A Study on the Effect of Graphene in Enhancing the Electrochemical Properties of SnO2-Fe2O3 Anode Materials
Abstract
1. Introduction
2. Experiment
2.1. Preparation of Anode Materials
2.2. Electrode Sheet Preparation
2.3. The Battery Assembly
2.4. Characterizations
2.5. Electrochemical Performance Test
3. Results and Discussion
3.1. Microstructure Morphology and Specific Surface Area
3.2. Phase Composition Analysis
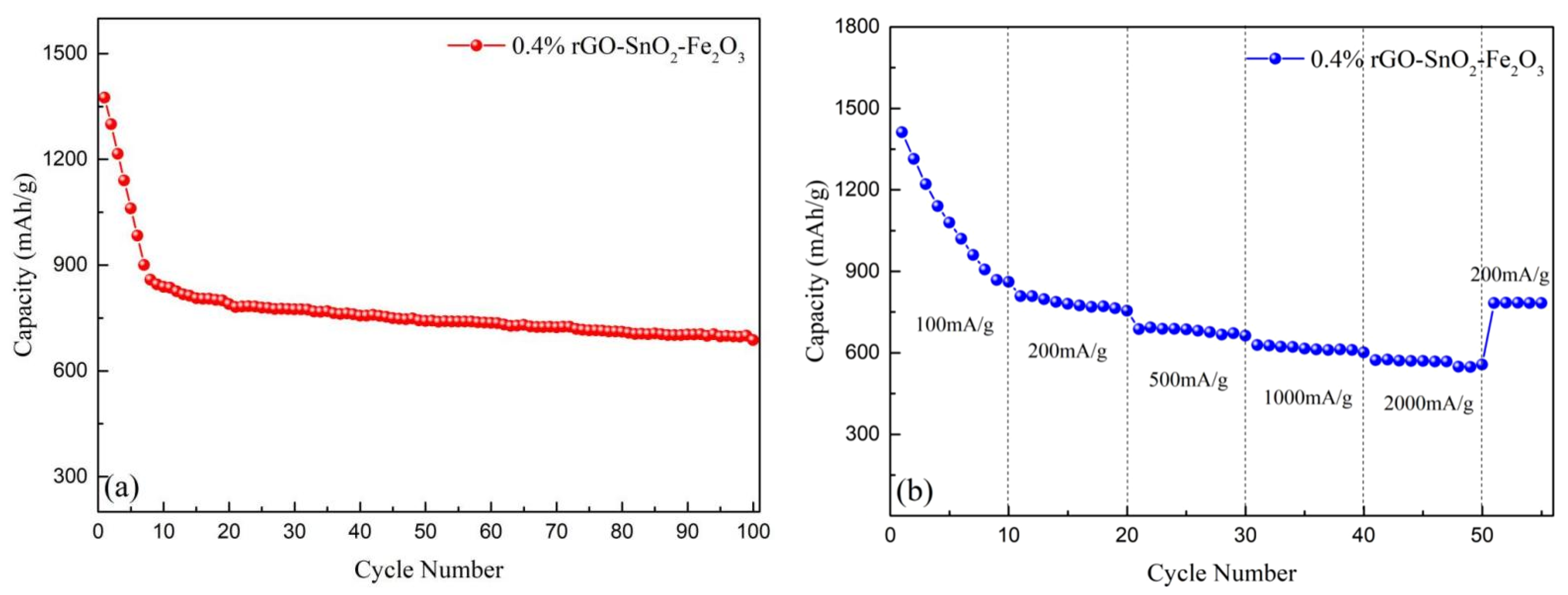
3.3. Cyclic Performance Analysis
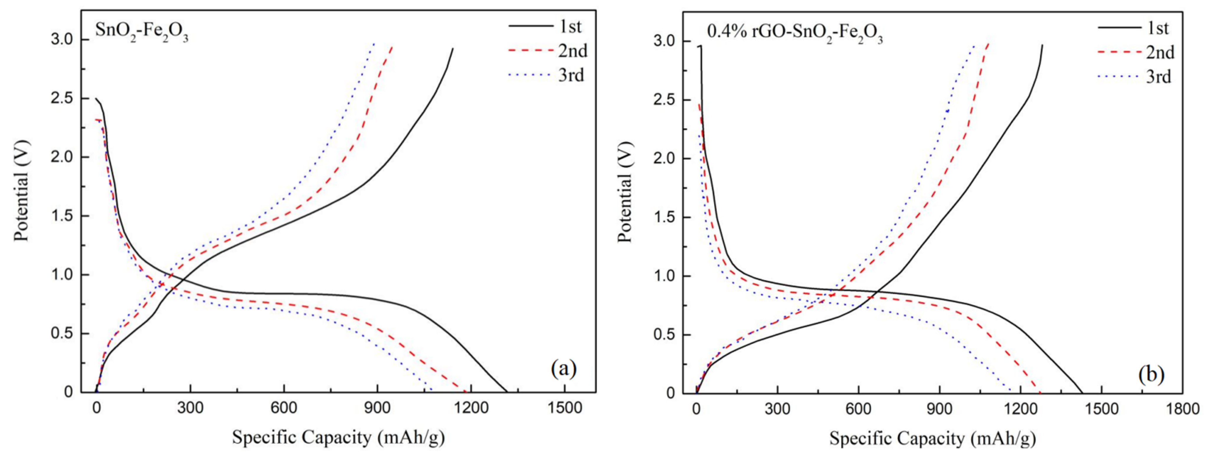
3.4. Charge and Discharge Curve Analysis
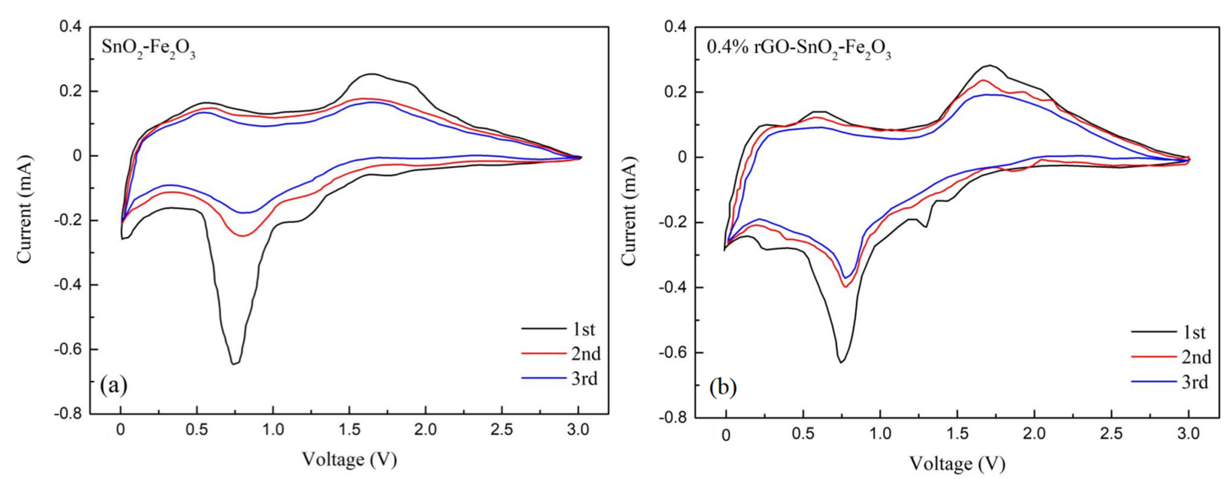
3.5. Cyclic Voltammetry Curve Analysis
3.6. AC Impedance Analysis
4. Conclusions
Author Contributions
Funding
Institutional Review Board Statement
Informed Consent Statement
Data Availability Statement
Conflicts of Interest
References
- Zardkhoshoui, A.M.; Bahareh, A.; Davarani, S.S.H. Fabrication of hollow MnFe2O4 nanocubes assembled by CoS2 nanosheets for hybrid supercapacitors. Chem. Eng. J. 2022, 435, 135170. [Google Scholar] [CrossRef]
- Zardkhoshoui, A.M.; Bahareh, A.; Davarani, S.S.H. α-MnS@Co3S4 hollow nanospheres assembled from nanosheets for hybridsupercapacitors. Chem. Eng. J. 2021, 422, 129953. [Google Scholar] [CrossRef]
- Zardkhoshoui, A.M.; Davarani, S.S.H. Construction of complex copper-cobalt selenide hollow structures as an attractive battery-type electrode material for hybrid supercapacitors. Chem. Eng. J. 2020, 402, 126241. [Google Scholar] [CrossRef]
- Chen, Y.; Liang, J.; Tian, Q.; Zhang, W.; Sui, Z. Facile construction of clustered Fe2O3/TiO2 composite for improved lithium storage performance. Synth. Met. 2020, 263, 116353. [Google Scholar] [CrossRef]
- Zhang, Z.; Liang, J.; Zhang, X.; Yang, W.; Dong, X.; Jung, Y. Dominant pseudocapacitive lithium storage in the carbon-coated ferric oxide nanoparticles (Fe2O3@C) towards anode materials for lithium-ion batteries. Int. J. Hydr. Energy 2020, 45, 8186–8197. [Google Scholar] [CrossRef]
- Zuniga, L.; Gonzalez, G.; Orrostieta Chavez, R.; Myers, J.C.; Lodge, T.P.; Alcoutlabi, M. Centrifugally spun α-Fe2O3/TiO2/carbon composite fibers as anode materials for lithium-ion batteries. Appl. Sci. 2019, 9, 403211–403217. [Google Scholar] [CrossRef]
