The Effect of the Material Periodic Structure on Free Vibrations of Thin Plates with Different Boundary Conditions
Abstract
1. Introduction
2. Modelling Foundations
2.1. Preliminaries
- The kinematic assumptions
- The strain-displacement relations
- The stress-strain relations
- The virtual work equation
2.2. Foundations of the Tolerance Modelling
2.2.1. Introductory Concepts
2.2.2. Tolerance Modelling Assumptions
2.2.3. Outline of the Modelling Procedure
2.3. Governing Equations
2.3.1. Tolerance Model Equations
2.3.2. Asymptotic Model Equations
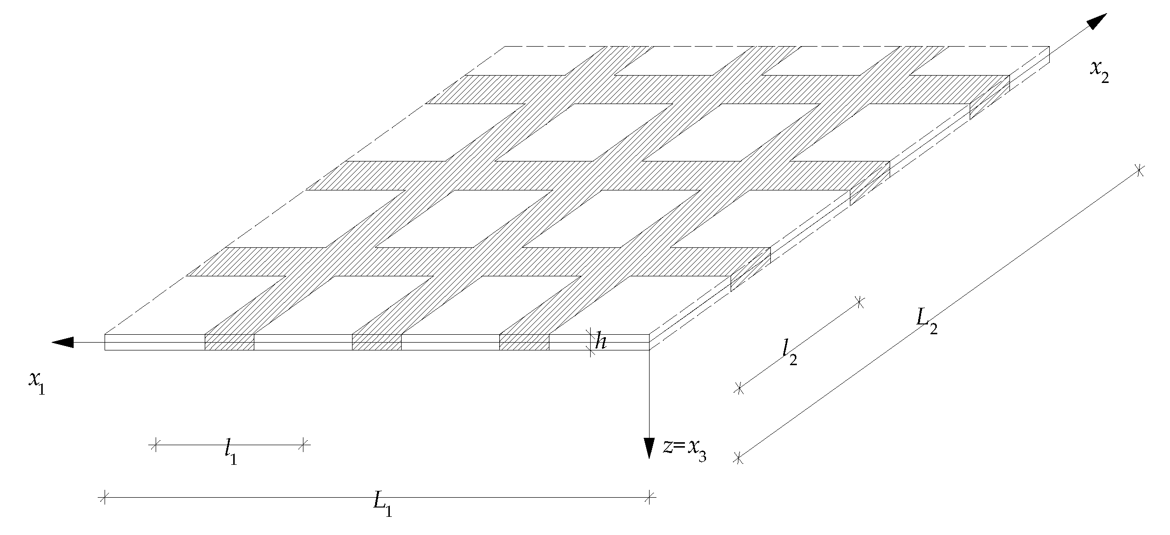
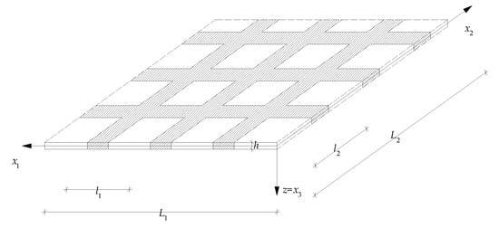
