Structure, Properties, and Corrosion Behavior of Ti-Rich TiZrNbTa Medium-Entropy Alloys with β+α″+α′ for Biomedical Application
Abstract
1. Introduction
2. Materials and Methods
2.1. Experimental Procedures
2.2. Thermodynamic Parameter Calculation
3. Results and Discussion
3.1. Phase Identification
3.1.1. X-ray Diffraction Analysis
3.1.2. Electron Backscatter Diffraction Analysis
3.2. Phase Identification
3.2.1. Optical Microscopy Analysis
3.2.2. Electron Probe Microanalysis
3.3. Mechanical Properties
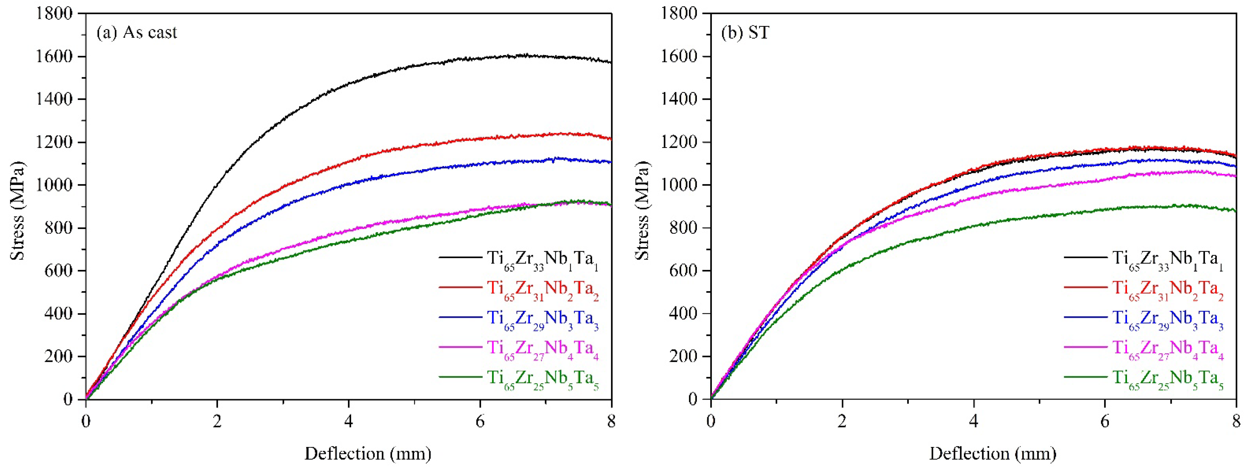
3.3.1. Bending Strength
3.3.2. Elastic Properties
3.3.3. Yield Strength–Elastic Modulus Ratios (×1000)
3.4. Corrosion Properties
3.4.1. Potentiodynamic Polarization Test
3.4.2. Scanning Electron Microscopy Analysis
3.4.3. X-ray Photoelectron Spectroscopy Analysis
4. Conclusions
Author Contributions
Funding
Institutional Review Board Statement
Informed Consent Statement
Data Availability Statement
Acknowledgments
Conflicts of Interest
References
- George, E.P.; Raabe, D.; Ritchie, R.O. High-entropy alloys. Nat. Rev. Mater. 2019, 4, 515–534. [Google Scholar] [CrossRef]
- Guo, S.; Ng, C.; Lu, J.; Liu, C.T. Effect of valence electron concentration on stability of fcc or bcc phase in high entropy alloys. J. Appl. Phys. 2011, 109, 103505. [Google Scholar] [CrossRef]
- Nguyen, V.T.; Qian, M.; Shi, Z.; Song, T.; Huang, L.; Zou, J. Compositional design of strong and ductile (tensile) Ti–Zr–Nb–Ta medium entropy alloys (MEAs) using the atomic mismatch approach. Mater. Sci. Eng. A 2019, 742, 762–772. [Google Scholar] [CrossRef]
- Nagase, T.; Mizuuchi, K.; Nakano, T. Solidification Microstructures of the Ingots Obtained by Arc Melting and Cold Crucible Levitation Melting in TiNbTaZr Medium-Entropy Alloy and TiNbTaZrX (X = V, Mo, W) High-Entropy Alloys. Entropy 2019, 21, 483. [Google Scholar] [CrossRef] [PubMed]
- Nagase, T.; Todai, M.; Nakano, T. Liquid Phase Separation in Ag-Co-Cr-Fe-Mn-Ni, Co Cr-Cu-Fe-Mn-Ni and Co-Cr-Cu-Fe-Mn-Ni-B High Entropy Alloys for Biomedical Application. Crystals 2020, 10, 527. [Google Scholar] [CrossRef]
- Song, H.; Lee, S.; Lee, K. Thermodynamic parameters, microstructure, and electrochemical properties of equiatomic TiMoVWCr and TiMoVNbZr high-entropy alloys prepared by vacuum arc remelting. Int. J. Refract. Hard. Met. 2021, 99, 105595. [Google Scholar] [CrossRef]
- Mustafi, L.; Nguyen, V.T.; Lu, S.L.; Song, T.; Murdoch, B.J.; Fabijanic, D.M.; Qian, M. Microstructure, tensile properties and deformation behaviour of a promising bio-applicable new Ti35Zr15Nb25Ta25 medium entropy alloy (MEA). Mater. Sci. Eng. A 2021, 824, 141805. [Google Scholar] [CrossRef]
