Sound Insulation Performance of Composite Double Sandwich Panels with Periodic Arrays of Shunted Piezoelectric Patches
Abstract
1. Introduction
2. Theoretical Modelling
2.1. Description of the Research Structure
2.2. Equivalent Characteristics of the Structure
2.3. Analysis of Sound Transmission and Panel Vibration
2.4. Motion Analysis of Periodic Panels and Stiffeners
2.5. Application of Virtual Work Principle in Solving the Formulations
2.6. Sound Transmission Loss
3. Parametric Investigation and Discussions
3.1. Basic Parameters and Design of External Circuit
3.2. Conditions for Model Application
3.3. Model Validation
3.4. Validity of the Research Structure
4. Influence Law of Parameters
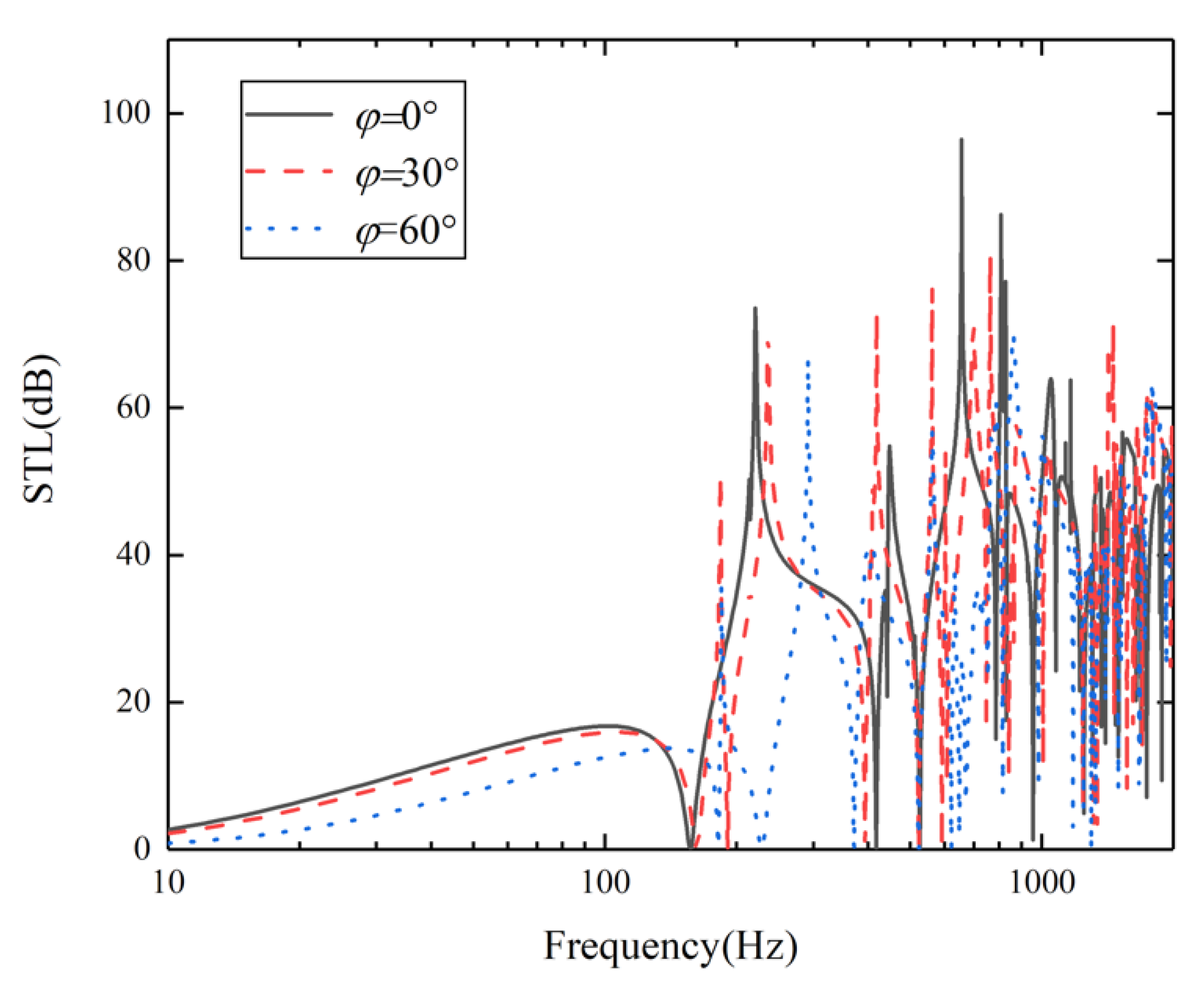
4.1. Influence of Incident Angles
4.2. Influence of the Height of Honeycomb Core
5. Conclusions
Author Contributions
Funding
Institutional Review Board Statement
Informed Consent Statement
Data Availability Statement
Conflicts of Interest
References
- Donaldson, B.K. A new approach to the forced vibration of flat skin-stringer-frame structures. J. Sound Vib. 1973, 30, 419–435. [Google Scholar] [CrossRef]
- Cao, X.; Hua, H. Acoustic responses of the composite sandwich plates with lattice truss core to the subsonic turbulent boundary layer. Compos. Struct. 2016, 153, 176–192. [Google Scholar] [CrossRef]
- Mead, D.M. Wave propagation in continuous periodic structures: Research contributions from Southampton, 1964–1995. J. Sound Vib. 1996, 190, 495–524. [Google Scholar] [CrossRef]
- Dozio, L.; Ricciardi, M. Free vibration analysis of ribbed plates by a combined analytical–numerical method. J. Sound Vib. 2009, 319, 681–697. [Google Scholar] [CrossRef]
- Mead, D.J.; Pujara, K.K. Space-harmonic analysis of periodically supported beams: Response to convected random loading. J. Sound Vib. 1971, 14, 525–541. [Google Scholar] [CrossRef]
- Mace, B.R. Periodically stiffened fluid-loaded plates I: Response to convected harmonic pressure and free wave propagation. J. Sound Vib. 1980, 73, 473–486. [Google Scholar] [CrossRef]
- Mead, D.J. Free wave propagation in periodically supported, infinite beams. J. Sound Vib. 1970, 11, 181–197. [Google Scholar] [CrossRef]
- Xin, F.X.; Lu, T.J. Analytical modeling of fluid loaded orthogonally rib-stiffened sandwich structures: Sound transmission. J. Mech. Phys. Solids 2010, 58, 1374–1396. [Google Scholar] [CrossRef]
- Kelsey, S.; Gellatly, R.A.; Clark, B.W. The shear modulus of foil honeycomb cores. Aircr. Eng. Aerosp. Technol. 1958, 30, 294–308. [Google Scholar] [CrossRef]
