Experimental Study on Vibratory Compaction Behavior of Tunneling Rock Wastes Used as Unbound Permeable Aggregate Base Materials
Abstract
:1. Introduction
2. Laboratory Test
2.1. Aggregate Properties
2.2. New Plate Vibratory Compaction Apparatus
2.3. Modified Proctor Compaction Test
2.4. Plate Vibratory Compaction Tests
3. Results and Analysis
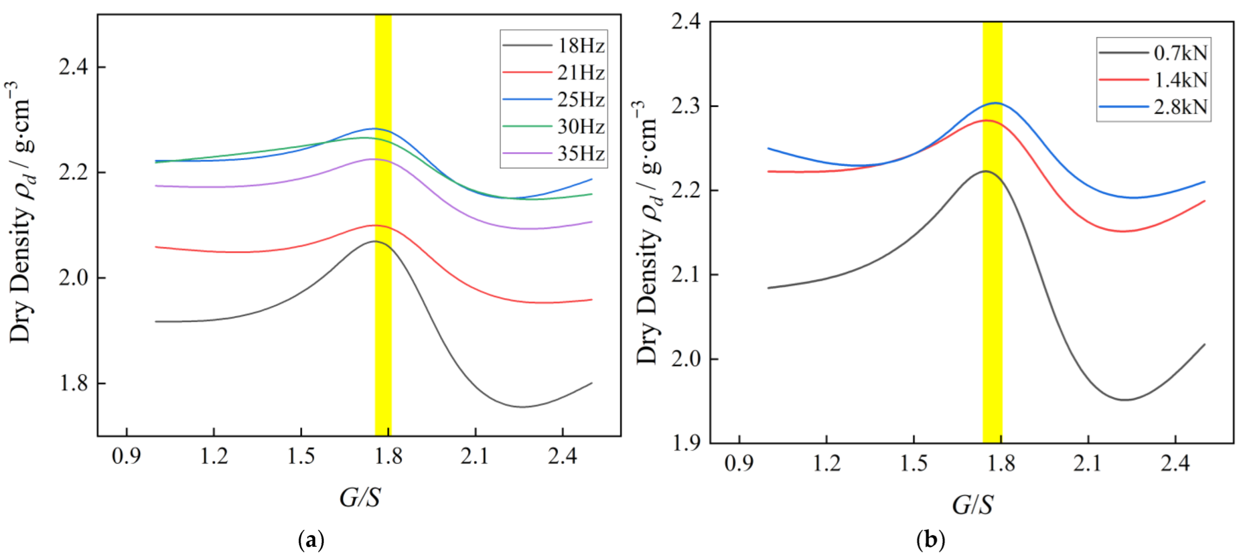
3.1. Correlation Analysis of Different Plate Vibratory Compaction Variables
3.2. Effects of Different Compaction Methods on the Maximum Dry Density
3.3. Influence of Different Compaction Methods on Particle Breakage
3.4. CT Scanning Analysis
3.5. Saturation-Based Unified Compaction Curve
4. Summary and Conclusions
- (1)
- The gradation design method controlled by the gravel-to-sand ratio can effectively divide the gradation of UPAB materials into three different particle packing structures defined as suspended dense, skeleton dense, and skeleton void for G/S ranges of 1.0 to 1.6, 1.6 to 1.8, and 1.8 to 2.5, respectively. The G/S parameters have a significant control effect on the post-compaction dry density of UPAB materials. In addition, the maximum achieved dry density increases to a G/S of 1.8 and then decreases with the increase in the G/S value.
- (2)
- The maximum dry density values of the UPAB specimens at constant G/S value and different maximum particle sizes are also different. The larger the values of coefficient of uniformity and maximum particle size in a specific range under good gradation, the higher the maximum dry density values obtained by the same compaction method.
- (3)
- The achieved dry density of UPAB materials during three different stages changes with time under plate vibratory compaction. From the perspective of economy and efficiency, the optimal time of plate vibratory compaction is between 60 s and 80 s, and the optimal frequency under different excitation forces is 25 to 27 Hz, which helps the specimens’ post-compaction dry density to reach its peak.
