Preparation and Properties of Foam Concrete Incorporating Fly Ash
Abstract
:1. Introduction
2. Materials and Methods
2.1. Materials
2.2. Design of Mix Ratio
2.3. Preparation and Curing
2.4. Testing Methods
2.4.1. Dry Bulk Density
2.4.2. Thermal Conductivity
2.4.3. Compressive Strength
2.4.4. Pore Structure Parameter Test
3. Results and Discussion
3.1. Dry Bulk Density
3.2. Compressive Strength
3.3. Thermal Conductivity
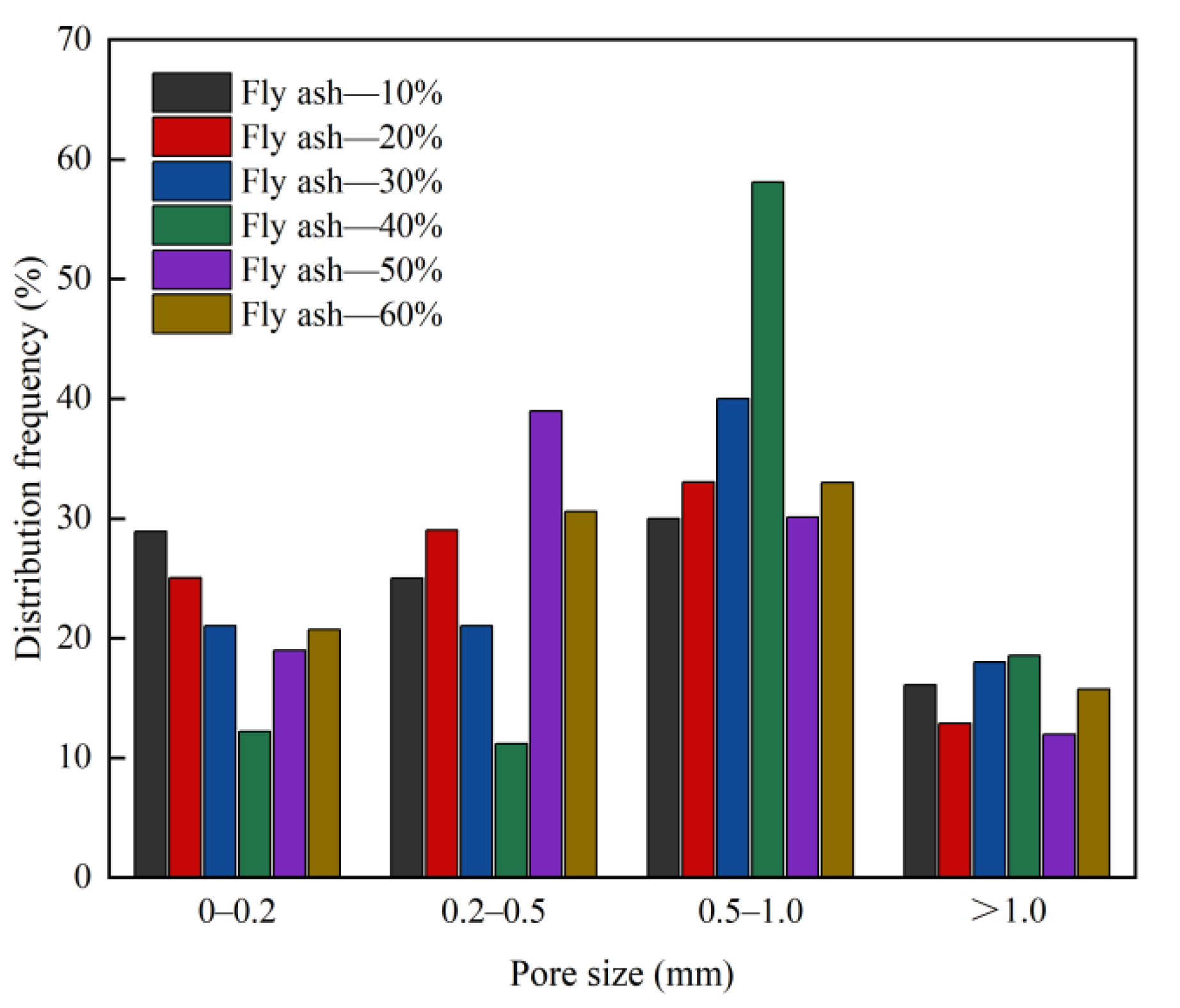
3.4. Pore Structure Analysis
4. Conclusions
- (1)
- The dry bulk density, strength, and thermal conductivity of foam concrete decrease with the increase in foaming agent.