- Kobayashi, H.; Daimaruya, M.; Okuto, K. Elasto-plastic bending deformation of welded honeycomb sandwich panel. Trans. Jpn. Soc. Mech. Eng. 1994, 60, 1011–1016. [Google Scholar] [CrossRef][Green Version]
- Kunimoto, T.; Yamada, H. Study on the buffer characteristics of the honeycomb sandwich construction under dynamic loading. J. Jpn. Inst. Light Met. 1987, 39, 327–331. [Google Scholar] [CrossRef]
- Kunimoto, T.; Mori, N. Study on the buffer characteristics of the corrugated-core used for the 5052 aluminum alloy sandwich construction under dynamic loading. J. Jpn. Inst. Light Met. 1989, 39, 687–692. [Google Scholar] [CrossRef][Green Version]
- Forward, R.L. Electronic damping of vibrations in optical structures. Appl. Opt. 1979, 18, 690–697. [Google Scholar] [CrossRef]
- Hagood, N.W.; Flotow, A.V. Damping of structural vibrations with piezoelectric materials and passive electrical networks. J. Sound Vib. 1991, 146, 243–268. [Google Scholar] [CrossRef]
- Ahmadian, M.; Jeric, K.M. On the application of shunted piezo ceramics for increasing acoustic transmission loss in structures. J. Sound Vib. 2001, 243, 347–359. [Google Scholar] [CrossRef]
- Kim, J.; Lee, J. Broadband transmission noise reduction of smart panels featuring piezoelectric shunt circuits and sound-absorbing material. J. Acoust. Soc. Am. 2002, 112, 990–998. [Google Scholar] [CrossRef]
- Kim, J.; Choi, J.Y. Performance test for transmitted noise reduction of smart panels using piezoelectric shunt damping. Smart Mater. Struct. 2005, 14, 587–593. [Google Scholar] [CrossRef]
- Kim, J.; Jung, Y.C. Broadband noise reduction of piezoelectric smart panel featuring negative-capacitive-converter shunt circuit. J. Acoust. Soc. Am. 2006, 120, 2017–2025. [Google Scholar] [CrossRef]
- Zhang, H.; Wen, J.; Xiao, Y.; Wang, G.; Wen, X. Sound transmission loss of metamaterial thin plates with periodic subwavelength arrays of shunted piezoelectric patches. J. Sound Vib. 2015, 343, 104–120. [Google Scholar] [CrossRef]
- Casadei, F.; Dozio, L.; Ruzzene, M.; Cunefare, K.A. Periodic shunted arrays for the control of noise radiation in an enclosure. J. Sound Vib. 2010, 329, 3632–3646. [Google Scholar] [CrossRef]
- Wu, S.Y. Method for multiple mode piezoelectric shunting with single PZT transducer for vibration control. J. Intell. Mater. Syst. Struct. 1998, 9, 991–998. [Google Scholar] [CrossRef]
- Behrens, S.; Moheimani, S.O.R.; Fleming, A.J. Multiple mode current flowing passive piezoelectric shunt controller. J. Sound Vib. 2003, 266, 929–942. [Google Scholar] [CrossRef]