- (4)
- At small output energy levels of vibratory plate compaction or cases with energy level close to that of the Proctor compaction, the maximum dry density of UPAB specimens with the same gradation under proctor compaction is greater than that of vibratory plate vibration. Furthermore, the optimal moisture content is lower in the case of Proctor compaction.
- (5)
- Compared with vibratory compaction, the Proctor compaction has a more significant impact on the gradation change of UPAB materials before and after compaction, and the particle breakage is more serious. The TRW-derived UPAB materials with a G/S value of 1.8 has the lowest crushing rate and the highest dry density.
- (6)
- The internal pores in TRW-derived UPAB materials with different G/S values after vibratory plate compaction are mainly micro-pores, and the specimens with a G/S value of 1.8 have the least number of pores and the closest arrangement of particles after vibratory compaction, thereby increasing the dry density.
- (7)
- The unified (or normalized) compaction curve of achieved dry density versus degree of saturation is relatively insensitive to the changes of material gradations, compaction methods, and compaction energy levels. Thus, compared with the conventional compaction curves, this method can accurately evaluate and control the compaction quality of field construction of TRW-derived UPAB layers.
Author Contributions
Funding
Institutional Review Board Statement
Informed Consent Statement
Data Availability Statement
Conflicts of Interest
References
- Guibao, M.A.; Hui, L.I.; Bing, Y. Investigation on the deformation behavior of open-graded unbound granular materials for permeable pavement. Constr. Build. Mater. 2020, 260, 119800. [Google Scholar] [CrossRef]
- Koohmishi, M. Hydraulic conductivity and water level in the reservoir layer of porous pavement considering gradation of aggregate and compaction level. Constr. Build. Mater. 2019, 203, 27–44. [Google Scholar] [CrossRef]
- Lu, G.; Renken, L.; Li, T.; Wang, D.; Li, H.; Oeser, M. Experimental study on the polyurethane-bound pervious mixtures in the application of permeable pavements. Constr. Build. Mater. 2019, 202, 838–850. [Google Scholar] [CrossRef]
- Chen, L.; Qiao, L.; Li, Q. Study on dynamic compaction characteristics of gravelly soils with crushing effect. Soil Dyn. Earthq. Eng. 2019, 120, 158–169. [Google Scholar] [CrossRef]
- Yuan, F. Research on Mechanical Properties and Mesoscopic Structure of Cement Stabilized Macadam Material Based on Vibration Compaction. Master’s Thesis, Jilin University, Changchun, China, 2020. [Google Scholar]
- Sui, J. Experimental Study on Character of Vibration compaction of Coarse Grained Soil. Master’s Thesis, Dalian University of Technology, Dalian, China, 2003. [Google Scholar]
- Rahman, M.S.; Erlingsson, S. Predicting permanent deformation behaviour of unbound granular materials. Int. J. Pavement Eng. 2004, 16, 587–601. [Google Scholar] [CrossRef]
- Xiao, Y.; Kong, K.; Jiang, Y.; Hua, W.; Zhu, H.; Cai, D.; Liu, Y. Investigating resilient modulus characteristics and developing unified prediction model of unbound aggregate base materials recycled from construction and demolition waste. Chin. J. Rock Mech. Eng. 2022, 41. [Google Scholar] [CrossRef]
- Xiao, Y.; Kong, K.; Aminu, U.F.; Li, Z.; Li, Q.; Zhu, H.; Cai, D. Characterizing and Predicting the Resilient Modulus of Recycled Aggregates from Building Demolition Waste with Breakage-Induced Gradation Variation. Materials 2022, 15, 2670. [Google Scholar] [CrossRef]
- Tan, B.; Yang, T.; Qin, H.; Liu, Q. Laboratory Study on the Stability of Large-Size Graded Crushed Stone under Cyclic Rotating Axial Compression. Materials 2021, 14, 1584. [Google Scholar] [CrossRef]
