Full-Scale Measurements of Translational and Torsional Dynamics Characteristics of a High-Rise Building during Typhoon Sarika
Abstract
:1. Introduction
2. Full-Scale Measurement Program
2.1. Typhoon Sarika
2.2. Description of the Measured Building
2.3. Introduction of Measuring Instruments and Measuring Point Scheme
3. Dynamic Acceleration Response of the Measured Building
3.1. Translational Acceleration Response
3.2. Torsional Angular Acceleration
3.3. Frequency-Domain Characteristics of Translational and Torsional Dynamic Response
4. Modal Parameter Identifications
5. Amplitude-Dependent Modal Frequency
5.1. Sample Selection
5.2. Modal Frequencies under Different Acceleration Amplitudes
5.3. Comparison of Mode Shape of the Measured High-Rise Building under Different Wind Speeds
6. Conclusions
- (1)
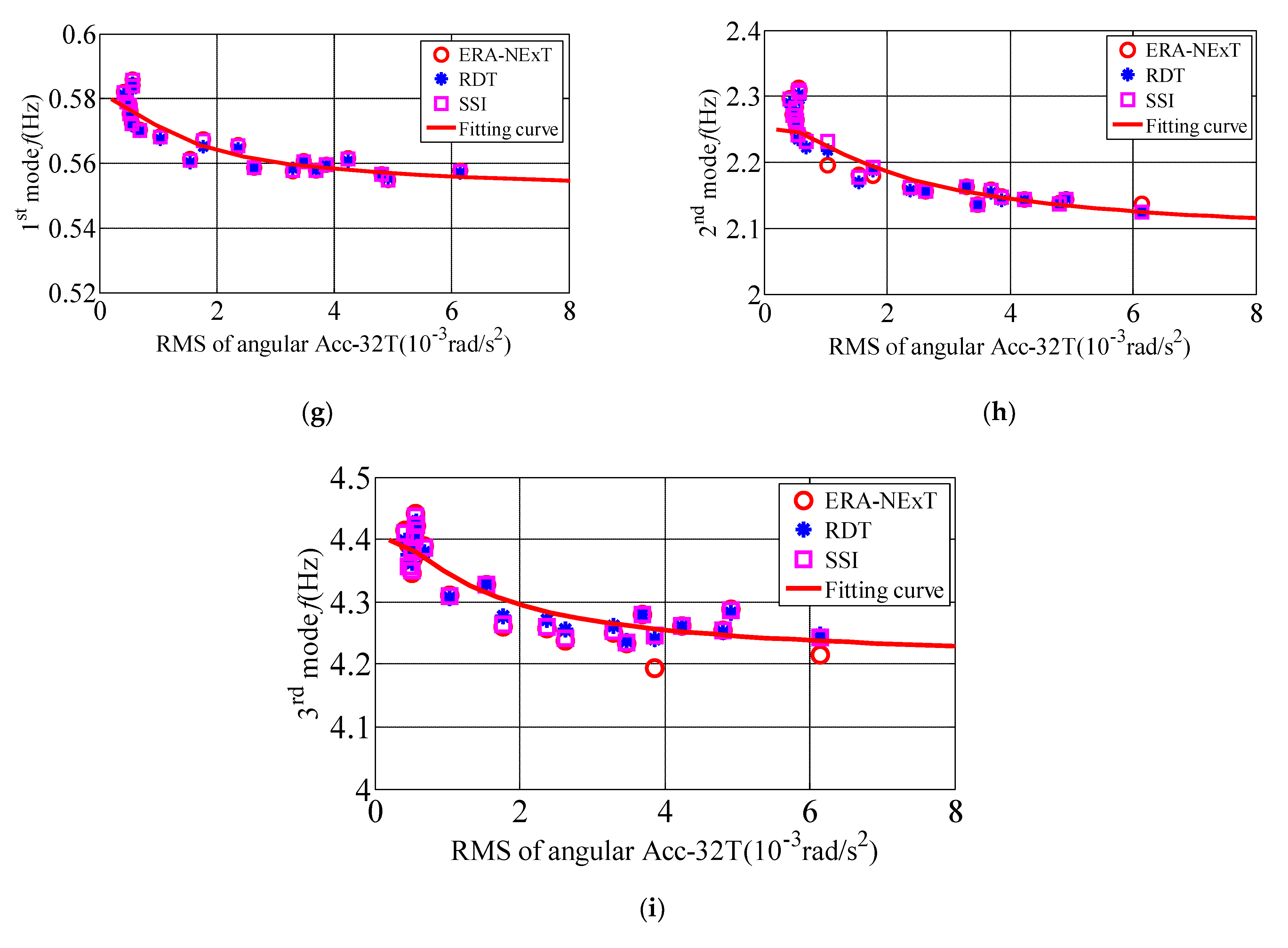
 - The root-mean-square of accelerations and peak values along both the longitudinal, lateral and torsional directions vary in an increasing power function with the increasing wind sped. The peak value of the self-power spectrum corresponding to the mode frequency of the y-axis (weak-axis along cross-wind direction) is obviously larger than that of the x-axis (strong-axis along-wind direction) self-power spectrum, which indicates that the magnitude of the acceleration is related to the energy of the vibration direction, and the dynamic response of cross-wind direction under typhoon action can be greater than that along-wind direction under certain conditions. The peak values of Auto-power spectral density (APSDF) corresponding to the first three modal frequency of translational and torsional directions