- Berardengo, M.; Manzoni, S.; Conti, A.M. Multi-mode passive piezoelectric shunt damping by means of matrix inequalities. J. Sound Vib. 2017, 405, 287–305. [Google Scholar] [CrossRef]
- Moheimani, S.O.R.; Fleming, A.J.; Behrens, S. Dynamics, stability, and control of multivariable piezoelectric shunts. IEEE/ASME Trans. Mechatron. 2004, 9, 87–99. [Google Scholar] [CrossRef]
- Fleming, A.J.; Moheimani, S.O.R. Control orientated synthesis of high-performance piezoelectric shunt impedances for structural vibration control. IEEE Trans. Control. Syst. Technol. 2004, 13, 98–112. [Google Scholar] [CrossRef]
- Bricault, C.; Pézerat, C.; Collet, M.; Pyskir, A.; Perrard, P.; Matten, G.; Romero-García, V. Multimodal reduction of acoustic radiation of thin plates by using a single piezoelectric patch with a negative capacitance shunt. Appl. Acoust. 2019, 145, 320–327. [Google Scholar] [CrossRef]
- Anish Kumar, A.; Chakrabarti, A. Influence of openings and additional mass on vibration of laminated sandwich rhombic plates using IHSDT. J. Thermoplast. Compos. Mater. 2018, 33, 3–34. [Google Scholar] [CrossRef]
- Talebitooti, R.; Zarastvand, M.R. Vibroacoustic behavior of orthotropic aerospace composite structure in the subsonic flow considering the third order shear deformation theory. Aerosp. Sci. Technol. 2018, 75, 227–236. [Google Scholar] [CrossRef]
- Cheng, Y.; Zeng, Q.; Liu, H.; Fang, J.; Rao, C. Optimized analysis of geometry parameters for honeycomb sandwich mirror Advances in Optical and Mechanical Technologies for Telescopes and Instrumentation. Int. Soc. Opt. Photonics 2014, 9151, 91513H. [Google Scholar]
- Xian-Bing, L.I.; Wen, J.H.; Dian-Long, Y.U.; Wen, X.S. The comparative study of equivalent mechanical methods on honeycomb sandwich plate. Fiber Reinf. Plast.Compos. 2012, S1, 11–15. [Google Scholar]
- Zhifu, Z.; Weiguang, Z.; Qibai, H. Low-frequency broadband sound transmission loss of infinite orthogonally rib-stiffened sandwich structure with periodic subwavelength arrays of shunted piezoelectric patches. Shock. Vib. 2017, 2017, 2791351. [Google Scholar]
- Mace, B.R. Sound radiation from fluid loaded orthogonally stiffened plates. J. Sound Vib. 1981, 79, 439–452. [Google Scholar] [CrossRef]
- Lee, J.H.; Kim, J. Analysis of sound transmission through periodically stiffened panels by space-harmonic expansion method. J. Sound Vib. 2002, 251, 349–366. [Google Scholar] [CrossRef]
- Mathur, G.P.; Tran, B.N.; Bolton, J.S.; Shiau, N.M. Sound transmission through stiffened double-panel structures lined with elastic porous materials. In Proceedings of the 14th DGLR/AIAA Aeroacoustics Conference, Aachen, Germany, 11–14 May 1992; Volume 1, pp. 102–105. [Google Scholar]