- (2)
- With the addition of foam stabilizer, the dry bulk density and thermal conductivity of foam concrete decrease first and then increase, while the compressive strength increases first and then decreases. When the optimum content of foam stabilizer is 1.8%, the dry bulk density of foam concrete is 648 kg/m3, the compressive strength is 1.57 MPa, and the thermal conductivity is 0.1439 W/(m·K).
- (3)
- The dry bulk density and thermal conductivity of foam concrete decrease first and then increase with the increase of fly ash, while the compressive strength decreases gradually. When the content of fly ash is 40%, foam concrete has the minimum dry bulk density (336 kg/m3) and the minimum thermal conductivity (0.0824 W/(m·K)), and the strength is 0.63 MPa.
- (4)
- With the increase of H2O2 content (5.5~7.5%), the porosity gradually increases, and the pore size tends to increase. The appropriate content can improve the pore structure of foam concrete. When the content of foam stabilizer is less than 1.8%, the pore size tends to increase. A small amount of fly ash (10–20%) has the morphological effect of improving the pore structure of foam concrete and making the pore size smaller. When the content of fly ash is 40%, the performance is the best, and the porosity is the highest. The pore size distribution is more uniform, which makes it possible to control the pore structure, significantly reduce the dry bulk density of foam concrete, and significantly reduce the thermal conductivity.
Author Contributions
Funding
Institutional Review Board Statement
Informed Consent Statement
Data Availability Statement
Conflicts of Interest
References
- Sadeghian, O.; Moradzadeh, A.; Mohammadi-Ivatloo, B.; Abapour, M.; Anvari-Moghaddam, A.; Lim, J.S.; Marquez, F.P.G. A comprehensive review on energy saving options and saving potential in low voltage electricity distribution networks: Building and public lighting. Sustain. Cities Soc. 2021, 72, 103064. [Google Scholar] [CrossRef]
- Mukhtar, M.; Ameyaw, B.; Yimen, N.; Zhang, Q.; Bamisile, O.; Adun, H.; Dagbasi, M. Building retrofit and energy conservation/efficiency review: A techno-environ-economic assessment of heat pump system retrofit in housing stock. Sustainability 2021, 13, 983. [Google Scholar] [CrossRef]
- Zou, T. Study on the Influence of Superfine Powder on the Properties of Foam Concrete; Chongqing University: Chongqing, China, 2020. [Google Scholar]
- Dhasindrakrishna, K.; Ramakrishnan, S.; Pasupathy, K.; Sanjayan, J. Collapse of fresh foam concrete: Mechanisms and influencing parameters. Cem. Concr. Compos. 2021, 122, 104151. [Google Scholar] [CrossRef]
- Song, Y.; Lange, D. Influence of fine inclusions on the morphology and mechanical performance of lightweight foam concrete. Cem. Concr. Compos. 2021, 124, 104264. [Google Scholar] [CrossRef]
- Hao, Y.; Yang, G.; Liang, K. Development of fly ash and slag based high-strength alkali-activated foam concrete. Cem. Concr. Compos. 2022, 128, 104447. [Google Scholar] [CrossRef]
- Gencel, O.; Bilir, T.; Bademler, Z.; Ozbakkaloglu, T. A Detailed Review on Foam Concrete Composites: Ingredients, Properties, and Microstructure. Appl. Sci. 2022, 12, 5752. [Google Scholar] [CrossRef]
- Cheng, B.; Gu, X.; Gao, Y.; Ma, P.; Kang, S. Thermal and Waterproof Properties of Foamed Concrete with Nano SiO2 Aerogel and Organosilicon Waterproofing Agent. Adv. Mater. Sci. Eng. 2022, 2022, 3054214. [Google Scholar] [CrossRef]
- Hou, L.; Li, J.; Lu, Z.; Niu, Y. Influence of foaming agent on cement and foam concrete. Constr. Build. Mater. 2021, 280, 122399. [Google Scholar] [CrossRef]