- Joohari, I.B.; Giustozzi, F. Waste tyres crumb rubber as a sustainability enhancer for polymer-modified and hybrid polymer-modified bitumen. Int. J. Pavement Eng. 2021, 1–15. [Google Scholar] [CrossRef]
- Tang, D.; Zhang, X.; Hu, S.; Liu, X.; Ren, X.; Hu, J.; Feng, Y. The reuse of red brick powder as a filler in styrene-butadiene rubber. J. Clean. Prod. 2020, 261, 120966. [Google Scholar] [CrossRef]
- You, L.; Yue, Y.; Yan, K.; Zhou, Y. Characteristics of cement-stabilized macadam containing surface-treated recycled aggregates. Road Mater. Pavement Des. 2021, 22, 2029–2043. [Google Scholar] [CrossRef]
- Feng, R.; Wang, Y.; Xie, Y. Test on Vibrated Compaction Properties of Coarse Grained Soil. China J. Highw. Transp. 2007, 20, 19–23. [Google Scholar]
- Liang, X.; Wang, Y.; Sun, J.; Wang, X. Experimental Study on Vibration compaction Performance of Gravel Soils. Chin. J. Rock Mech. Eng. 2005, 24, 4955–4969. [Google Scholar]
- Wersäll, C.; Nordfelt, I.; Larsson, S. Soil compaction by vibratory roller with variable frequency. Geotechnique 2017, 67, 272–278. [Google Scholar] [CrossRef]
- Mo, S. Research on Action Mechanism of Lake Asphalt Modified Asphalt and Mixture Performance. Master’s Thesis, Chang’an University, Xi’an, China, 2012. [Google Scholar]
- Li, D. Research on Mechanical Characteristics and Design Method of Graded Crushed Stone Material. Ph.D. Thesis, Chang’an University, Xi’an, China, 2013. [Google Scholar] [CrossRef]
- Jiang, Y.; Yang, X.; Li, N.; Zhang, Y.; Dong, X. Evaluation of Vertical Vibration Test Method of Lime-Flu Ash-Stabilized Aggregate. J. Build. Mater. 2015, 18, 351–356. [Google Scholar]
- Jin, G. Laboratory Study of Triaxial on Graded Broken Stone. Master’s Thesis, Dalian University of Technology, Dalian, China, 2007. [Google Scholar]
- Chen, J.; Luo, Q.; Zhao, Z. Experimental Analysis on Soil Structure Type of Graded Gravelly Soil Filling Surface Layer of Subgrade of High-speed Railway. J. China Railw. Soc. 2015, 37, 82–88. [Google Scholar]
- Xu, G.; Gao, H.; Wang, Z. Analysis of continuous dynamic monitoring on vibration compaction process of graded broken stone. Chin. J. Geotech. Eng. 2005, 27, 1270–1272. [Google Scholar]
- He, G.; Xu, G. Experimental investigation on Vibration Compaction Characteristic of Crashed Stone. J. Southwest JiaoTong Univ. 2007, 42, 706–710. [Google Scholar] [CrossRef]
- Wu, E.; Zhu, J.; Yang, W.; Lu, Y. Experimental study of compaction characteristics of coarse-grained soil based on gradation equation. Rock Soil Mech. 2020, 41, 214–220. [Google Scholar] [CrossRef]
- Zhang, Q.; Liu, T.; Zhang, Z.; Huangfu, Z.; Li, Q.; An, Z. Compaction quality assessment of rockfill materials using roller-integrated acoustic wave detection technique. Autom. Constr. 2019, 97, 110–121. [Google Scholar] [CrossRef]
- Nagaraj, H.B.; Reesha, B.; Sravan, M.V.; Suresh, M.R. Correlation of compaction characteristics of natural soils with modified plastic limit. Transp. Geotech. 2015, 2, 65–77. [Google Scholar] [CrossRef]
- Kavussi, A.; Qorbaninik, M.; Hassani, A. The influence of moisture content and compaction level on LWD modulus of unbound granular base layers. Transp. Geotech. 2019, 20, 100252. [Google Scholar] [CrossRef]
- Yu, J.; Liu, S.; Wang, T.; Wei, H. Experimental research on compaction characteristics of gap-graded coarse-grained soils. Chin. J. Geotech. Eng. 2019, 41, 2142–2148. [Google Scholar] [CrossRef]
- Zhou, Z.; Wang, M.; Yu, Q. Mechanical behavior of unbound permeable aggregate base materials studied from large-scale direct shear tests. J. Railw. Sci. Eng. 2019, 16, 2175–2183. [Google Scholar] [CrossRef]
- Sánchez-Leal, F.J. Gradation chart for asphalt mixes, Development. J. Mater. Civ. Eng. 2007, 19, 185–197. [Google Scholar] [CrossRef]
- JTG D50–2017; Specifications for Design of Highway Asphalt Pavement. MOT, PRC: Beijing, China, 2017.