- Zardkhoshoui, A.M.; Bahareh, A.; Davarani, S.S.H. A high-energy-density supercapacitor with multi-shelled nickel-manganese selenide hollow spheres as cathode and double-shell nickel-iron selenide hollow spheres as anode electrodes. Nanoscale 2021, 13, 2931–2945. [Google Scholar] [CrossRef]
- Zardkhoshoui, A.M.; Davarani, S.S.H. Boosting the energy density of supercapacitors by encapsulating a multi-shelled zinc-cobalt-selenide hollow nanosphere cathode and a yolk-double shell cobalt-iron-selenide hollow nanosphere anode in a graphene network. Nanoscale 2020, 12, 12476–12489. [Google Scholar] [CrossRef]
- Zardkhoshoui, A.M.; Davarani, S.S.H.; Ashtiani, M.M.; Sarparast, M. Designing an asymmetric device based on graphene wrapped yolk-double shell NiGa2S4 hollow microspheres and graphene wrapped FeS2-FeSe2 core-shell cratered spheres with outstanding energy density. J. Mater. Chem. A 2019, 7, 10282–10292. [Google Scholar] [CrossRef]
- Asakura, D.; Nanba, Y.; Okubo, M.; Niwa, H.; Kiuchi, H.; Miyawaki, J.; Oshima, M.; Hosono, E.; Harada, Y. Operando soft X-ray emission spectroscopy of the Fe2O3 anode to observe the conversion reaction. Phys. Chem. Chem. Phys. 2019, 21, 26351–26357. [Google Scholar] [CrossRef]
- Chen, J.S.; Zhu, T.; Yang, X.H.; Yang, H.G.; Lou, X.W. Top-down fabrication of α-Fe2O3 single-crystal nanodiscs and microparticles with tunable porosity for largely improved lithium storage properties. J. Am. Chem. Soc. 2010, 132, 13162–13164. [Google Scholar] [CrossRef]
- Reddy, M.V.; Yu, T.; Sow, C.H.; Shen, Z.X.; Lim, C.T.; Subba Rao, G.V.; Chowdari, B.V.R. α-Fe2O3 nanoflakes as an anode material for Li-ion batteries. Adv. Funct. Mater. 2007, 17, 2792–2799. [Google Scholar] [CrossRef]
- Zhang, B.; Huang, Z.D.; Oh, S.W.; Kim, J.K. Improved rate capability of carbon coated Li3.9Sn0.1Ti5O12 porous electrodes for Li-ion batteries. J. Power Sources 2011, 196, 10692–10697. [Google Scholar] [CrossRef]
- Wu, M.S.; Ou, Y.H.; Lin, Y.P. Iron oxide nanosheets and nanoparticles synthesized by a facile single-step coprecipitation method for lithium-ion batteries. J. Electrochem. Soc. 2011, 158, 231–236. [Google Scholar] [CrossRef]
- Tian, L.L.; Zhang, M.J.; Wu, C.; Wei, Y.; Zheng, J.X.; Lin, L.P.; Lu, J.; Amine, K.; Zhuang, Q.C.; Pan, F. γ-Fe2O3 nanocrystalline microspheres with hybrid behavior of battery-supercapacitor for superior lithium storage. ACS Appl. Mater. Interfaces 2015, 7, 26284–26290. [Google Scholar] [CrossRef]