- Dhasindrakrishna, K.; Pasupathy, K.; Ramakrishnan, S.; Sanjayan, J. Progress, current thinking and challenges in geopolymer foam concrete technology. Cem. Concr. Compos. 2021, 116, 103886. [Google Scholar] [CrossRef]
- Hou, L.; Li, J.; Lu, Z.; Niu, Y.; Jiang, J.; Li, T. Effect of nanoparticles on foaming agent and the foamed concrete. Constr. Build. Mater. 2019, 227, 116698. [Google Scholar] [CrossRef]
- Prakash, R.; Raman, S.N.; Subramanian, C.; Divyah, N. Eco-friendly fiber-reinforced concretes. In Handbook of Sustainable Concrete and Industrial Waste Management; Woodhead Publishing: Sawston, UK, 2022; pp. 109–145. [Google Scholar]
- Gökçe, H.S.; Hatungimana, D.; Ramyar, K. Effect of fly ash and silica fume on hardened properties of foam concrete. Constr. Build. Mater. 2019, 194, 1–11. [Google Scholar] [CrossRef]
- Li, G.; Tan, H.; He, X.; Zhang, J.; Deng, X.; Zheng, Z.; Guo, Y. The influence of wet ground fly ash on the performance of foamed concrete. Constr. Build. Mater. 2021, 304, 124676. [Google Scholar] [CrossRef]
- Zhou, D.; Gao, H.; Liao, H.; Fang, L.; Cheng, F. Enhancing the performance of foam concrete containing fly ash and steel slag via a pressure foaming process. J. Clean. Prod. 2021, 329, 129664. [Google Scholar] [CrossRef]
- Xu, W.; Hua, Z. Experimental study on chemical foamed concrete insulation board for external wall insulation. Concrete 2012, 3, 131–134. [Google Scholar]
- Li, J.; Wang, W. Study on the performance of foam concrete with large amount of fly ash. Compr. Util. Fly Ash. 2003, 3, 34–35. [Google Scholar]
- Li, B.; Zhang, Y. Study on Preparation and mechanical properties of chemical foamed foam concrete. Compr. Util. Fly Ash. 2014, 17–20. [Google Scholar]
- Zhu, J.; Wang, Y. Influence of fly ash content on compressive strength of foamed lightweight concret. In Symposium on New Materials, New Technologies and Engineering Applications in Civil Engineering; Ind. Constr.: Beijing, China, 2019; Volume I, pp. 352–355. [Google Scholar]
- Qiu, J.; Luo, S.; Lu, H.; Sun, G.; Wang, Y. Experimental study on ultra light foam concrete with large amount of fly ash. New. Build. Mater. 2013, 40, 74–76,79. [Google Scholar]
- Qiu, J.; Luo, S.; Lu, H.; Sun, G.; Wang, Y. Experimental study on foam concrete insulation board with large amount of fly ash. Silic. Bull. 2013, 32, 363–367. [Google Scholar]
- Jones, M.R.; Mccarthy, A. Utilising unprocessed low-lime coal fly ash in foamed concrete. ScienceDirect 2005, 84, 1398–1409. [Google Scholar] [CrossRef]
- Ramamurthy, K.; Kunhanandan Nambiar, E.K.; Indu Siva Ranjani, G. A classification of studies on properties of foam concrete. Cem. Concr. Compos. 2009, 31, 388–396. [Google Scholar] [CrossRef]
- Lian, C.; Zhuge, Y.; Beecham, S. The relationship between porosity and strength for porous concrete. Build. Mater. 2011, 25, 4294–4298. [Google Scholar] [CrossRef]
- Kearsley, E.P.; Wainwright, P.J. The effect of porosity on the strength of foamed concrete. Cem. Concr. Res. 2002, 32, 233–239. [Google Scholar] [CrossRef]
- Jiang, J.; Lu, Z.; Niu, Y.; Li, J.; Zhang, Y. Study on the preparation and properties of high-porosity foamed concretes based on ordinary Portland cement. Mater. Des. 2016, 92, 949–959. [Google Scholar] [CrossRef]
- Ministry of Housing and Urban-Rural Development of the People’s Republic of China. Foam Concrete. JG/T-266-2011; Ministry of Housing and Urban-Rural Development of the People’s Republic of China: Beijing, China, 2011; p. 14.
- GB/T 10294-2008; Thermal Insulation—Determination of Steady-State Thermal Resistance and Related Properties—Guarded Hot Plate Apparatus. Chinese Standard: Beijing, China, 2008.
