 43.5 | 65 | 1 | 2.4 |
| [28] | 8.55–19.95 | 80 | N/A | 1 | 3 |
| [29] | 6–19.7 | 107.2 | N/A | 1 | 4 |
| [30] | 8.1–13 | 46.5 | 65 | 1 | N/A |
| Our Work | 4–10 | 85.7 | 82 | 1 | 0.51 |
Publisher’s Note: MDPI stays neutral with regard to jurisdictional claims in published maps and institutional affiliations. |
© 2022 by the authors. Licensee MDPI, Basel, Switzerland. This article is an open access article distributed under the terms and conditions of the Creative Commons Attribution (CC BY) license (https://creativecommons.org/licenses/by/4.0/).
Share and Cite
Wang, L.; Shi, H.; Yi, J.; Dong, L.; Liu, H.; Zhang, A.; Xu, Z. Suspended Metasurface for Broadband High-Efficiency Vortex Beam Generation. Materials 2022, 15, 707. https://doi.org/10.3390/ma15030707
Wang L, Shi H, Yi J, Dong L, Liu H, Zhang A, Xu Z. Suspended Metasurface for Broadband High-Efficiency Vortex Beam Generation. Materials. 2022; 15(3):707. https://doi.org/10.3390/ma15030707
Chicago/Turabian StyleWang, Luyi, Hongyu Shi, Jianjia Yi, Liang Dong, Haiwen Liu, Anxue Zhang, and Zhuo Xu. 2022. "Suspended Metasurface for Broadband High-Efficiency Vortex Beam Generation" Materials 15, no. 3: 707. https://doi.org/10.3390/ma15030707
APA StyleWang, L., Shi, H., Yi, J., Dong, L., Liu, H., Zhang, A., & Xu, Z. (2022). Suspended Metasurface for Broadband High-Efficiency Vortex Beam Generation. Materials, 15(3), 707. https://doi.org/10.3390/ma15030707