- Arias-González, F.; Rodríguez-Contreras, A.; Punset, M.; Manero, J.M.; Barro, Ó.; Fernández-Arias, M.; Lusquiños, F.; Gil, J.; Pou, J. Laser-Deposited Beta Type Ti-42Nb Alloy with Anisotropic Mechanical Properties for Pioneering Biomedical Implants with a Very Low Elastic Modulus. Materials 2022, 15, 7172. [Google Scholar] [CrossRef]
- Guo, S.; Meng, Q.; Zhao, X.; Wei, Q.; Xu, H. Design and fabrication of a metastable β-type titanium alloy with ultralow elastic modulus and high strength. Sci. Rep. 2015, 5, 14688. [Google Scholar] [CrossRef]
- Kolli, R.P.; Devaraj, A. A Review of Metastable Beta Titanium Alloys. Metals 2018, 8, 506. [Google Scholar] [CrossRef]
- Nunes, A.R.V.; Borborema, S.; Araújo, L.S.; de Almeida, L.H.; Kaufman, M.J. Production of a Novel Biomedical β-Type Titanium Alloy Ti-23.6Nb-5.1Mo-6.7Zr with Low Young’s Modulus. Metals 2022, 12, 1588. [Google Scholar] [CrossRef]
- Sidhu, S.S.; Singh, H.; Gepreel, M.A. A review on alloy design, biological response, and strengthening of β-titanium alloys as biomaterials. Mater. Sci. Eng. C 2021, 121, 111661. [Google Scholar] [CrossRef] [PubMed]
- Wong, K.K.; Hsu, H.C.; Wu, S.C.; Ho, W.F. Novel Metastable Nonequiatomic Ti-Zr-Nb-Mo Medium-Entropy Alloys with High Yield-Strength-to-Elastic-Modulus Ratios. Met. Mater. Int. 2022, 868, 159137. [Google Scholar] [CrossRef]
- Liu, J.; Zhang, X.; Yuan, Z. Structures and properties of biocompatible Ti-Zr-Nb-Fe-Mo medium entropy alloys. Mater. Today Commun. 2022, 32, 103808. [Google Scholar] [CrossRef]
- You, L.; Song, X. A study of low Young′s modulus Ti–Nb–Zr alloys using d electrons alloy theory. Scr. Mater. 2012, 67, 57–60. [Google Scholar] [CrossRef]
- Fu, Y.; Xiao, W.; Wang, J.; Ren, L.; Zhao, X.; Ma, C. A novel strategy for developing α + β dual-phase titanium alloys with low Young’s modulus and high yield strength. J. Mater. Sci. Technol. 2021, 76, 122–128. [Google Scholar] [CrossRef]
- Tan, M.H.C.; Baghi, A.D.; Ghomashchi, R.; Xiao, W.; Oskouei, R.H. Effect of niobium content on the microstructure and Young’s modulus of Ti-xNb-7Zr alloys for medical implants. J. Mech. Behav. Biomed. Mater. 2019, 99, 78–85. [Google Scholar] [CrossRef] [PubMed]
- Chen, Y.; Du, Z.; Xiao, S.; Xu, L.; Tian, J. Effect of aging heat treatment on microstructure and tensile properties of a new β high strength titanium alloy. J. Alloys Compd. 2014, 586, 588–592. [Google Scholar] [CrossRef]
- ASTM E3-11; Standard Guide for Preparation of Metallographic Specimens. ASTM International: West Conshohocken, PA, USA, 2017.
