Effects of JFET Region Design and Gate Oxide Thickness on the Static and Dynamic Performance of 650 V SiC Planar Power MOSFETs
Abstract
:1. Introduction
2. Device Design and Fabrication
3. Experimental Methods
3.1. Device Packaging
3.2. Device Characterization
4. Device Characteristics and Discussion
4.1. Threshold Voltage
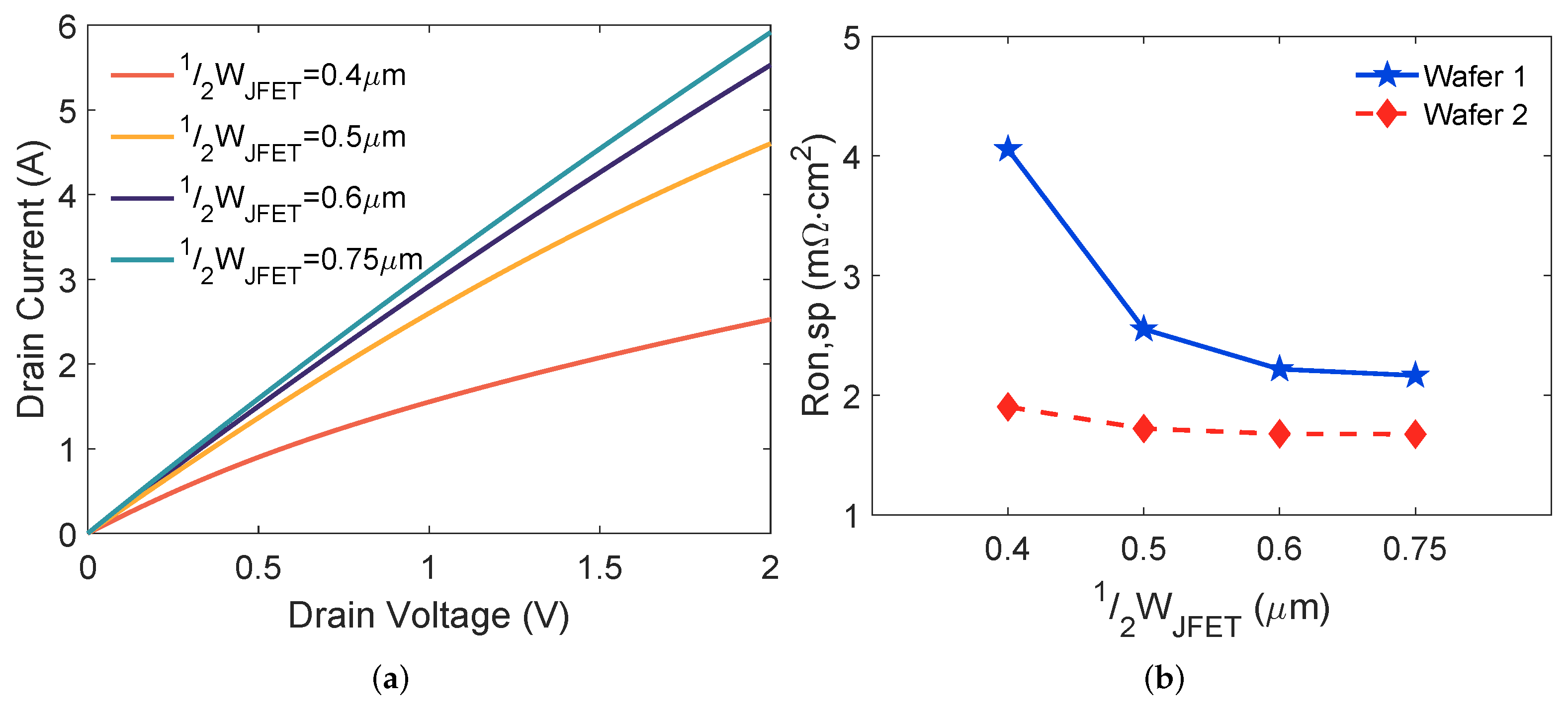
4.2. Specific ON-Resistance
4.3. Breakdown Voltage
4.4. Device Capacitances
5. Trade-Offs
| Design Information | Experimental Results | |||||||||||||||||
|---|---|---|---|---|---|---|---|---|---|---|---|---|---|---|---|---|---|---|
[ m] | [nm] |
NJFET [cm−3] |
Cell Pitch
[ m] |
Active Area
[mm ] | [m cm2 ] | Std. |
Vth [V] |
Vth Std. |
BV
[V] |
BV
Std. |
Cgs [pF] |
Cgs Std. |
Cds [pF] |
Cds Std. |
Cgd [pF] |
Cgd Std. | HF-FOM (Cgd × ) [mpF] | |
| Wafer 1 | 0.4 | * | 6 | 0.64 | 4.06 | 0.77 | 3.3 | 0.08 | 780 | 20.5 | 197 | 4.0 | 18.3 | 0.2 | 1.7 | 0.05 | 1078 | |
| 0.5 | 6.2 | 0.64 | 2.55 | 0.07 | 3.3 | 0.09 | 780 | 19.1 | 194 | 2.6 | 18.0 | 0.3 | 1.9 | 0.05 | 757 | |||
| 0.6 | 6.4 | 0.64 | 2.22 | 0.03 | 3.3 | 0.08 | 772 | 19.9 | 193 | 2.9 | 17.8 | 0.2 | 2.1 | 0.03 | 728 | |||
| 0.75 | 6.7 | 0.64 | 2.16 | 0.04 | 3.4 | 0.10 | 788 | 21.7 | 184 | 3.0 | 17.5 | 0.3 | 2.4 | 0.03 | 810 | |||
| Wafer 2 | 0.4 | * | 6 | 0.64 | 1.90 | 0.08 | 2.9 | 0.11 | 643 | 31.6 | 289 | 1.5 | 18.3 | 0.3 | 2.5 | 0.05 | 742 | |
| 0.5 | 6.2 | 0.64 | 1.72 | 0.03 | 2.8 | 0.10 | 635 | 36.8 | 284 | 2.5 | 18.2 | 0.3 | 2.6 | 0.05 | 699 | |||
| 0.6 | 6.4 | 0.64 | 1.68 | 0.03 | 2.9 | 0.09 | 637 | 30.7 | 282 | 1.8 | 17.9 | 0.4 | 3.0 | 0.05 | 788 | |||
| 0.75 | 6.7 | 0.64 | 1.67 | 0.03 | 2.9 | 0.11 | 640 | 45.0 | 272 | 2.0 | 17.6 | 0.3 | 3.3 | 0.03 | 861 | |||
6. Conclusions
Author Contributions
Funding
Institutional Review Board Statement
Informed Consent Statement
Data Availability Statement
Acknowledgments
Conflicts of Interest
Abbreviations
| SiC | Sillicon Carbide |
| MOSFET | Metal–Oxide Semiconductor Field-Effect Transistor |
| JFET | Junction Field Effect Transistor |
| HF-FOM | High-Frequency Figure Of Merit |
| DUT | Device Under Test |
References
- Kimoto, T. Material science and device physics in SiC technology for high-voltage power devices. Jpn. J. Appl. Phys. 2015, 54, 040103. [Google Scholar] [CrossRef]
- Zhang, L.; Yuan, X.; Wu, X.; Shi, C.; Zhang, J.; Zhang, Y. Performance evaluation of high-power SiC MOSFET modules in comparison to Si IGBT modules. IEEE Trans. Power Electron. 2018, 34, 1181–1196. [Google Scholar] [CrossRef]
- Maddi, H.L.R.; Yu, S.; Zhu, S.; Liu, T.; Shi, L.; Kang, M.; Xing, D.; Nayak, S.; White, M.H.; Agarwal, A.K. The Road to a Robust and Affordable SiC Power MOSFET Technology. Energies 2021, 14, 8283. [Google Scholar] [CrossRef]