- Bahareh, A.; Zardkhoshoui, A.M.; Davarani, S.S.H. An advanced hybrid supercapacitor constructed from rugby-ball-like NiCo2Se4 yolk-shell nanostructures. Mater. Chem. Front. 2021, 5, 4725–4738. [Google Scholar]
- Zardkhoshoui, A.M.; Davarani, S.S.H. Formation of graphene-wrapped multi-shelled NiGa2O4 hollow spheres and graphene-wrapped yolk-shell NiFe2O4 hollow spheres derived from metal-organic frameworks for high-performance hybrid supercapacitors. Nanoscale 2020, 12, 1643–1656. [Google Scholar] [CrossRef]
- Pan, Y.; Yin, L.; Li, M. Submicron-sized α-Fe2O3 single crystals as anodes for high-performance lithium-ion batteries. Ceram. Int. 2019, 45, 12072–12079. [Google Scholar] [CrossRef]
- Cui, Z.; Sun, M.; Liu, H.; Li, S.; Zhang, Q.; Yang, C.; Liu, G.; Zhong, J.; Wang, Y. Double-shell SnO2@Fe2O3 hollow spheres as a high-performance anode material for lithium-ion batteries. CrystEngComm 2020, 22, 1197–1208. [Google Scholar] [CrossRef]
- Chai, X.; Shi, C.; Liu, E.; Li, J.; Zhao, N.; He, C. Carbon-coated Fe2O3 nanocrystals with enhanced lithium storage capability. Appl. Surf. Sci. 2015, 347, 178–185. [Google Scholar] [CrossRef]
- Lv, X.; Deng, J.; Wang, J.; Zhong, J.; Sun, X. Carbon-coated α-Fe2O3 nanostructures for efficient anode of Li-ion battery. J. Mater. Chem. A 2015, 3, 5183–5188. [Google Scholar] [CrossRef]
- Zardkhoshoui, A.M.; Davarani, S.S.H.; Ashtiani, M.M.; Sarparast, M. High-Performance Energy Storage Device Based on Triple-Shelled Cobalt Gallium Oxide Hollow Spheres and Graphene Wrapped Copper Iron Disulfide Porous Spheres. ACS Sustain. Chem. Eng. 2019, 7, 7908–7917. [Google Scholar] [CrossRef]
- Zardkhoshoui, A.M.; Ashtiani, M.M.; Sarparast, M.; Davarani, S.S.H. Enhanced the energy density of supercapacitors via rose-like nanoporous ZnGa2S4 hollow spheres cathode and yolk-shell FeP hollow spheres Anode. J. Power Sources 2020, 450, 227691. [Google Scholar] [CrossRef]
- Bahareh, A.; Zardkhoshoui, A.M.; Davarani, S.S.H. Engineering of hierarchical NiCoSe2@NiMn-LDH core-shell nanostructures as a high-performance positive electrode material for hybrid supercapacitors. Sustain. Energy Fuels 2020, 4, 5144–5155. [Google Scholar]
- Prekodravac, J.R.; Kepić, D.P.; Colmenares, J.C.; Giannakoudakis, D.A.; Jovanović, S.P. A comprehensive review on selected graphene synthesis methods: From electrochemical exfoliation through rapid thermal annealing towards biomass pyrolysis. J. Mater. Chem. C 2021, 9, 6722–6748. [Google Scholar] [CrossRef]