- Hao, Z. Research on the Vibratory Compaction Effect of Cement Stabilized Aggregate. Master’s Thesis, Chang’an University, Xi’an, China, 2013. [Google Scholar]
- Yang, Y.; Zhao, J.; Wang, L.; Liu, X. The influence of gradation characteristics on the filling standard of sand-gravel materials for dam construction. J. Hydraul. Eng. 2019, 50, 1374–1383. [Google Scholar] [CrossRef]
- Guo, Q. Engineering Application of Coarse-Grained Soil; The Yellow River Water Conservancy Press: Jinan, China, 2007. [Google Scholar]
- Li, J.; Zhou, Z.; Li, Y. Test and analysis of the relationship between natural frequency and compactness of subgrade soil. Trans. Chin. Soc. Agric. Eng. 2012, 28, 71–76. [Google Scholar]
- Zeng, T.; Jiang, L.; Huang, Q.; Li, A. Parameter control analysis of indoor surface vibration compaction test of coarse-grained soil. Sichuan Archit. 2018, 38, 114–116. [Google Scholar]
- Huang, Q. Experimental Study on Laboratory Surface Vibration Compaction Parameters and Soil Structure Type Analysis of Coarse-Grained Soils. Master’s Thesis, Southwest Jiaotong University, Chengdu, China, 2016. [Google Scholar]
- Marsal, R.J. Large Scale Testing of Rockfill Materials. J. Soil Mech. Found. Div. 1967, 18, 27–43. [Google Scholar] [CrossRef]
- Xu, H.; Hao, S.H.I.; Tan, Y. Investigation and Characterization of 3D Void Mesostrures in Asphalt Mixtures. China J. Highw. Transp. 2020, 33, 210–220. [Google Scholar]
- Tatsuoka, F.; Correia, A.G. Importance of controlling the degree of saturation in soil compaction linked to soil structure design. Transp. Geotech. 2018, 17, 3–23. [Google Scholar] [CrossRef]



















| G/S | Dmax (mm) | n | Cu | Cc |
|---|---|---|---|---|
| 1.0 | 26.5 | 0.32 | 270.22 | 3.55 |
| 1.6 | 26.5 | 0.51 | 29.09 | 1.97 |
| 1.8 | 26.5 | 0.56 | 23.64 | 2.08 |
| 2.0 | 26.5 | 0.61 | 18.09 | 1.90 |
| 2.5 | 26.5 | 0.71 | 11.63 | 1.63 |
| 1.6 M | 16 | 0.77 | 9.84 | 1.63 |
| G/S | Maximum Dry Density (g·cm−3) | Optimum Moisture Content (%) |
|---|---|---|
| 1.0 | 2.338 | 4.710 |
| 1.6 | 2.340 | 4.760 |
| 1.8 | 2.351 | 4.762 |
| 2.0 | 2.271 | 4.400 |
| 2.2 | 2.269 | 4.660 |
| 2.5 | 2.270 | 4.850 |
| 1.6 M | 2.325 | 4.450 |
| G/S | Vibration Force (kN) | Vibration Frequency (Hz) | Vibration Time (s) |
|---|---|---|---|
| 1.0/1.6/1.8/2.0/2.5 | 0.7 | 25 | 0/5/10/30/60/120 |
| 1.0/1.6/1.8/2.0/2.5/1.6 M | 1.4 | 18/21/25/30/35 | |
| 1.0/1.6/1.8/2.0/2.5 | 2.8 | 20/25/29 |
| G/S | Fo = 0.7 kN K/(%) | Fo = 1.4 kN K/(%) | Fo = 2.8 kN K/(%) | ||||||
|---|---|---|---|---|---|---|---|---|---|
