Entropy Analysis of Magnetized Carbon Nanofluid over Axially Rotating Stretching Disk
Abstract
1. Introduction
2. Problem Statement
3. Entropy Generation
4. Numerical Scheme
4.1. Step 1
4.2. Step 2
4.3. Step 3
4.4. Step 4
5. Numerical Results and Discussion
5.1. Velocity Profiles
5.2. Temperature Profiles
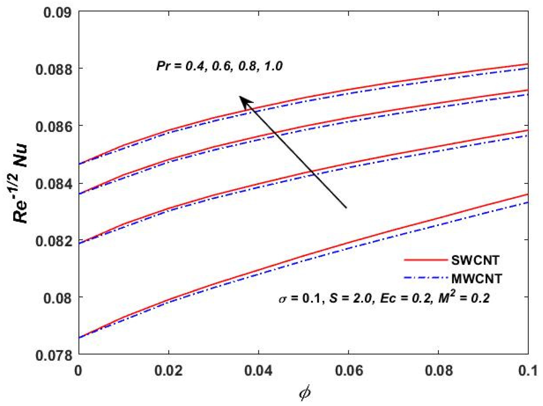
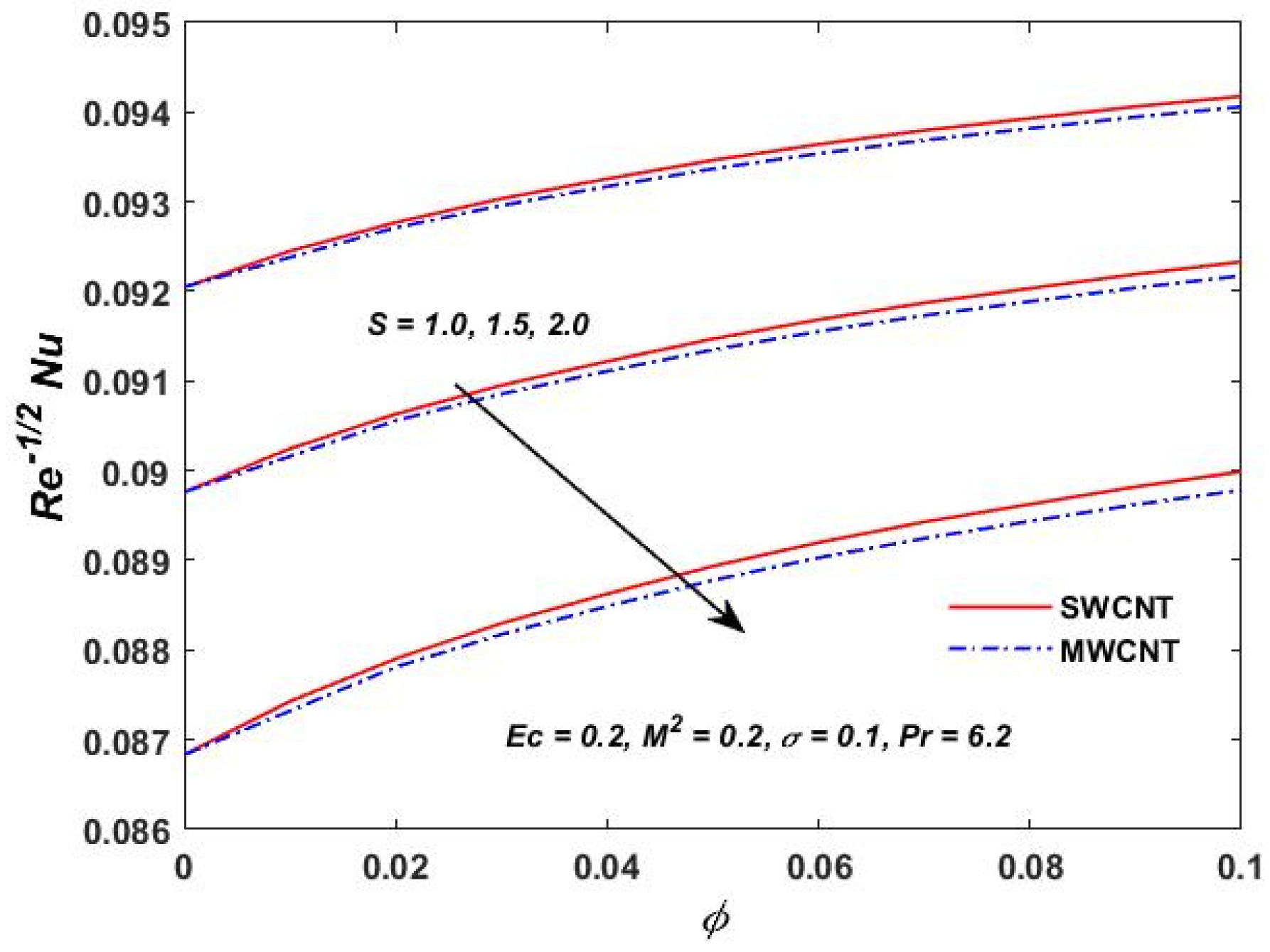