- Amran, M.; Fediuk, R.; Vatin, N.; Huei Lee, Y.; Murali, G.; Ozbakkaloglu, T.; Klyuev, S.; Alabduljabber, H. Fibre-reinforced foamed concretes: A review. Materials 2020, 13, 4323. [Google Scholar] [CrossRef]
- Gao, H.; Wang, W.; Liao, H.; Cheng, F. Characterization of light foamed concrete containing fly ash and desulfurization gypsum for wall insulation prepared with vacuum foaming process. Constr. Build. Mater. 2021, 281, 122411. [Google Scholar] [CrossRef]
- Cui, Y.; Wang, D.; Zhao, J.; Li, D.; Ng, S.; Rui, Y. Effect of calcium stearate based foam stabilizer on pore characteristics and thermal conductivity of geopolymer foam material. J. Build. Eng. 2018, 20, 21–29. [Google Scholar] [CrossRef]
- Chen, X.; Yan, Y.; Liu, Y.; Hu, Z. Utilization of circulating fluidized bed fly ash for the preparation of foam concrete. Constr. Build. Mater. 2014, 54, 137–146. [Google Scholar] [CrossRef]
- Zhang, X.; Zhang, X.; Li, X.; Tian, D.; Ma, M.; Wang, T. Optimized pore structure and high permeability of metakaolin/fly-ash-based geopolymer foams from Al–and H2O2–sodium oleate foaming systems. Ceram. Int. 2022, 48, 18348–18360. [Google Scholar] [CrossRef]
- Su, L.; Fu, G.; Liang, B.; Sun, Q.; Zhang, X. Mechanical properties and microstructure evaluation of fly ash-Slag geopolymer foaming materials. Ceram. Int. 2022, 48, 18224–18237. [Google Scholar] [CrossRef]
- Fan, Y. Study on the Effect of Bamboo Fiber on the Properties of Chemical Foamed Foam Concrete; Northeast Electric Power University: Jilin, China, 2022. [Google Scholar]
- Phoo-ngernkham, T.; Chindaprasirt, P.; Sata, V.; Hanjitsuwan, S.; Hatanaka, S. The effect of adding nano-SiO2 and nano-Al2O3 on properties of high calcium fly ash geopolymer cured at ambient temperature. Mater. Des. 2014, 55, 58–65. [Google Scholar] [CrossRef]
- Chindaprasirt, P.; De Silva, P.; Sagoe-Crentsil, K.; Hanjitsuwan, S. Effect of SiO2 and Al2O3 on the setting and hardening of high calcium fly ash-based geopolymer systems. J. Mater. Sci. 2012, 47, 4876–4883. [Google Scholar] [CrossRef]
- Phoo-Ngernkham, T.; Hanjitsuwan, S.; Damrongwiriyanupap, N.; Chindaprasirt, P. Effect of sodium hydroxide and sodium silicate solutions on strengths of alkali activated high calcium fly ash containing Portland cement. KSCE. J. Civ. Eng. 2017, 21, 2202–2210. [Google Scholar] [CrossRef]
- König, J.; Nemanič, V.; Žumer, M.; Petersen, R.R.; Østergaard, M.B.; Yue, Y.; Suvorov, D. Evaluation of the contributions to the effective thermal conductivity of an open-porous-type foamed glass. Constr. Build. Mater. 2019, 214, 337–343. [Google Scholar] [CrossRef]
- Guo, Y.; Chen, X.; Chen, B.; Wen, R.; Wu, P. Analysis of foamed concrete pore structure of railway roadbed based on X-ray computed tomography. Constr. Build. Mater. 2021, 273, 121773. [Google Scholar] [CrossRef]
- Zhang, Z.; Wang, H. The pore characteristics of geopolymer foam concrete and their impact on the compressive strength and modulus. Front. Mater. 2016, 3, 38. [Google Scholar] [CrossRef] [Green Version]
- Zhang, J.; Liu, B.; Zhang, X.; Shen, H.; Liu, J.; Zhang, S. A novel approach for preparing glass ceramic foams from MSWI fly ash: Foaming characteristics and hierarchical pore formation mechanism. J. Mater. Res. Technol. 2022, 18, 731–744. [Google Scholar] [CrossRef]