| 25 Hz | 18 Hz | 21 Hz | 25 Hz | 30 Hz | 35 Hz | 20 Hz | 25 Hz | 29 Hz | |
| 1.0 | 89.15 | 82.01 | 88.06 | 95.06 | 94.90 | 93.02 | 94.52 | 96.23 | 95.19 |
| 1.6 | 93.16 | 86.02 | 88.73 | 96.58 | 96.51 | 94.19 | 95.09 | 96.77 | 95.86 |
| 1.8 | 94.10 | 87.63 | 89.15 | 96.91 | 96.06 | 94.48 | 95.85 | 97.94 | 96.46 |
| 2.0 | 89.77 | 82.26 | 88.66 | 96.56 | 96.46 | 94.36 | 96.68 | 98.36 | 96.29 |
| 2.5 | 88.87 | 79.33 | 86.29 | 96.37 | 95.12 | 92.79 | 96.28 | 97.37 | 94.54 |
| 1.6 M | NA | NA | 89.01 | 93.49 | 92.54 | 91.52 | NA | 97.20 | NA |
| Modified Proctor compaction | Moisture content/(%) | 3 | 4 | 4.5 | 5 | 6 |
| Dry density/(g·cm−3) | 2.27 | 2.34 | 2.34 | 2.30 | 2.27 | |
| Optimum moisture content/(%) | 5.03 | 5.03 | 5.03 | 5.03 | 5.03 | |
| Maximum dry density/(g·cm−3) | 2.22 | 2.22 | 2.22 | 2.22 | 2.22 | |
| Vibratory plate compaction | Moisture content/% | 2 | 4 | 5 | 6 | 7 |
| Dry density/(g·cm−3) | 2.12 | 2.20 | 2.33 | 2.32 | 2.26 | |
| Optimum moisture content/(%) | 5.03 | 5.03 | 5.03 | 5.03 | 5.03 | |
| Maximum dry density/(g·cm−3) | 2.22 | 2.22 | 2.22 | 2.22 | 2.22 |
Publisher’s Note: MDPI stays neutral with regard to jurisdictional claims in published maps and institutional affiliations. |
© 2022 by the authors. Licensee MDPI, Basel, Switzerland. This article is an open access article distributed under the terms and conditions of the Creative Commons Attribution (CC BY) license (https://creativecommons.org/licenses/by/4.0/).
Share and Cite
Chen, Y.; Yu, Q.; Li, W.; Xiao, Y.; Yang, T.; Li, Z.; Zhi, X.; Deng, P. Experimental Study on Vibratory Compaction Behavior of Tunneling Rock Wastes Used as Unbound Permeable Aggregate Base Materials. Materials 2022, 15, 8016. https://doi.org/10.3390/ma15228016
Chen Y, Yu Q, Li W, Xiao Y, Yang T, Li Z, Zhi X, Deng P. Experimental Study on Vibratory Compaction Behavior of Tunneling Rock Wastes Used as Unbound Permeable Aggregate Base Materials. Materials. 2022; 15(22):8016. https://doi.org/10.3390/ma15228016
Chicago/Turabian StyleChen, Yuliang, Qunding Yu, Wenqi Li, Yuanjie Xiao, Tao Yang, Zhiyong Li, Xiao Zhi, and Pin Deng. 2022. "Experimental Study on Vibratory Compaction Behavior of Tunneling Rock Wastes Used as Unbound Permeable Aggregate Base Materials" Materials 15, no. 22: 8016. https://doi.org/10.3390/ma15228016
APA StyleChen, Y., Yu, Q., Li, W., Xiao, Y., Yang, T., Li, Z., Zhi, X., & Deng, P. (2022). Experimental Study on Vibratory Compaction Behavior of Tunneling Rock Wastes Used as Unbound Permeable Aggregate Base Materials. Materials, 15(22), 8016. https://doi.org/10.3390/ma15228016