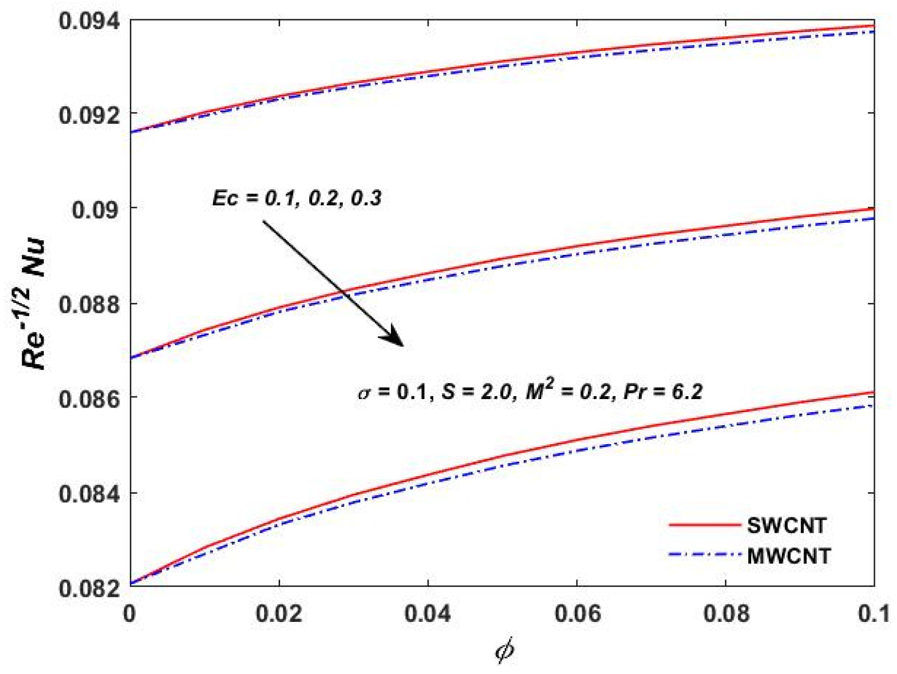
5.3. Variations of Skin Friction and Nusselt Number
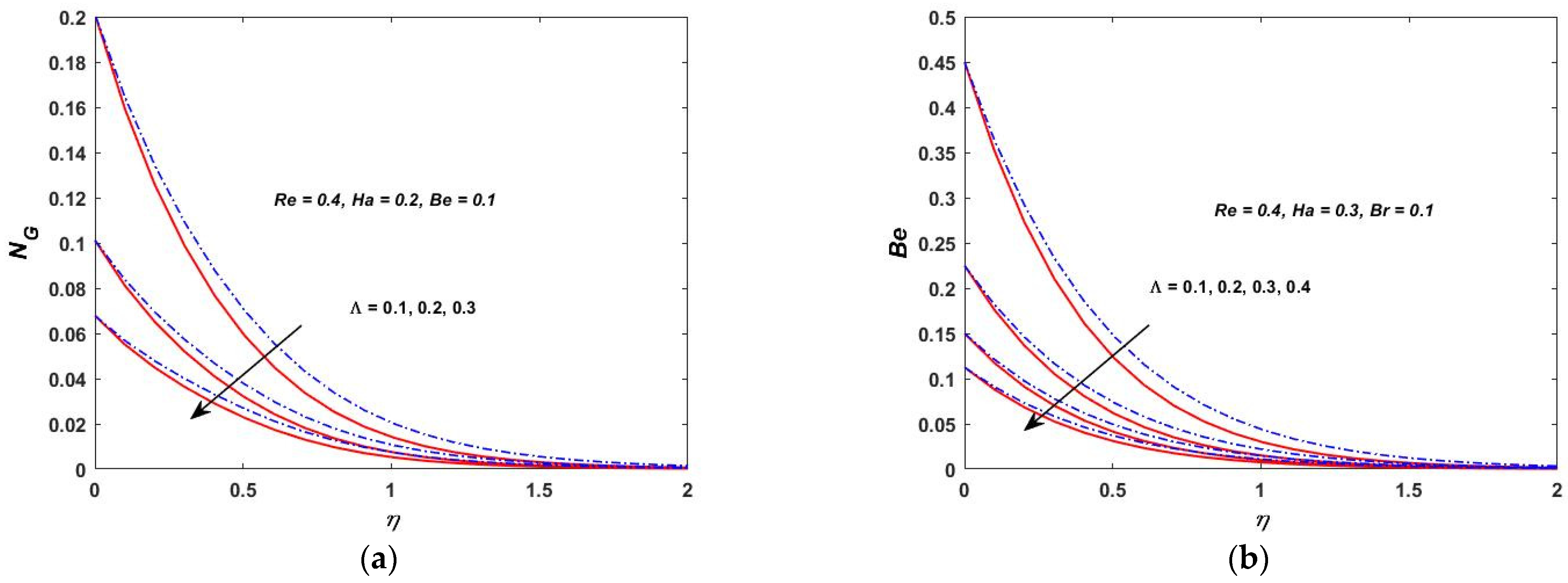
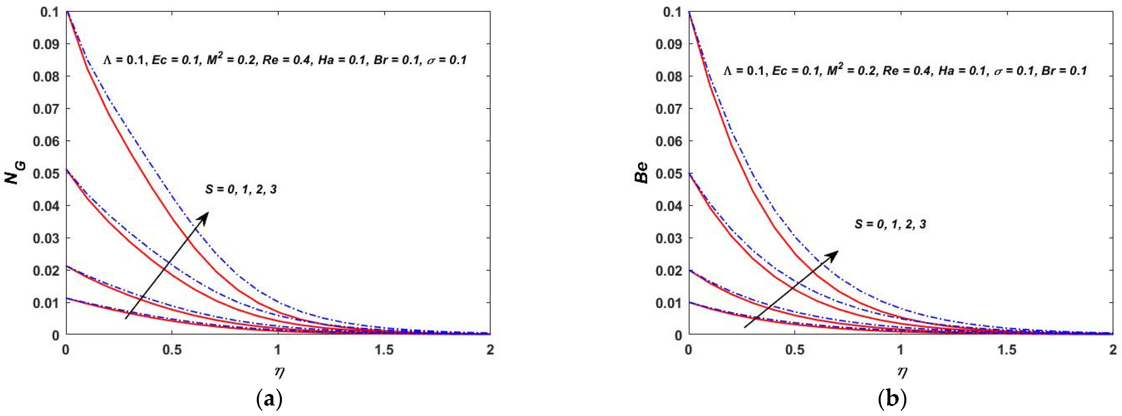
5.4. Effects of Parameters on Entropy and Bejan Number
6. Conclusions
- With an increase in the values of the regulating flow variables, such as the magnetic parameter, the velocities and for both the SWCNTs and the MWCNTs decrease.
- The increase in the rotation parameter causes an increase in velocity and velocity in both types of carbon nanotubes.
- As the values of the nanoparticle volume fraction, magnetic number, Eckert number, and Biot number increase, the temperature () of the fluid increases for both the SWCNTs and the MWCNTs, although inverse behavior is observed against the Prandtl number.