increase significantly with the wind speed increases during the passage of typhoons, especially the peak values of APSDF at the first modal frequency. This indicates that the first mode is the dominant mode under typhoon action. The frequencies corresponding to the peak values of APSDF under the ambient excitations is obviously bigger than that under the action of strong wind, this phenomenon shows the translational and torsional amplitude-dependent modal frequency of first three orders decrease significantly with the wind speed increases.
 - (2)
 - The measured modal frequencies of longitudinal, lateral and torsional directions are closely related to the acceleration amplitude of the measured high-rise building. When the RMS of translational accelerations are less than 5 mm/s2 at the top floor, the modal frequencies of x and y axes of the measured high-rise building decrease relatively large. When the RMS of translational accelerations are greater than 5 mm/s2, the frequency reduction rate reduces after reaching a critical amplitude. When the RMS of torsional angular accelerations are less than 2 × 10−3 rad/s2 at the top floor, the torsional modal frequencies of the measured high-rise building decrease relatively large. When the RMS of torsional angular accelerations are greater than 2 × 10−3 rad/s2, the torsional modal frequency reduction rate reduces after reaching a critical amplitude. The first three modal frequencies reduces 7%, 9%, 7% in sequence along x-axis, and 7%, 9%, 6% in sequence along y-axis, and 7%, 9%, 6% in sequence along torsional direction when the translational and torsional acceleration amplitude reaches a maximum value.