3. Analysis of Free Vibrations of Periodic Plate Strips with Various Boundary Conditions
3.1. Introduction to the Example
3.2. The Using of the Ritz Method
- the simply supported plate strip
- the clamped-hinged plate strip
- the plate strip clamped on both edges
- the cantilever plate strip
- the simply supported plate strip
- the clamped-hinged plate strip
- the plate strip clamped on both edges
- the cantilever plate strip
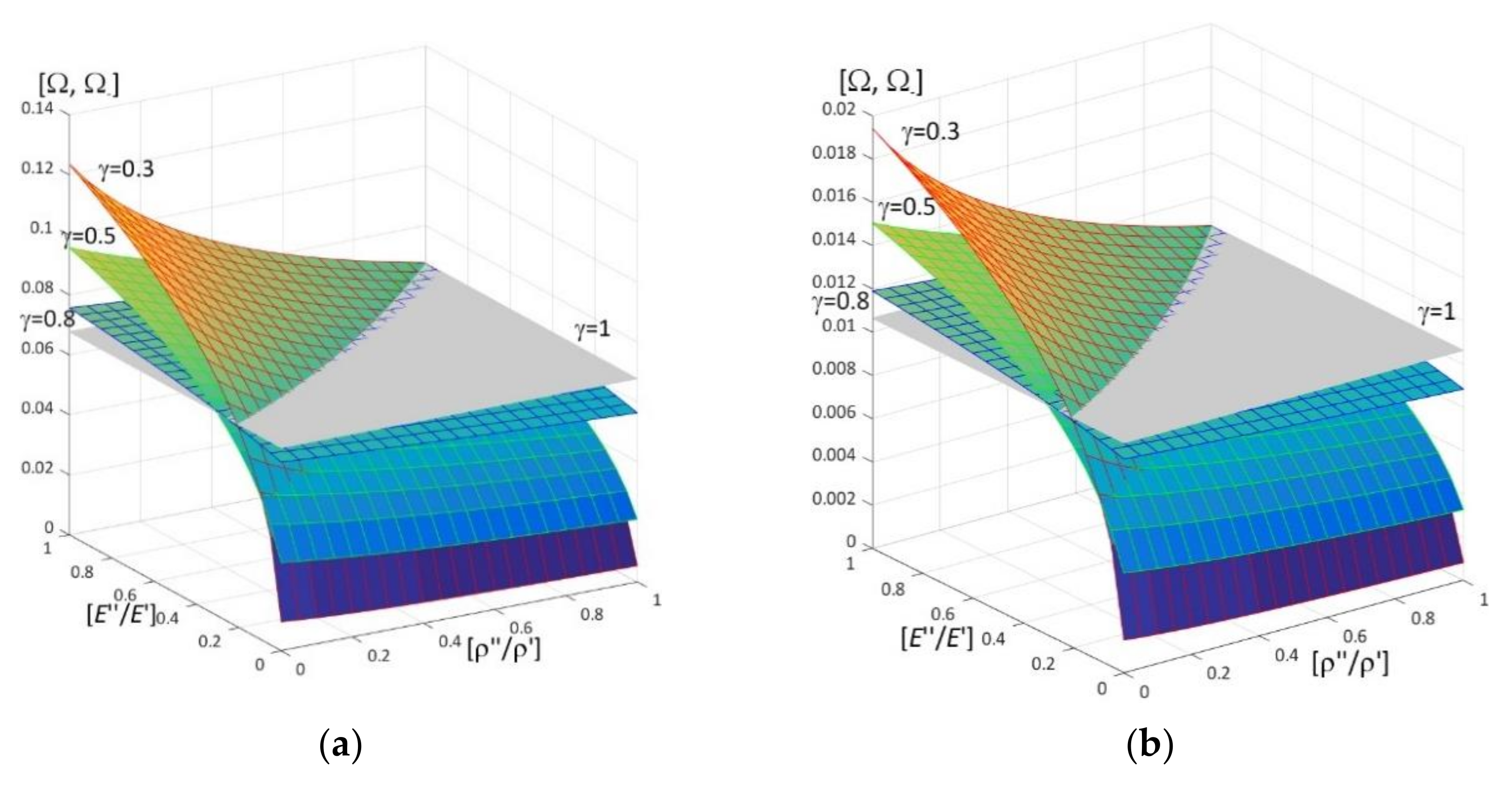
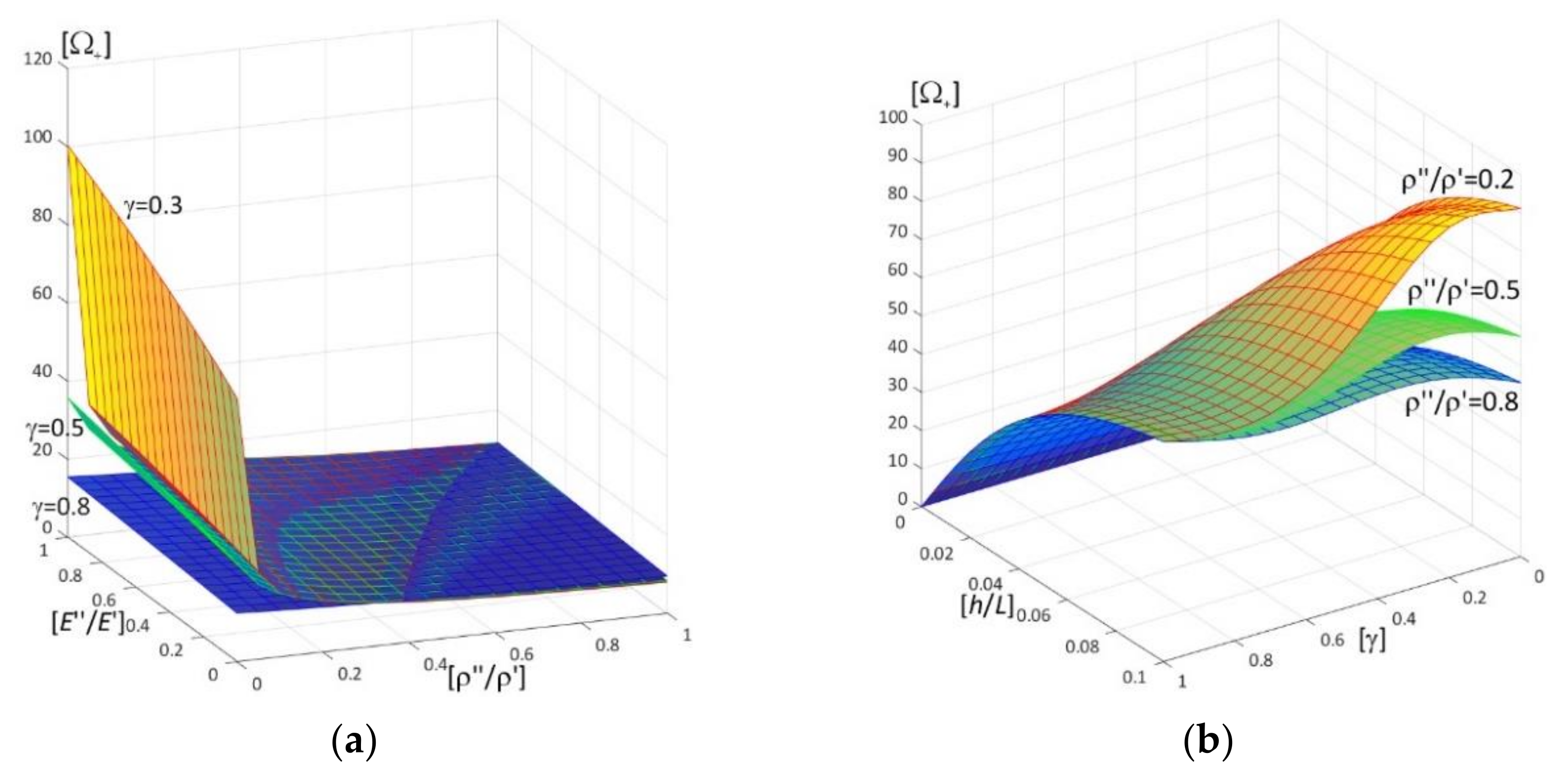
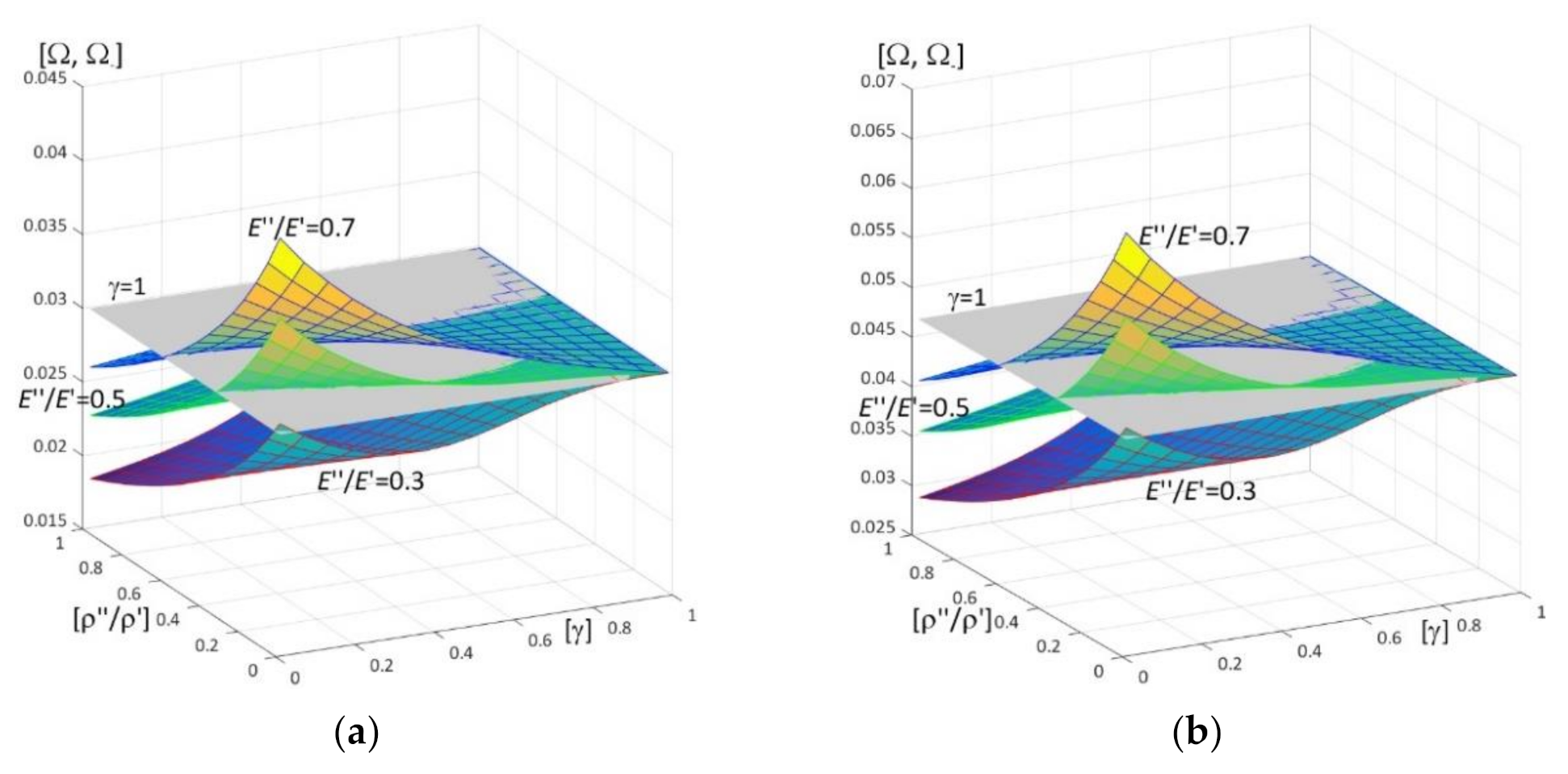
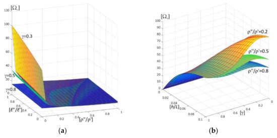
3.3. Results of Calculations
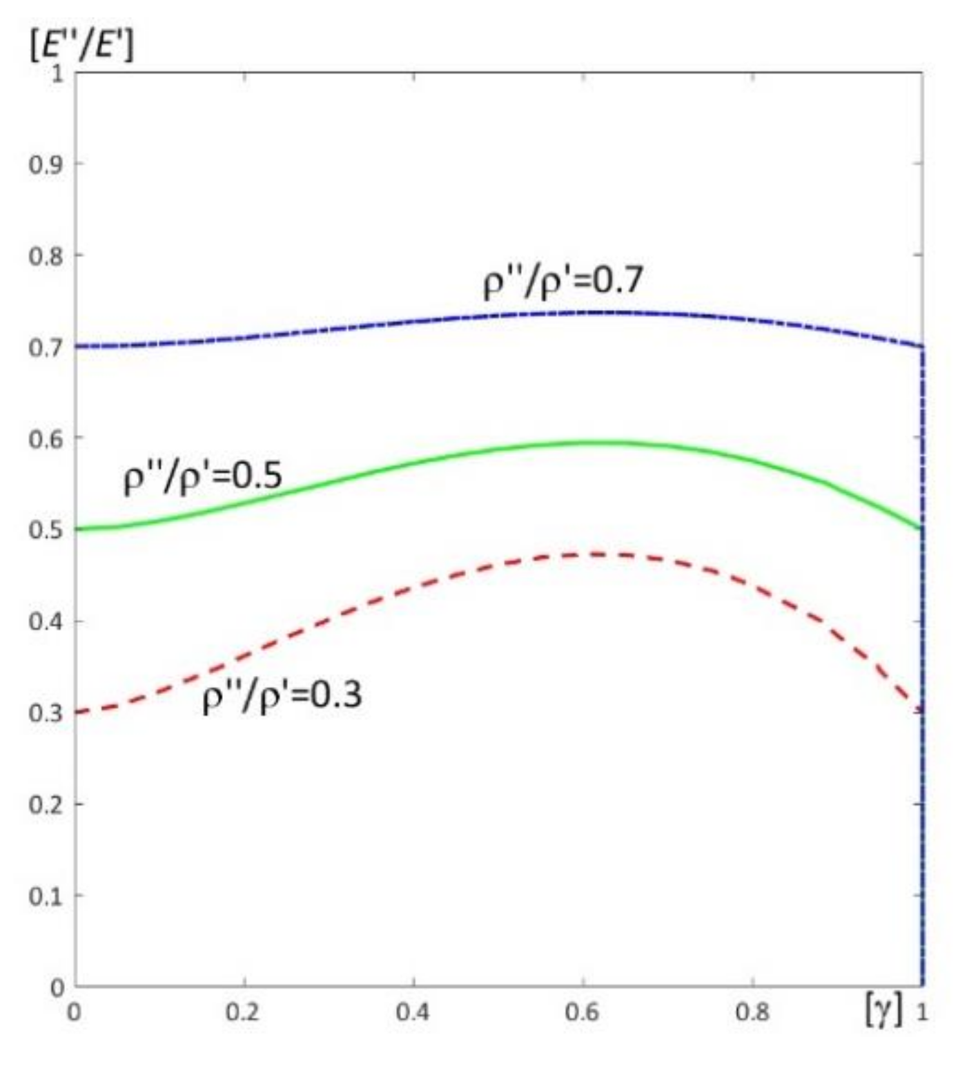
- the frequency parameters increase with the increasing of ν″/ν′;