- ASTM E407-07; Standard Practice for Microetching Metals and Alloys. ASTM International: West Conshohocken, PA, USA, 2015.
- White, T.D.; Folkens, P.A. The Human Bone Manual; Academic Press: Cambridge, MA, USA, 2005. [Google Scholar]
- Yang, P.F.; Sanno, M.; Ganse, B.; Koy, T.; Bruggemann, G.P.; Müller, L.P.; Rittweger, J. Torsion and Antero-Posterior Bending in the In Vivo Human Tibia Loading Regimes during Walking and Running. PLoS ONE 2014, 9, e94525. [Google Scholar] [CrossRef]
- ASTM E855-08; Standard Test Methods for Bend Testing of Metallic Flat Materials for Spring Applications Involving Static Loading. ASTM International: West Conshohocken, PA, USA, 2013.
- ASTM G5-14; Standard Reference Test Method for Making Potentiodynamic Anodic Polarization Measurements. ASTM International: West Conshohocken, PA, USA, 2014.
- Shi, Y.; Yang, B.; Xie, X.; Brechtl, J.; Dahmen, K.A.; Liaw, P.K. Corrosion of AlxCoCrFeNi high-entropy alloys: Al-content and potential scan-rate dependent pitting behavior. Corros. Sci. 2017, 119, 33–45. [Google Scholar] [CrossRef]
- Ikehata, H.; Nagasako, N.; Furuta, T.; Fukumoto, A.; Miwa, K.; Saito, T. First-principles calculations for development of low elastic modulus Ti alloys. Phys. Rev. B 2004, 70, 174113. [Google Scholar] [CrossRef]
- Yuan, Y.; Wu, Y.; Yang, Z.; Liang, X.; Lei, Z.; Huang, H.; Wang, H.; Liu, X.; An, K.; Wu, W.; et al. Formation, structure and properties of biocompatible TiZrHfNbTa high-entropy alloys. Mater. Res. Lett. 2019, 7, 225–231. [Google Scholar] [CrossRef]
- Ren, B.; Liu, Z.X.; Li, D.M.; Shi, L.; Cai, B.; Wang, M.X. Effect of elemental interaction on microstructure of CuCrFeNiMn high entropy alloy system. J. Alloys Compd. 2010, 493, 148–153. [Google Scholar] [CrossRef]
- Wong, K.K.; Hsu, H.C.; Wu, S.C.; Ho, W.F. Structure and properties of Ti-rich Ti–Zr–Nb–Mo medium-entropy alloys. J. Alloys Compd. 2021, 868, 159137. [Google Scholar] [CrossRef]
- Massa, W. Crystal Structure Determination; Springer: New York, NY, USA; Berlin/Heidelberg, Germany, 2004. [Google Scholar]
- Tang, B.; Kou, H.C.; Wang, Y.H.; Zhu, Z.S.; Zhang, F.S.; Li, J.S. Kinetics of orthorhombic martensite decomposition in TC21 alloy under isothermal conditions. J. Mater. Sci. 2012, 47, 521–529. [Google Scholar] [CrossRef]
- Jiang, X.J.; Jing, R.; Ma, M.Z.; Liu, R.P. The orthorhombic α″ martensite transformation during water quenching and its influence on mechanical properties of Ti-41Zr-7.3Al alloy. Intermetallics 2014, 52, 32–35. [Google Scholar] [CrossRef]