 
Author Contributions
Funding
Institutional Review Board Statement
Informed Consent Statement
Data Availability Statement
Conflicts of Interest
References
- Li, Z.; Hu, J.; Zhao, Z.; Wang, C. Dynamic system identification of a high-rise building during Typhoon Kalmaegi. J. Wind Eng. Ind. Aerodyn. 2018, 181, 141–160. [Google Scholar] [CrossRef]
 - Li, M.; Wang, G. An engineering-based assessment methodology on the loss of residential buildings under wind hazard. Wind. Struct. 2020, 30, 1–13. [Google Scholar] [CrossRef]
 - Li, Q.; Li, X.; He, Y.; Yi, J. Observation of wind fields over different terrains and wind effects on a super-tall building during a severe typhoon and verification of wind tunnel predictions. J. Wind Eng. Ind. Aerodyn. 2017, 162, 73–84. [Google Scholar] [CrossRef]
 - Zhi, L.; Li, Q.; Wu, J.; Li, Z. Field monitoring of wind effects on a super-tall building during typhoons. Wind. Struct. Int. J. 2011, 14, 253–283. [Google Scholar] [CrossRef]
 - Xu, A.; Wu, J.; Zhao, R. Wavelet-transform-based damping identification of a super-tall building under strong wind loads. Wind. Struct. Int. J. 2014, 19, 353–370. [Google Scholar] [CrossRef]
 - Tamura, Y.; Suganuma, S.-Y. Evaluation of amplitude-dependent damping and natural frequency of buildings during strong winds. J. Wind Eng. Ind. Aerodyn. 1996, 59, 115–130. [Google Scholar] [CrossRef]
 - Jeary, A.P. Establishing non-linear damping characteristics of structures from non-stationary response time-histories. Struct. Eng. 1992, 70, 61–66. [Google Scholar]
 - Yi, J.; Li, Q.S. Wind tunnel and full-scale study of wind effects on a super-tall building. J. Fluids Struct. 2015, 58, 236–253. [Google Scholar] [CrossRef]
 - Li, Q.; Xiao, Y.; Fu, J.; Li, Z. Full-scale measurements of wind effects on the Jin Mao building. J. Wind. Eng. Ind. Aerodyn. 2007, 95, 445–466. [Google Scholar] [CrossRef]
 - Li, Q.; Yang, K.; Wong, C.; Jeary, A. The effect of amplitude-dependent damping on wind-induced vibrations of a super tall building. J. Wind. Eng. Ind. Aerodyn. 2003, 91, 1175–1198. [Google Scholar] [CrossRef]
 - International Conference of Building Officials. ICBO UBC V2: Uniform Building Code-Volume 2: Structural Engineering Design Provisions; ICBO: Whittier, CA, USA, 1997. [Google Scholar]
 - European Committee for Standardization. EN1998-1: Euro Code 8: Design of Structures for Earth-Quake Resistance-Part 1: General Rules, Seismic Actions and Rules for Buildings; CEN: Brussels, Belgium, 2013. [Google Scholar]
 - The Building Center of Japan. BSLJ: The Building Standard Law in Japan; The Building Center of Japan: Tokyo, Japan, 2015. [Google Scholar]
 - GB50009-2012; Load Code for the Design of Building Structures. China Architecture & Building Press: Beijing, China, 2012.
 - Chang, F.-K. Erratum for “Human Response to Motions in Tall Buildings”. J. Struct. Div. 1974, 100, 1150. [Google Scholar] [CrossRef]
 - Chang, M.; Pakzad, S.N. Modified Natural Excitation Technique for Stochastic Modal Identification. J. Struct. Eng. 2013, 139, 1753–1762. [Google Scholar] [CrossRef]
 - James, G.H.I.; Carne, T.G.; Lauffer, J.P. The Natural Excitation Technique (NExT) for Modal Parameter Ex-Traction from Operating Wind Turbines; NASA: Washington, DC, USA, 1993; Volume 93, pp. 260–277. Available online: https://ui.adsabs.harvard.edu/abs/1993STIN...9328603J (accessed on 8 July 2021).
 - Juang, J.N.; Pappa, R.S. An eigensystem realization algorithm for modal parameter identification and model reduction. J. Guid. Control. Dyn. 1985, 8, 620–627. [Google Scholar] [CrossRef]
 - Bart, P. System Identification and Damage Detection in Civil Engineering; Department of Civil Engineering, K.U. Leuven: Leuven, Belgium, 2000; pp. 123–127. [Google Scholar]
 - Peeters, B.; De Roeck, G. Reference-based stochastic subspace identification for output-only modal analysis. Mech. Syst. Signal. Process. 1999, 13, 855–878. [Google Scholar] [CrossRef] [Green Version]
 - Bart, P.; Roeck, D. The Identifion of Mechanical Systems: Stochastic system identification for operational modal analysis: A review. J. Dyn. Syst. Meas. Control. 2001, 123, 659–667. Available online: https://www.researchgate.net/publication/245373170 (accessed on 15 October 2021).