- The skin friction coefficient is improved for both forms of CNTs by the increasing values of the parameters S and .
- As the Prandtl number and the rotation are increased, the heat transfer rate of the fluid increases for the SWCNTs and the MWCNTs, whereas the contrary trend is shown for the magnetic parameter and the Eckert number.
- With increasing magnitudes of rotation S, the Brinkman number Br, the Biot number, the Hartmann number, the entropy, and Bejan number increase significantly in the immediate vicinity of the rotating and stretching disk.
- When the temperature difference is increased, the entropy generation is decreased.
- The current work can be extended for entropy analysis over a magnetized axially rotating stretching disk to save the surface from excessive heating.
Author Contributions
Funding
Data Availability Statement
Conflicts of Interest
Nomenclature
| a | Strain rate | S | Rotation parameter |
| Porosity | Pr | Prandtl number | |
| (u, v, w) | Velocity componants in radial, azimuthal, and axial directions | (r, φ, z) | Cylindrical coordinates in radial, azimuthal, and axial directions |
| Nanofluid thermal conductivity | Q | Heat flux | |
| Angular velocity | Specific heat | ||
| Re | Reynold number | Convective heat transfer coefficient | |
| Skin friction coefficient | Heated fluid temperature | ||
| Ambient fluid temperature | Fluid thermal conductivity | ||
| Greek variables | |||
| Nanofluid kinematic viscosity | Fluid viscosity | ||
| Nanofluid dynamic viscosity | Fluid dynamic viscosity | ||
| Non-dimensional thermal relaxation time | Dimensional thermal relaxation time | ||
| Heat capacity of nanofluid | Heat capacity of fluid | ||
| Heat capacity of carbon nanotubes | Biot number | ||
| Thermal diffusion of nanofluid | Density of carbon nanotubes | ||
References
- Choi, S.; Eastman, J.A. Enhancing thermal conductivity of fluids with nanoparticles. In Proceedings of the 1995 ASME International Mechanical Engineering Congress and Ezposition, Argonna National Laboratory, Lemont, IL, USA, 12–17 November 1995; pp. 99–105. [Google Scholar]
- Ayodeji, F.; Tope, A.; Pele, O. Magneto-hydrodynamics (MHD) Bioconvection Nanofluid Slip Flow over a Stretching Sheet with Thermophoresis, Viscous Dissipation and Brownian Motion. Mach. Learn. Res. 2020, 4, 51. [Google Scholar] [CrossRef]
- Khan, M.; Salahuddin, T.; Malik, M.Y.; Alqarni, M.S.; Alqahtani, A.M. Numerical modeling and analysis of bioconvection on MHD flow due to an upper paraboloid surface of revolution. Phys. A 2020, 27, 124231. [Google Scholar] [CrossRef]
- Khan, W.A.; Khan, Z.H.; Rahi, M. Fluid flow and heat transfer of carbon nanotubes along a flat plate with Navier slip boundary. Appl. Nanosci. 2014, 4, 633–641. [Google Scholar] [CrossRef]
- Seth, G.S.; Kumar, R.; Bhattachay, A. Entropy generation of dissipative flow of carbon nanotubes in rotating frame with Darcy-Forchheimer porous medium: A numerical study. J. Mol. Liq. 2018, 268, 637–646. [Google Scholar] [CrossRef]
- Hayat, T.; Hussain, Z.; Alsaedi, A.; Ashghar, S. Carbon nanotubes effects in the stagnation point flow towards a nonlinear stretching sheet with variable thickness. Adv. Powder Technol. 2016, 27, 1677–1688. [Google Scholar] [CrossRef]