- Kamedulski, P.; Lukaszewicz, J.P.; Witczak, L.; Szroeder, P.; Ziolkowski, P. The Importance of Structural Factors for the Electrochemical Performance of Graphene/Carbon Nanotube/Melamine Powders towards the Catalytic Activity of Oxygen Reduction Reaction. Materials 2021, 14, 2448. [Google Scholar] [CrossRef]
- Lee, C.; Wei, X.; Kysar, J.W.; Hone, J. Measurement of the elastic properties and intrinsic strength of monolayer graphene. Science 2008, 321, 385–388. [Google Scholar] [CrossRef]
- Hu, H.; Zhao, Z.; Wan, W.; Gogotsi, Y.; Qiu, J. Ultralight and highly compressible graphene aerogels. Adv. Mater. 2013, 25, 2219–2223. [Google Scholar] [CrossRef]
- Zardkhoshoui, A.M.; Davarani, S.S.H. A rational design of nanoporous Cu-Co-Ni-P nanotube arrays and CoFe2Se4 nanosheet arrays for flexible solid-state asymmetric devices. Dalton Trans. 2020, 49, 10028–10041. [Google Scholar] [CrossRef]
- Zardkhoshoui, A.M.; Davarani, S.S.H. Ultra-high energy density supercapacitors based on metal-organic framework derived yolk-shell Cu-Co-P hollow nanospheres and CuFeS2 nanosheet arrays. Dalton Trans. 2020, 49, 3353–3364. [Google Scholar] [CrossRef]
- Zhen, Y.X.; Arbizzani, C.; Ortolani, L.; Morandi, V.; Bellani, V.; Giambastiani, G. High yield pro-duction of graphene-Fe2O3 nano-composites via electrochemical intercalation of nitromethane and iron chloride, and their application in lithium storage. FlatChem 2017, 3, 8–15. [Google Scholar]
- Zardkhoshoui, A.M.; Davarani, S.S.H.; Asgharinezhad, A.A. Designing graphene-wrapped NiCo2Se4 microspheres with petal-like FeS2 toward flexible asymmetric all-solid-state supercapacitors. Dalton Trans. 2019, 48, 4274–4282. [Google Scholar] [CrossRef]
- Dreyer, D.R.; Ruoff, R.S.; Bielawski, C.W. From conception to realization: An historial account of graphene and some perspectives for its future. Angew. Chem. Int. Ed. 2010, 49, 9336–9344. [Google Scholar] [CrossRef]
- Cai, D.; Li, D.; Wang, S.; Zhu, X.; Yang, W.; Zhang, S.; Wang, H. High rate capability of TiO2/nitrogen-doped graphene nanocomposite as an anode material for lithium–ion batteries. J. Alloys Comp. 2013, 561, 54–58. [Google Scholar] [CrossRef]
- Heenen, H.H.; Shin, H.; Kastlunger, G.; Overa, S.; Gauthier, J.A.; Jiao, F.; Chan, K. The mechanism for acetate formation in electrochemical CO(2) reduction on Cu: Selectivity with potential, pH, and nanostructuring. Energy Environ. Sci. 2022, 15, 3978–3990. [Google Scholar] [CrossRef]