- Vathulya, V.R.; Shang, H.; White, M.H. A novel 6H-SiC power DMOSFET with implanted p-well spacer. IEEE Electron Device Lett. 1999, 20, 354–356. [Google Scholar] [CrossRef]
- Saha, A.; Cooper, J.A. A 1-kV 4H-SiC power DMOSFET optimized for low on-resistance. IEEE Trans. Electron Devices 2007, 54, 2786–2791. [Google Scholar] [CrossRef]
- Kim, D.; Jang, S.Y.; Morgan, A.J.; Sung, W. An inclusive structural analysis on the design of 1.2 kV 4H-SiC planar MOSFETs. IEEE J. Electron Devices Soc. 2021, 9, 804–812. [Google Scholar] [CrossRef]
- Wu, L.; Xiao, L.; Zhao, J.; Chen, G. Physical analysis and modeling of the nonlinear miller capacitance for SiC MOSFET. In Proceedings of the IECON 2017-43rd Annual Conference of the IEEE Industrial Electronics Society, Beijing, China, 29 October–1 November 2017; pp. 1411–1416. [Google Scholar]
- Baliga, B.J. Fundamentals of Power Semiconductor Devices; Springer Science & Business Media: Berlin/Heidelberg, Germany, 2010. [Google Scholar]
- Sung, W.; Han, K.; Baliga, B. Optimization of the JFET region of 1.2 kV SiC MOSFETs for improved high frequency figure of merit (HF-FOM). In Proceedings of the 2017 IEEE 5th Workshop on Wide Bandgap Power Devices and Applications (WiPDA), Albuquerque, NM, USA, 30 October–1 November 2017; pp. 238–241. [Google Scholar]
- Li, X.; Zhang, L.; Guo, S.; Lei, Y.; Huang, A.Q.; Zhang, B. Understanding switching losses in SiC MOSFET: Toward lossless switching. In Proceedings of the 2015 IEEE 3rd Workshop on Wide Bandgap Power Devices and Applications (WiPDA), Blacksburg, VA, USA, 2–4 November 2015; pp. 257–262. [Google Scholar]
- Agarwal, A.; Kanale, A.; Baliga, B.J. Advanced 650 V SiC Power MOSFETs With 10 V Gate Drive Compatible With Si Superjunction Devices. IEEE Trans. Power Electron. 2020, 36, 3335–3345. [Google Scholar] [CrossRef]
- Agarwal, A.; Kanale, A.; Han, K.; Baliga, B.J. Switching and short-circuit performance of 27 nm gate oxide, 650 V SiC planar-gate MOSFETs with 10 to 15 V gate drive voltage. In Proceedings of the 2020 32nd International Symposium on Power Semiconductor Devices and ICs (ISPSD), Vienna, Austria, 13–18 September 2020; pp. 250–253. [Google Scholar]
- Zhu, S.; Liu, T.; White, M.H.; Agarwal, A.K.; Salemi, A.; Sheridan, D. Investigation of gate leakage current behavior for commercial 1.2 kv 4h-sic power mosfets. In Proceedings of the 2021 IEEE International Reliability Physics Symposium (IRPS), Monterey, CA, USA, 21–25 March 2021; pp. 1–7. [Google Scholar]
- Liu, T.; Zhu, S.; Salemi, A.; Sheridan, D.; White, M.H.; Agarwal, A.K. JFET Region Design Trade-Offs of 650 V 4H-SiC Planar Power MOSFETs. Solid State Electron. Lett. 2021, 3, 53–58. [Google Scholar] [CrossRef]
- Schroder, D.K. Semiconductor Material and Device Characterization; John Wiley & Sons: Hoboken, NJ, USA, 2015. [Google Scholar]