- Ghadikolaei, S.S.; Hosseinzadeh, K.; Hatami, M.; Ganji, D.D.; Armin, M. Investigation for squeezing flow of ethylene glycol (C2H6O2) carbon nanotubes (CNTs) in rotating stretching channel with nonlinear thermal radiation. J. Mol. Liq. 2018, 263, 10–21. [Google Scholar] [CrossRef]
- Nabwey, H.A.; Boumazgour, M.; Rashad, A.M. Group method analysis of mixed convection stagnation-point flow of non-Newtonian nanofluid over a vertical stretching surface. Indian J. Phys. 2017, 91, 731–742. [Google Scholar] [CrossRef]
- Alwawi, F.A.; Alkasasbeh, H.T.; Rashad, A.M.; Idris, R. MHD natural convection of Sodium Alginate Casson nanofluid over a solid sphere. Results Phys. 2020, 16, 102818. [Google Scholar] [CrossRef]
- Eid, M.R. Chemical reaction effect on MHD boundary layer flow of two phase nanofluid model over an exponentially stretching sheet with a heat generation. J. Mol. Liq. 2016, 220, 718–725. [Google Scholar] [CrossRef]
- Mustafa, M.; Mushtaq, A.; Hayat, T.; Alsaedi, A. Rotating flow of magnetite-water nanofluid over a stretching surface inspired by non-linear thermal radiation. PLoS ONE 2016, 11, e0149304. [Google Scholar] [CrossRef]
- Beg, O.A.; Rao, A.S.; Nagendra, N.; Amanulla, C.H.; Reddy, M.S.N. Computational analysis of non-Newtonian boundary layer flow of nanofluid past a vertical plate with partial slip. Model. Meas. Control B 2017, 86, 271–295. [Google Scholar]
- Hassan, M.; Tabar, M.M.; Nemati, H. An analytical solution for boundary layer flow of a nanofluid past a stretching sheet. Int. J. Therm. Sci. 2011, 50, 2256–2263. [Google Scholar] [CrossRef]
- Eastman, J.A.; Choi, S.U.S.; Li, S.; Yu, W.; Thompson, L.J. Anomalously increasedeffective thermal conductivity of ethylene glycol-based nanofluids containing copper nanoparticles. Appl. Phys. Lett. 2001, 78, 718–720. [Google Scholar] [CrossRef]
- Choi, S.U.S.; Zhang, Z.G.; Yu, W.; Lockwood, F.E.; Grulke, E.A. Anomalous thermal conductivity enhancement in nanotube suspension. Appl. Phys. Lett. 2001, 79, 2252–2254. [Google Scholar] [CrossRef]
- Karman, T.V. Über laminate und turbulente Reibung. J. Appl. Math. Mech. 1921, 1, 233–252. [Google Scholar] [CrossRef]
- Wang, C.Y. Stretching a surface in a rotating fluid. Z. Angew. Math. Phys. 1988, 39, 177–185. [Google Scholar] [CrossRef]
- Fang, T.G. Flow over a stretchable disk. Phys. Fluids 2007, 19, 128105. [Google Scholar] [CrossRef]
- Weidman, P. Axisymmetric stagnation point flow on a spiraling disk. Phys. Fluids 2014, 26, 073603. [Google Scholar] [CrossRef]
- Kumam, P.; Shah, Z.; Dawar, A.; Rasheed, H.U.; Islam, S. Entropy Generation in MHD Radiative Flow of CNTs Casson Nanofluid in Rotating Channels with Heat Source/Sink. Math. Probl. Eng. 2019, 2019, 9158093. [Google Scholar] [CrossRef]
- Adesanya, S.O.; Makinde, O.D. Entropy generation in couple stress fluid flow through porous channel with fluid slippage. Int. J. Exergy 2014, 15, 344–362. [Google Scholar] [CrossRef]
- Khan, W.A.; Culham, R.; Aziz, A. Second Law Analysis of Heat and Mass Transfer of Nanofluids along a Plate with Prescribed Surface Heat Flux. ASME J. Heat Transf. 2015, 137, 081701. [Google Scholar] [CrossRef]