- Zhou, G.-W.; Wang, J.; Gao, P.; Yang, X.; He, Y.-S.; Liao, X.-Z.; Yang, J.; Ma, Z.-F. Facile spray drying route for the three-dimensional graphene-encapsulated Fe2O3 nanoparticles for lithium ion battery anodes. Ind. Eng. Chem. Res. 2013, 52, 1197–1204. [Google Scholar] [CrossRef]
- Qin, G.; Ding, L.; Zeng, M.; Zhang, K.; Zhang, Y.; Bai, Y.; Wen, J.; Li, J. Mesoporous Fe2O3/N-doped graphene composite as an anode material for lithium ion batteries with greatly enhanced electrochemical performance. J. Electroanal. Chem. 2020, 866, 114176. [Google Scholar] [CrossRef]
- Yang, S.; Feng, X.; Ivanovici, S.; Müllen, K. Fabrication of graphene-encapsulated oxide nanoparticles: Towards high-performance anode materials for lithium storage. Angew. Chem. Int. Ed. 2010, 49, 8408–8411. [Google Scholar] [CrossRef]
- Lian, P.; Zhu, X.; Liang, S.; Li, Z.; Yang, W.; Wang, H. High reversible capacity of SnO2/graphene nanocomposite as an anodematerial for lithium-ion batteries. Electrochim. Acta 2011, 56, 4532–4539. [Google Scholar] [CrossRef]
- Zhou, X.; Zou, Y.; Yang, J. Periodic structures of Sn self-inserted between graphene interlayers as anodes for Li-ion battery. J. Power Sources 2014, 253, 287–293. [Google Scholar] [CrossRef]
- Cao, J.; Zhang, D.-D.; Chanajaree, R.; Yue, Y.-L.; Zeng, Z.-Y.; Zhang, X.-Y.; Qin, J.-Q. Stabilizing zinc anode via a chelation and desolvation electrolyte additive. Adv. Powder Mater. 2022, 1, 100007. [Google Scholar] [CrossRef]
- Bahareh, A.; Zardkhoshoui, A.M.; Davarani, S.S.H. Metal-organic-framework derived hollow manganese nickel selenide spheres confined with nanosheets on nickel foam for hybrid supercapacitors. Dalton Trans. 2021, 50, 8372–8384. [Google Scholar]
- Zhang, D.-D.; Cao, J.; Zhang, X.-Y.; Insin, N.; Liu, R.-P.; Qin, J.-Q. NiMn Layered Double Hydroxide Nanosheets In-situ Anchored on Ti3C2 MXene via Chemical Bonds for Superior Supercapacitors. ACS Appl. Energy Mater. 2020, 3, 5949–5964. [Google Scholar] [CrossRef]
- Zhang, D.-D.; Cao, J.; Zhang, X.-Y.; Insin, N.; Wang, S.-M.; Zhao, Y.-S.; Qin, J.-Q. NiMn-Layered Double Hydroxides Chemically Anchored on Ti3C2 MXene for Superior Lithium Ion Storage. ACS Appl. Energy Mater. 2020, 3, 11119–11130. [Google Scholar] [CrossRef]