 




















| Monitoring Equipment | Sensor Range | Resolution | Operating Temperature Range | Size | Weight | Equipment Photos | 
|---|---|---|---|---|---|---|
| RM.Young 05103V | 0~100 m/s 0~360°  | ±0.3 m/s ±3°  | −50~50 °C | High 37 cm Long 55 cm Propeller diameter 180 mm  | 1.0 kg |  ![]()  | 
| 991B translational accelerometer | 0~±20 m/s2 | 5 × 10−6 m/s2 | −10~+50 °C | 72.5 mm × 72.5 mm × 88 mm | 0.6 kg |  ![]()  | 
| RA013 rotational accelerometer | 0~±5 rad/s2 | 2 × 10−4 rad/s2 | −20~+70 °C | 330 mm × 130 mm × 105 mm | 6 kg |  ![]()  | 
| Acceleration | Direction | Parameters | 6th Floor | 12th Floor | 18th Floor | 24th Floor | 30th Floor | 32nd Floor | 
|---|---|---|---|---|---|---|---|---|
| RMS of Acc | x | c1 | 0.006 | 0.012 | 0.011 | 0.011 | 0.016 | 0.019 | 
| c2 | 1.849 | 1.813 | 1.962 | 2.038 | 1.996 | 2.008 | ||
| y | c1 | 0.012 | 0.004 | 0.003 | 0.003 | 0.004 | 0.008 | |
| c2 | 1.706 | 2.335 | 2.587 | 2.656 | 2.647 | 2.468 | ||
| Peak acceleration | x | c1 | 0.176 | 0.306 | 0.531 | 0.297 | 0.159 | 0.463 | 
| c2 | 1.258 | 1.249 | 1.147 | 1.422 | 1.742 | 1.474 | ||
| y | c1 | 0.262 | 0.070 | 0.067 | 0.107 | 0.115 | 0.715 | |
| c2 | 1.216 | 1.869 | 2.029 | 1.968 | 2.038 | 1.508 | 
| Parameters | c1 | c2 | c3 | |
|---|---|---|---|---|
| RMS of angular-Acc | 8th floor | 8.11 × 10−6 | −1.45 × 10−4 | 0.0011 | 
| 16th floor | 1.18 × 10−5 | −1.76 × 10−4 | 0.0012 | |
| 24th floor | 2.44 × 10−5 | −3.95 × 10−4 | 0.0028 | |
| 32nd floor | 1.85 × 10−5 | −1.50 × 10−4 | 0.0006 | |
| Peak angular acceleration | 8th floor | 4.16 × 10−5 | −0.0009 | 0.0086 | 
| 16th floor | 5.84 × 10−5 | −0.0012 | 0.0108 | |
| 24th floor | 1.69 × 10−5 | −0.0040 | 0.0340 | |
| 32nd floor | 1.79 × 10−5 | −0.0012 | −0.0089 | 
| Mode Number | Vibration Direction | NExT-ERA | SSI | ||
|---|---|---|---|---|---|
| 1 | The translational 1st mode along y-axis | 0.580 Hz | 1.14% | 0.581 Hz | 1.12% | 
| 2 | The torsional 1st mode | 0.587 Hz | 1.05% | 0.587 Hz | 0.96% | 
| 3 | The translational 1st mode along x-axis | 0.687 Hz | 1.13% | 0.687 Hz | 1.06% | 
| 4 | The translational 2nd mode along y-axis | 2.260 Hz | 1.26% | 2.260 Hz | 1.38% | 
| 5 | The torsional 2nd mode | 2.310 Hz | 1.49% | 2.310 Hz | 1.27% | 
| 6 | The translational 2nd mode along x-axis | 2.418 Hz | 1.52% | 2.420 Hz | 1.48% | 
| 7 | The translational 3rd mode along x-axis | 4.268 Hz | 1.37% | 4.262 Hz | 1.53% | 
| 8 | The translational 3rd mode along y-axis | 4.410 Hz | 1.97% | 4.402 Hz | 1.54% | 
| 9 | The torsional 3rd mode | 4.426 Hz | 1.78% | 4.430 Hz | 1.15% | 
| Along x-Axis (U10min Relative to 2.96 m/s) | Along y-Axis (U10min Relative to 2.96 m/s) | ||||||||||