- Lu, J.W.; Ge, P.; Zhao, Y.Q.; Niu, H.Z. Structure and mechanical properties of Ti–6Al based alloys with Mo addition. Mater. Sci. Eng. A 2013, 584, 41–46. [Google Scholar] [CrossRef]
- Nguyen, V.T.; Qian, M.; Shi, Z.; Tran, X.Q.; Fabijanic, D.M.; Joseph, J.; Qu, D.D.; Matsumura, S.; Zhang, C.; Zhang, F.; et al. Cuboid-like nanostructure strengthened equiatomic Ti–Zr–Nb–Ta medium entropy alloy. Mater. Sci. Eng. A 2020, 798, 140169. [Google Scholar] [CrossRef]
- Hao, Y.L.; Li, S.J.; Sun, S.Y.; Yang, R. Effect of Zr and Sn on Young's modulus and superelasticity of Ti–Nb-based alloys. Mater. Sci. Eng. A 2006, 441, 112–118. [Google Scholar] [CrossRef]
- Chen, B.; Li, S.; Ding, J.; Ding, X.; Sun, J.; Ma, E. Correlating dislocation mobility with local lattice distortion in refractory multi-principal element alloys. Scr. Mater. 2023, 222, 115048. [Google Scholar] [CrossRef]
- Lee, H.C.; Chen, Y.J.; Chen, C.H. Effect of Solution Treatment on the Shape Memory Functions of (TiZrHf)50Ni25Co10Cu15 High Entropy Shape Memory Alloy. Entropy 2019, 21, 1027. [Google Scholar] [CrossRef]
- Çaha, I.; Alves, A.C.; Rocha, L.A.; Toptan, F. A review on bio-functionalization of β-Ti alloys. J. Bio Tribo Corros. 2020, 6, 1–31. [Google Scholar] [CrossRef]
- Eisenbarth, E.; Velten, D.; Muller, M.; Thull, R.; Breme, J. Biocompatibility of beta-stabilizing elements of titanium alloys. Biomaterials 2004, 25, 5705–5713. [Google Scholar] [CrossRef] [PubMed]
- Kirmanidou, Y.; Sidira, M.; Drosou, M.E.; Bennani, V.; Bakopoulou, A.; Tsouknidas, A.; Michailidis, N.; Michalakis, K. New Ti-Alloys and surface modifications to improve the mechanical properties and the biological response to orthopedic and dental implants: A review. Biomed. Res. Int. 2016, 2016, 2908570. [Google Scholar] [CrossRef]
- Hsu, H.C.; Wong, K.K.; Wu, S.C.; Chen, Y.X.; Ho, W.F. Metastable dual-phase Ti–Nb–Sn–Zr and Ti–Nb–Sn–Fe alloys with high strength-to-modulus ratio. Mater. Today Commun. 2022, 30, 103168. [Google Scholar] [CrossRef]
- Abdel-Hady, M.; Hinoshita, K.; Morinaga, M. General approach to phase stability and elastic properties of β-type Ti-alloys using electronic parameters. Scr. Mater. 2006, 55, 477–480. [Google Scholar] [CrossRef]
- Tane, M.; Akita, S.; Nakano, T.; Hagihara, K.; Umakoshi, Y.; Niinomi, M.; Morid, H.; Nakajima, H. Low Young’s modulus of Ti–Nb–Ta–Zr alloys caused by softening in shear moduli c′ and c44 near lower limit of body-centered cubic phase stability. Acta Mater. 2010, 58, 6790–6798. [Google Scholar] [CrossRef]
- Ho, W.F.; Ju, C.P.; Chern Lin, J.H. Structure and properties of cast binary Ti–Mo alloys. Biomaterials 1999, 20, 2115–2122. [Google Scholar] [CrossRef]