- Wang, X.; Lv, L.; Cheng, Z.; Gao, J.; Dong, L.; Hu, C.; Qu, L. High-Density Monolith of N-Doped Holey Graphene for Ultrahigh Volumetric Capacity of Li-Ion Batteries. Adv. Energy Mater. 2016, 6, 1502100–1502106. [Google Scholar] [CrossRef]
- Hu, X.; Zeng, G.; Chen, J.; Lu, C.; Wen, Z. 3D graphene network encapsulating SnO2 hollow spheres as a high-performance anode material for lithium-ion batteries. J. Mater. Chem. A 2017, 5, 4535–4542. [Google Scholar] [CrossRef]
- Li, Z.; Mao, Y.; Tian, Q.; Zhang, W.; Yang, L. Extremely facile preparation of high-performance Fe2O3 anode for lithium-ion batteries. J. Alloys Comp. 2019, 784, 125–133. [Google Scholar] [CrossRef]
- Yang, L.; Wu, Y.; Wu, Y.; Younas, W.; Jia, J.; Cao, C. Hierarchical flower-like Fe2O3 mesoporous nanosheets with superior electrochemical lithium storage performance. J. Energy Storage 2019, 23, 363–370. [Google Scholar] [CrossRef]
- Amiri, M.; Zardkhoshoui, A.M.; Davarani, S.S.H.; Maghsoudi, M.; Altafi, M.K. A high-performance hybrid supercapacitor by encapsulating binder-less FeCoSe2 nanosheets@NiCoSe2 nanoflowers in a graphene network. Sustain. Energy Fuels 2022, 6, 3626–3642. [Google Scholar] [CrossRef]
- Cao, J.; Zhang, D.-D.; Yue, Y.-L.; Chanajaree, R.; Wang, S.-M.; Han, J.-T.; Zhang, X.-Y.; Qin, J.-Q.; Huang, Y.-H. Regulating solvation structure to stabilize zinc anode by fastening the free water molecules with an inorganic colloidal electrolyte. Nano Energy 2022, 93, 106839. [Google Scholar] [CrossRef]
- Cao, S.-J.; Xue, Z.; Yang, C.-W.; Qin, J.-Q.; Zhang, L.; Yu, P.-F.; Wang, S.-M.; Zhao, Y.-S.; Zhang, X.-Y.; Liu, R.-P. Insights into the Li+ storage mechanism of TiC@C-TiO2 core-shell nanostructures as high performance anodes. Nano Energy 2018, 50, 25–34. [Google Scholar] [CrossRef]
- Li, B.; Gu, P.; Zhang, G.; Lu, Y.; Huang, K.; Xue, H.; Pang, H. Ultrathin Nanosheet Assembled Sn0.91Co0.19S2 Nanocages with Exposed (100) Facets for High-Performance Lithium-Ion Batteries. Small 2018, 14, 725–734. [Google Scholar]
- Poizot, P.; Laruelle, S.; Grugeon, S.; Dupont, L.; Tarascon, J.M. Nano-sized transition-metal oxides as negative-electrode materials for lithium-ion batteries. Nature 2000, 407, 496–499. [Google Scholar] [CrossRef]
- Li, C.-Y.; Qin, J.-Q.; Sawangphruk, M.; Zhang, X.-Y.; Liu, R.-P. Rational design and synthesis of SiC/TiC@SiOx/TiO2 porous core-shell nanostructure with excellent Li-ion storage performance. Chem. Commun. 2018, 54, 12622–12625. [Google Scholar] [CrossRef]