- Zhang, X.; Wang, W.; Yang, D.; Zhang, L. Research Progress on pore structure characteristics and influencing factors of foam concrete. Concr. Cem. Prod. 2018, 7, 63–68. [Google Scholar]
- Nambiar, E.K.K.; Ramamurthy, K. Air-void characterisation of foam concrete. Cem. Concr. Res. 2007, 37, 221–230. [Google Scholar] [CrossRef]
- Tao, C.; Dong, S. Effects of Different Fly Ash Proportion on the Physical and Mechanical Performance and Pore Structure of Foam Concrete. Chem. Eng. Trans. (CET J.) 2017, 62, 1021–1026. [Google Scholar]
- Zhang, D.; Yang, Q.; Mao, M.; Li, J. Carbonation performance of concrete with fly ash as fine aggregate after stress damage and high temperature exposure. Constr. Build. Mater. 2020, 242, 118125. [Google Scholar] [CrossRef]
- Pang, C.; Wang, S. Characterization of pore structure of foam concrete and its influence on properties. J. Build. Eng. 2017, 20, 93–98. [Google Scholar]











| Oxide | Al2O3 | SiO2 | Fe2O3 | CaO | Na2O | K2O | P2O5 | SO3 |
|---|---|---|---|---|---|---|---|---|
| Cement | 7.60 | 22.46 | 5.00 | 57.15 | 0.31 | 0.86 | 0.105 | 2.96 |
| Fly ash | 26.38 | 47.85 | 8.43 | 5.81 | 1.11 | 2.22 | 1.17 | 1.94 |
| Properties | Cement | Fly Ash |
|---|---|---|
| Fineness (% retained on 45 μm sieve) | 7.60 | 17.4 |
| Water demanded (%) | - | 97.0 |
| Loss on ignition (%) | 1.4 | 5.84 |
| Code | Water | H2O2 | Calcium Stearate | Fly Ash | Cement | Lithium Carbonate |
|---|---|---|---|---|---|---|
| A1 | 224 | 22 | 4.8 | 0 | 400 | 1.36 |
| A2 | 224 | 24 | 4.8 | 0 | 400 | 1.36 |
| A3 | 224 | 26 | 4.8 | 0 | 400 | 1.36 |
| A4 | 224 | 28 | 4.8 | 0 | 400 | 1.36 |
| A5 | 224 | 30 | 4.8 | 0 | 400 | 1.36 |
| B1 | 224 | 24 | 5.6 | 0 | 400 | 1.36 |
| B2 | 224 | 24 | 6.4 | 0 | 400 | 1.36 |
| B3 | 224 | 24 | 7.2 | 0 | 400 | 1.36 |
| B4 | 224 | 24 | 8.0 | 0 | 400 | 1.36 |
| C1 | 224 | 24 | 7.2 | 40 | 360 | 1.36 |
| C2 | 224 | 24 | 7.2 | 80 | 320 | 1.36 |
| C3 | 224 | 24 | 7.2 | 120 | 280 | 1.36 |
| C4 | 224 | 24 | 7.2 | 160 | 240 | 1.36 |
| C5 | 224 | 24 | 7.2 | 200 | 200 | 1.36 |
| C6 | 224 | 24 | 7.2 | 240 | 160 | 1.36 |
Publisher’s Note: MDPI stays neutral with regard to jurisdictional claims in published maps and institutional affiliations. |
© 2022 by the authors. Licensee MDPI, Basel, Switzerland. This article is an open access article distributed under the terms and conditions of the Creative Commons Attribution (CC BY) license (https://creativecommons.org/licenses/by/4.0/).
Share and Cite
Zhang, D.; Ding, S.; Ma, Y.; Yang, Q. Preparation and Properties of Foam Concrete Incorporating Fly Ash. Materials 2022, 15, 6287. https://doi.org/10.3390/ma15186287
Zhang D, Ding S, Ma Y, Yang Q. Preparation and Properties of Foam Concrete Incorporating Fly Ash. Materials. 2022; 15(18):6287. https://doi.org/10.3390/ma15186287
Chicago/Turabian StyleZhang, Dongsheng, Sen Ding, Ye Ma, and Qiuning Yang. 2022. "Preparation and Properties of Foam Concrete Incorporating Fly Ash" Materials 15, no. 18: 6287. https://doi.org/10.3390/ma15186287
APA StyleZhang, D., Ding, S., Ma, Y., & Yang, Q. (2022). Preparation and Properties of Foam Concrete Incorporating Fly Ash. Materials, 15(18), 6287. https://doi.org/10.3390/ma15186287