- Wang, S.P.; Xu, J. TiZrNbTaMo high-entropy alloy designed for orthopedic implants: As-cast microstructure and mechanical properties. Mater. Sci. Eng. C 2017, 73, 80–89. [Google Scholar] [CrossRef]
- Hao, Y.L.; Li, S.J.; Sun, S.Y.; Zheng, C.Y.; Hu, Q.M.; Yang, R. Super-elastic titanium alloy with unstable plastic deformation. Appl. Phys. Lett. 2005, 87, 091906. [Google Scholar] [CrossRef]
- Niinomi, M.; Hattori, T.; Morikawa, K.; Kasugam, T.; Suzuki, A.; Fukui, H.; Niwa, S. Development of Low Rigidity β-type Titanium Alloy for Biomedical Applications. Mater. Trans. 2002, 43, 2970–2977. [Google Scholar] [CrossRef]
- Hsu, H.C.; Wu, S.C.; Hsu, S.K.; Syu, J.Y.; Ho, W.F. The structure and mechanical properties of as-cast Ti–25Nb–xSn alloys for biomedical applications. Mater. Sci. Eng. A 2013, 568, 1–7. [Google Scholar] [CrossRef]
- Martins, D.Q.; Osório, W.R.; Souza, M.E.P.; Caram, R.; Garcia, A. Effects of Zr content on microstructure and corrosion resistance of Ti–30Nb–Zr casting alloys for biomedical applications. Electrochim. Acta. 2008, 53, 2809–2817. [Google Scholar] [CrossRef]
- Metiko¡-Huković, M.; Kwokal, A.; Piljac, J. The influence of niobium and vanadium on passivity of titanium-based implants in physiological solution. Biomaterials 2003, 24, 3765–3775. [Google Scholar] [CrossRef]
- Yu, S.Y.; Brodrick, C.W.; Ryan, M.P.; Scully, J.R. Effects of Nb and Zr alloying additions on the activation behavior of Ti in hydrochloric acid. J. Electrochem. Soc. 1999, 146, 4429–4438. [Google Scholar] [CrossRef]
- Tanaka, Y.; Nakai, M.; Akahori, T.; Niinomi, M.; Tsutsumi, Y.; Doi, H.; Hanawa, T. Characterization of air-formed surface oxide film on Ti–29Nb–13Ta–4.6Zr alloy surface using XPS and AES. Corros. Sci. 2008, 50, 2111–2116. [Google Scholar] [CrossRef]
- Guo, W.Y.; Sun, J.; Wu, J.S. Electrochemical and XPS studies of corrosion behavior of Ti–23Nb–0.7Ta–2Zr–O alloy in Ringer's solution. Mater. Chem. Phys. 2009, 113, 816–820. [Google Scholar] [CrossRef]












| MEAs | Ti (at%) | Zr (at%) | Nb (at%) | Ta (at%) | |
|---|---|---|---|---|---|
| Ti65Zr33Nb1Ta1 | Nominal | 65 | 33 | 1 | 1 |
| Actual | 65.41 ± 0.13 | 32.14 ± 0.12 | 1.22 ± 0.11 | 1.23 ± 0.14 | |
| Ti65Zr31Nb2Ta2 | Nominal | 65 | 31 | 2 | 2 |
| Actual | 65.62 ± 0.24 | 30.41 ± 0.21 | 2.03 ± 0.02 | 1.94 ± 0.04 | |
| Ti65Zr29Nb3Ta3 | Nominal | 65 | 29 | 3 | 3 |
| Actual | 65.79 ± 0.54 | 28.00 ± 0.38 | 3.11 ± 0.12 | 3.11 ± 0.21 | |
| Ti65Zr27Nb4Ta4 | Nominal | 65 | 27 | 4 | 4 |
| Actual | 65.75 ± 0.14 | 26.88 ± 0.31 | 3.95 ± 0.15 | 3.43 ± 0.16 | |