- Tomasetti, C.; Vogelstein, B. Variation in cancer risk among tissues can be explained by the number of stem cell. Science 2015, 347, 78–81. [Google Scholar] [CrossRef]
- Zhang, J.; Yu, A. Nanostructured transition metal oxides as advanced anodes for lithium-ion batteries. Sci. Bull. 2015, 60, 823–838. [Google Scholar] [CrossRef]
- Zhou, W.; Cheng, C.; Liu, J.; Tay, Y.Y.; Jiang, J.; Jia, X.; Zhang, J.; Gong, H.; Hng, H.H.; Yu, T. Epitaxial growth of branched α-Fe2O3/SnO2 nano-heterostructures with improved lithium-ion battery performance. Adv. Funct. Mater. 2011, 21, 2439–2445. [Google Scholar] [CrossRef]
- Yuan, S.; Zhou, Z.; Li, G. Structural evolution from mesoporous α-Fe2O3 to Fe3O4@ C and γ-Fe2O3 nanospheres and their lithium storage performances. CrystEngComm 2011, 13, 4709–4713. [Google Scholar] [CrossRef]







| Samples | SnO2-Fe2O3 | 0.2%rGO- SnO2-Fe2O3 | 0.4%rGO- SnO2-Fe2O3 | 0.6%rGO- SnO2-Fe2O3 | 0.8%rGO- SnO2-Fe2O3 |
|---|---|---|---|---|---|
| SBET(m2/g) | 145.43 | 183.67 | 223.19 | 216.99 | 204.33 |
Publisher’s Note: MDPI stays neutral with regard to jurisdictional claims in published maps and institutional affiliations. |
© 2022 by the authors. Licensee MDPI, Basel, Switzerland. This article is an open access article distributed under the terms and conditions of the Creative Commons Attribution (CC BY) license (https://creativecommons.org/licenses/by/4.0/).
Share and Cite
Zhu, G.; Gao, B.; Zhang, Y.; Shi, Z.; Li, Z.; Tu, G. A Study on the Effect of Graphene in Enhancing the Electrochemical Properties of SnO2-Fe2O3 Anode Materials. Materials 2022, 15, 7947. https://doi.org/10.3390/ma15227947
Zhu G, Gao B, Zhang Y, Shi Z, Li Z, Tu G. A Study on the Effect of Graphene in Enhancing the Electrochemical Properties of SnO2-Fe2O3 Anode Materials. Materials. 2022; 15(22):7947. https://doi.org/10.3390/ma15227947
Chicago/Turabian StyleZhu, Guanglin, Bo Gao, Ying Zhang, Zeyuan Shi, Zongbin Li, and Ganfeng Tu. 2022. "A Study on the Effect of Graphene in Enhancing the Electrochemical Properties of SnO2-Fe2O3 Anode Materials" Materials 15, no. 22: 7947. https://doi.org/10.3390/ma15227947
APA StyleZhu, G., Gao, B., Zhang, Y., Shi, Z., Li, Z., & Tu, G. (2022). A Study on the Effect of Graphene in Enhancing the Electrochemical Properties of SnO2-Fe2O3 Anode Materials. Materials, 15(22), 7947. https://doi.org/10.3390/ma15227947