- Makinde, O.D. Thermodynamic second law analysis for a gravity-driven variable viscosity liquid film along an inclined heated plate with convective cooling. J. Mech. Sci. Technol. 2010, 24, 899–908. [Google Scholar] [CrossRef]
- Sheremet, M.A.; Oztop, H.F.; Pop, I.; Hamdeh, N.A. Analysis of entropy generation in natural convection of nanofluid inside a square cavity having hot solid block: Tiwari and das’ model. Entropy 2016, 18, 9. [Google Scholar] [CrossRef]
- Dawar, A.; Shah, Z.; Khan, W.; Idrees, M.; Islam, S. Unsteady squeezing flow of MHD CNTS nanofluid in rotating channels with Entropy generation and viscous Dissipation. Adv. Mech. Eng. 2019, 10, 1–18. [Google Scholar] [CrossRef]
- Das, S.; Jana, R.N.; Chamkha, A.J. Entropy generation due to unsteady hydromagnetic Couette flow and heat transfer with asymmetric convective cooling in a rotating system. J. Math. Model. 2015, 3, 107–128. [Google Scholar]
- Chamkha, A.J.; Ismael, M.; Kasaeipoor, A.; Armaghani, T. Entropy generation and natural convection of CuO-Water nanofluid in C-shaped cavity under magnetic field. Entropy 2016, 18, 50. [Google Scholar] [CrossRef]
- Rashidi, M.M.; Freidoonimehr, N. Analysis of entropy generation in MHD stagnation-point flow in porous media with heat transfer. Int. J. Comput. Methods Eng. Sci. Mech. 2014, 15, 345–355. [Google Scholar] [CrossRef]
- Rehman, A.U.; Mehmood, R.; Nadeem, S. Entropy analysis of radioactive rotating Nanofluid with thermal Slip. Appl. Therm. Eng. 2017, 112, 832–840. [Google Scholar] [CrossRef]
- Sahoo, B.; Shevchuk, I.V. Heat transfer due to revolving flow of Reiner-Rivlin fluid over a stretchable surface. Therm. Sci. Eng. Prog. 2019, 10, 327–336. [Google Scholar] [CrossRef]
- Shevchuk, I.V. Unsteady conjugate laminar heat transfer of a rotating non-uniformly heated disk. Int. J. Heat Mass Transf. 2006, 49, 3530–3537. [Google Scholar] [CrossRef]
- Turkyilmazoglu, M. MHD fluid flow and heat transfer due to a stretching rotating disk. Int. J. Therm. Sci. 2012, 51, 195–201. [Google Scholar] [CrossRef]
- Banik, S.; Mirja, A.S.; Biswas, N.; Ganguly, R. Entropy analysis during heat dissipation via thermomagnetic convection in a ferrfluid filled enclosure. Int. Commun. Heat Mass Transf. 2022, 138, 106323. [Google Scholar] [CrossRef]
- Biswas, N.; Mandal, D.K.; Manna, N.K.; Benim, A.C. Magneto-hydrothermal triple-convection in a W-shaped porous cavity containing oxytactic bacteria. Sci. Rep. 2022, 12, 18053. [Google Scholar] [CrossRef] [PubMed]
- Mandal, D.K.; Biswas, N.; Manna, N.K.; Gorla, R.S.R.; Chamkha, A.J. Hybrid nanofluid magnetohydrodynamic mixed convection in a novel W-shaped porous system. Int. J. Numer. Methods Heat Fluid Flow 2022. ahead-of-print. [Google Scholar] [CrossRef]
- Ashraf, M.; Ilyas, A.; Ullah, Z.; Abbas, A. Periodic magnetohydrodynamic mixed convection flow along a cone embedded in a porous medium with variable surface temperature. Ann. Nucl. Energy 2022, 175, 109218. [Google Scholar] [CrossRef]
- Ullah, Z.; Ashraf, M.; Sarris, I.E.; Karakasidis, T.E. The impact of reduced gravity on oscillatory mixed convective heat transfer around a non-conducting heated circular cylinder. Appl. Sci. 2022, 12, 5081. [Google Scholar] [CrossRef]