- Zhu, Z.; Ren, N.; Xu, H.; Liu, L.; Sheng, K. Avalanche Reliability of Planar-gate SiC MOSFET with Varied JFET Region Width and Its Balance with Characteristic Performance. In Proceedings of the 2021 33rd International Symposium on Power Semiconductor Devices and ICs (ISPSD), Nagoya, Japan, 30 May–3 June 2021; pp. 231–234. [Google Scholar]
- Liu, T.; Zhu, S.; White, M.H.; Salemi, A.; Sheridan, D.; Agarwal, A.K. Time-dependent dielectric breakdown of commercial 1.2 kv 4h-sic power mosfets. IEEE J. Electron Devices Soc. 2021, 9, 633–639. [Google Scholar] [CrossRef]
- Li, H.; Jiang, Y.; Qiu, Z.; Wang, Y.; Ding, Y. A predictive algorithm for crosstalk peaks of SiC MOSFET by considering the nonlinearity of gate-drain capacitance. IEEE Trans. Power Electron. 2020, 36, 2823–2834. [Google Scholar] [CrossRef]
- Shintani, M.; Nakamura, Y.; Hiromoto, M.; Hikihara, T.; Sato, T. Measurement and modeling of gate–drain capacitance of silicon carbide vertical double-diffused MOSFET. Jpn. J. Appl. Phys. 2017, 56, 04CR07. [Google Scholar] [CrossRef]
- Farhadi, M.; Yang, F.; Pu, S.; Vankayalapati, B.T.; Akin, B. Temperature-independent gate-oxide degradation monitoring of SiC MOSFETs based on junction capacitances. IEEE Trans. Power Electron. 2021, 36, 8308–8324. [Google Scholar] [CrossRef]







Publisher’s Note: MDPI stays neutral with regard to jurisdictional claims in published maps and institutional affiliations. |
© 2022 by the authors. Licensee MDPI, Basel, Switzerland. This article is an open access article distributed under the terms and conditions of the Creative Commons Attribution (CC BY) license (https://creativecommons.org/licenses/by/4.0/).
Share and Cite
Zhu, S.; Liu, T.; Fan, J.; Maddi, H.L.R.; White, M.H.; Agarwal, A.K. Effects of JFET Region Design and Gate Oxide Thickness on the Static and Dynamic Performance of 650 V SiC Planar Power MOSFETs. Materials 2022, 15, 5995. https://doi.org/10.3390/ma15175995
Zhu S, Liu T, Fan J, Maddi HLR, White MH, Agarwal AK. Effects of JFET Region Design and Gate Oxide Thickness on the Static and Dynamic Performance of 650 V SiC Planar Power MOSFETs. Materials. 2022; 15(17):5995. https://doi.org/10.3390/ma15175995
Chicago/Turabian StyleZhu, Shengnan, Tianshi Liu, Junchong Fan, Hema Lata Rao Maddi, Marvin H. White, and Anant K. Agarwal. 2022. "Effects of JFET Region Design and Gate Oxide Thickness on the Static and Dynamic Performance of 650 V SiC Planar Power MOSFETs" Materials 15, no. 17: 5995. https://doi.org/10.3390/ma15175995
APA StyleZhu, S., Liu, T., Fan, J., Maddi, H. L. R., White, M. H., & Agarwal, A. K. (2022). Effects of JFET Region Design and Gate Oxide Thickness on the Static and Dynamic Performance of 650 V SiC Planar Power MOSFETs. Materials, 15(17), 5995. https://doi.org/10.3390/ma15175995