- Xin, F.X.; Lu, T.J. Analytical modeling of wave propagation in orthogonally rib-stiffened sandwich structures: Sound radiation. Comput. Struct. 2011, 89, 507–516. [Google Scholar] [CrossRef]
- Wang, J.; Lu, T.J.; Woodhouse, J.; Langley, R.S.; Evans, J. Sound transmission through lightweight double-leaf partitions: Theoretical modelling. J. Sound Vib. 2005, 286, 817–847. [Google Scholar] [CrossRef]
- Xin, F.X.; Lu, T.J. Analytical and experimental investigation on transmission loss of clamped double panels: Implication of boundary effects. J. Acoust. Soc. Am. 2009, 125, 1506–1517. [Google Scholar] [CrossRef]












| Parameter | Value | Parameter | Value |
|---|---|---|---|
| o (mm) | 1 | tx & ty (mm) | 1 |
| a0 (mm) | 40 | lb1 (mm) | lx/4 |
| t0 (mm) | 1 | lb2 (mm) | ly/4 |
| h0 (mm) | 0.1 | ρp (kg/m3) | 7500 |
| lx (mm) | lp (mm) | 50 | |
| ly (mm) | hp (mm) | 1 | |
| d (mm) | 80 | /(m2/N) | 16.5 × 10−12 |
| /(m2/N) | −4.78 × 10−12 | Ex & Ey (Gpa) | 70 |
| d31/(C/N) | −2.74 × 10−10 | φ (°) | 0 |
| /(F/m) | 3.01 × 10−8 | θ (°) | 0 |
| −Ceq (F) | −0.3Cp | Ef (Gpa) | 70 |
| Gx & Gy (Gpa) | 27 | ||
| ρx & ρy (kg/m3) | 2700 |
Publisher’s Note: MDPI stays neutral with regard to jurisdictional claims in published maps and institutional affiliations. |
© 2022 by the authors. Licensee MDPI, Basel, Switzerland. This article is an open access article distributed under the terms and conditions of the Creative Commons Attribution (CC BY) license (https://creativecommons.org/licenses/by/4.0/).
Share and Cite
Li, S.; Xu, D.; Wu, X.; Jiang, R.; Shi, G.; Zhang, Z. Sound Insulation Performance of Composite Double Sandwich Panels with Periodic Arrays of Shunted Piezoelectric Patches. Materials 2022, 15, 490. https://doi.org/10.3390/ma15020490
Li S, Xu D, Wu X, Jiang R, Shi G, Zhang Z. Sound Insulation Performance of Composite Double Sandwich Panels with Periodic Arrays of Shunted Piezoelectric Patches. Materials. 2022; 15(2):490. https://doi.org/10.3390/ma15020490
Chicago/Turabian StyleLi, Shande, Di Xu, Xiaoxun Wu, Renjie Jiang, Geman Shi, and Zhifu Zhang. 2022. "Sound Insulation Performance of Composite Double Sandwich Panels with Periodic Arrays of Shunted Piezoelectric Patches" Materials 15, no. 2: 490. https://doi.org/10.3390/ma15020490
APA StyleLi, S., Xu, D., Wu, X., Jiang, R., Shi, G., & Zhang, Z. (2022). Sound Insulation Performance of Composite Double Sandwich Panels with Periodic Arrays of Shunted Piezoelectric Patches. Materials, 15(2), 490. https://doi.org/10.3390/ma15020490