|---|---|---|---|---|---|---|---|---|---|---|---|
| Order 1 | Order 2 | Order 3 | Order 1 | Order 2 | Order 3 | ||||||
| U10min | MAC | U10min | MAC | U10min | MAC | U10min | MAC | U10min | MAC | U10min | MAC | 
| 4.61 m/s | 0.997 | 4.61 m/s | 0.985 | 4.61 m/s | 0.987 | 4.61 m/s | 0.998 | 4.61 m/s | 0.996 | 4.61 m/s | 0.983 | 
| 6.63 m/s | 0.998 | 6.63 m/s | 0.987 | 6.63 m/s | 0.989 | 6.63 m/s | 0.999 | 6.63 m/s | 0.996 | 6.63 m/s | 0.976 | 
| 8.72 m/s | 0.997 | 8.72 m/s | 0.985 | 8.72 m/s | 0.991 | 8.72 m/s | 0.998 | 8.72 m/s | 0.996 | 8.72 m/s | 0.944 | 
| 10.58 m/s | 0.996 | 10.58 m/s | 0.995 | 10.58 m/s | 0.980 | 10.58 m/s | 0.999 | 10.58 m/s | 0.999 | 10.58 m/s | 0.950 | 
| 12.97 m/s | 0.996 | 12.97 m/s | 0.998 | 12.97 m/s | 0.995 | 12.97 m/s | 0.998 | 12.97 m/s | 0.998 | 12.97 m/s | 0.953 | 
| 14.69 m/s | 0.996 | 14.69 m/s | 0.989 | 14.69 m/s | 0.969 | 14.69 m/s | 0.998 | 14.69 m/s | 0.998 | 14.69 m/s | 0.943 | 
| 16.03 m/s | 0.997 | 16.03 m/s | 0.993 | 16.03 m/s | 0.976 | 16.03 m/s | 0.999 | 16.03 m/s | 0.999 | 16.03 m/s | 0.964 | 
| 18.14 m/s | 0.996 | 18.14 m/s | 0.990 | 18.14 m/s | 0.987 | 18.14 m/s | 0.998 | 18.14 m/s | 0.999 | 18.14 m/s | 0.978 | 
| 20.02 m/s | 0.997 | 20.02 m/s | 0.994 | 20.02 m/s | 0.991 | 20.02 m/s | 0.998 | 20.02 m/s | 0.998 | 20.02 m/s | 0.972 | 
Publisher’s Note: MDPI stays neutral with regard to jurisdictional claims in published maps and institutional affiliations.  | 
© 2022 by the authors. Licensee MDPI, Basel, Switzerland. This article is an open access article distributed under the terms and conditions of the Creative Commons Attribution (CC BY) license (https://creativecommons.org/licenses/by/4.0/).
Share and Cite
Hu, J.; Li, Z.; Zhao, Z. Full-Scale Measurements of Translational and Torsional Dynamics Characteristics of a High-Rise Building during Typhoon Sarika. Materials 2022, 15, 493. https://doi.org/10.3390/ma15020493
Hu J, Li Z, Zhao Z. Full-Scale Measurements of Translational and Torsional Dynamics Characteristics of a High-Rise Building during Typhoon Sarika. Materials. 2022; 15(2):493. https://doi.org/10.3390/ma15020493
Chicago/Turabian StyleHu, Jiaxing, Zhengnong Li, and Zhefei Zhao. 2022. "Full-Scale Measurements of Translational and Torsional Dynamics Characteristics of a High-Rise Building during Typhoon Sarika" Materials 15, no. 2: 493. https://doi.org/10.3390/ma15020493
APA StyleHu, J., Li, Z., & Zhao, Z. (2022). Full-Scale Measurements of Translational and Torsional Dynamics Characteristics of a High-Rise Building during Typhoon Sarika. Materials, 15(2), 493. https://doi.org/10.3390/ma15020493
        
                                                
       