- Ashraf, M.; Ahmad, U.; Zia, S.; Gorla, R.S.R.; Al-Johani, A.S.; Khan, I.; Andualem, M. Magneto-exothermic catalytic chemical reaction of convective heat transfer along a curved surface. Math. Probl. Eng. 2022, 2022, 8439659. [Google Scholar] [CrossRef]
- Ullah, Z.; Ashraf, M.; Ahmad, S. The Analysis of Amplitude and Phase Angle of Periodic Mixed Convective Fluid Flow across a Non-Conducting Horizontal Circular Cylinder. Partial Differ. Equ. Appl. Math. 2022, 5, 100258. [Google Scholar] [CrossRef]


























| Properties | Water (Base) | SWCNT | MWCNT |
|---|---|---|---|
| 997.1 | 2600 | 1600 | |
| 4179 | 425 | 796 | |
| 0.613 | 6600 | 3000 |
| M | S | Mustafa [36] | Present | Mustafa [36] | Present | Mustafa [36] | Present |
|---|---|---|---|---|---|---|---|
| 0 | 0 | −1.1737207 | −1.1737207 | 0.0000000 | 0.00000000 | 0.8519914 | 0.8519914 |
| 1 | −0.9483137 | −0.94831384 | 1.4869526 | 1.4869526 | 0.8756621 | 0.8756619 | |
| 2 | −0.3262439 | −0.3262440 | 3.1278281 | 3.1278281 | 0.9304111 | 0.9304107 | |
| 5 | 3.1937329 | 3.1937329 | 9.2535411 | 9.2535411 | 1.1291404 | 1.1291401 | |
| 10 | 12.7208997 | 12.7208997 | 22.9134072 | 22.9134071 | 1.4259266 | 1.4259262 | |
| 20 | 40.9056723 | 40.9056723 | 60.0129305 | 60.0129300 | 1.8944305 | 1.8944300 | |
| 2 | 0 | −1.8304896 | −1.8304896 | 0.00000000 | 0.00000000 | 0.7260865 | 0.7260865 |
| 1 | −1.6634525 | −1.6634527 | 2.0239449 | 2.0239445 | 0.7422122 | 0.7422118 | |
| 2 | −1.1753470 | −1.1753473 | 4.1134938 | 4.1134935 | 0.7853654 | 0.7853649 | |
| 5 | 1.89294547 | 1.89294550 | 11.1405994 | 11.1405991 | 0.9802851 | 0.9802846 | |
| 10 | 10.8333844 | 10.8333846 | 25.7225551 | 25.7225549 | 1.2992208 | 1.2992203 | |
| 20 | 38.1879775 | 38.1879779 | 64.0604500 | 64.0604446 | 1.7973154 | 1.7973148 | |
Publisher’s Note: MDPI stays neutral with regard to jurisdictional claims in published maps and institutional affiliations. |
© 2022 by the authors. Licensee MDPI, Basel, Switzerland. This article is an open access article distributed under the terms and conditions of the Creative Commons Attribution (CC BY) license (https://creativecommons.org/licenses/by/4.0/).
Share and Cite
Nabwey, H.A.; Sultana, U.; Mushtaq, M.; Ashraf, M.; Rashad, A.M.; Alshber, S.I.; Abu Hawsah, M. Entropy Analysis of Magnetized Carbon Nanofluid over Axially Rotating Stretching Disk. Materials 2022, 15, 8550. https://doi.org/10.3390/ma15238550
Nabwey HA, Sultana U, Mushtaq M, Ashraf M, Rashad AM, Alshber SI, Abu Hawsah M. Entropy Analysis of Magnetized Carbon Nanofluid over Axially Rotating Stretching Disk. Materials. 2022; 15(23):8550. https://doi.org/10.3390/ma15238550
Chicago/Turabian StyleNabwey, Hossam A., Uzma Sultana, Muhammad Mushtaq, Muhammad Ashraf, Ahmed M. Rashad, Sumayyah I. Alshber, and Miad Abu Hawsah. 2022. "Entropy Analysis of Magnetized Carbon Nanofluid over Axially Rotating Stretching Disk" Materials 15, no. 23: 8550. https://doi.org/10.3390/ma15238550
APA StyleNabwey, H. A., Sultana, U., Mushtaq, M., Ashraf, M., Rashad, A. M., Alshber, S. I., & Abu Hawsah, M. (2022). Entropy Analysis of Magnetized Carbon Nanofluid over Axially Rotating Stretching Disk. Materials, 15(23), 8550. https://doi.org/10.3390/ma15238550