| Ti65Zr25Nb5Ta5 | Nominal | 65 | 25 | 5 | 5 |
| Actual | 65.87 ± 0.39 | 24.34 ± 0.58 | 4.75 ± 0.18 | 5.04 ± 0.38 |
| MEAs | ΔSmix (J/K·mol) | ΔHmix (KJ/mol) | δ | TL (°C) | Ω | VEC |
|---|---|---|---|---|---|---|
| Ti65Zr33Nb1Ta1 | 0.73R | 0.17 | 4.05 | 1764 | 63.53 | 4.02 |
| Ti65Zr31Nb2Ta2 | 0.80R | 0.33 | 4.00 | 1782 | 35.94 | 4.04 |
| Ti65Zr29Nb3Ta3 | 0.85R | 0.48 | 3.94 | 1800 | 26.62 | 4.06 |
| Ti65Zr27Nb4Ta4 | 0.89R | 0.61 | 3.87 | 1818 | 21.92 | 4.08 |
| Ti65Zr25Nb5Ta5 | 0.93R | 0.74 | 3.79 | 1835 | 19.10 | 4.1 |
| Greek Letters and Symbols | Common Interpretation |
|---|---|
| ΔSmix | Mixing entropy |
| ΔHmix | Mixing enthalpy |
| δ | Difference in atomic radius of alloying elements |
| TL | Melting point |
| Ω | |
| β | Body-centered cubic structure |
| α″ | Orthorhombic structure |
| α′ | Hexagonal closest packed structure |
| σy | Yield strength |
| MEAs | Ecorr (V) | Icorr (μA/cm2) | Epass (V) | Ipass (μA/cm2) |
|---|---|---|---|---|
| Ti65Zr33Nb1Ta1 | 0.128 | 0.0414 | 0.435 | 1.343 |
| Ti65Zr29Nb3Ta3 | −0.026 | 0.0116 | 0.364 | 0.856 |
| Ti65Zr25Nb5Ta5 | −0.030 | 0.0150 | 0.378 | 2.322 |
Publisher’s Note: MDPI stays neutral with regard to jurisdictional claims in published maps and institutional affiliations. |
© 2022 by the authors. Licensee MDPI, Basel, Switzerland. This article is an open access article distributed under the terms and conditions of the Creative Commons Attribution (CC BY) license (https://creativecommons.org/licenses/by/4.0/).
Share and Cite
Wong, K.-K.; Hsu, H.-C.; Wu, S.-C.; Hung, T.-L.; Ho, W.-F. Structure, Properties, and Corrosion Behavior of Ti-Rich TiZrNbTa Medium-Entropy Alloys with β+α″+α′ for Biomedical Application. Materials 2022, 15, 7953. https://doi.org/10.3390/ma15227953
Wong K-K, Hsu H-C, Wu S-C, Hung T-L, Ho W-F. Structure, Properties, and Corrosion Behavior of Ti-Rich TiZrNbTa Medium-Entropy Alloys with β+α″+α′ for Biomedical Application. Materials. 2022; 15(22):7953. https://doi.org/10.3390/ma15227953
Chicago/Turabian StyleWong, Ka-Kin, Hsueh-Chuan Hsu, Shih-Ching Wu, Tun-Li Hung, and Wen-Fu Ho. 2022. "Structure, Properties, and Corrosion Behavior of Ti-Rich TiZrNbTa Medium-Entropy Alloys with β+α″+α′ for Biomedical Application" Materials 15, no. 22: 7953. https://doi.org/10.3390/ma15227953
APA StyleWong, K.-K., Hsu, H.-C., Wu, S.-C., Hung, T.-L., & Ho, W.-F. (2022). Structure, Properties, and Corrosion Behavior of Ti-Rich TiZrNbTa Medium-Entropy Alloys with β+α″+α′ for Biomedical Application. Materials, 15(22), 7953. https://doi.org/10.3390/ma15227953