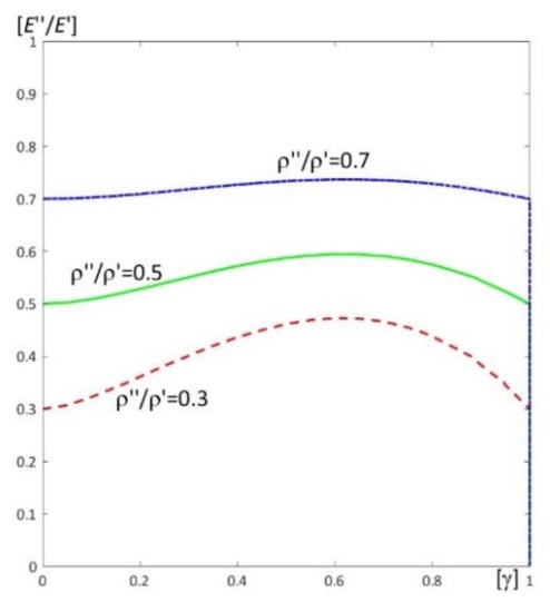
- the dependency of these parameters on the parameter γ is more complicated, since (for the fixed ratio E″/E′ = 0.5):
- -
- for some fixed values of ρ″/ρ′, e.g., ρ″/ρ′ = 0.7, these frequency parameters increase with the increasing of γ,
- -
- for some fixed values of ρ″/ρ′, e.g., ρ″/ρ′ = 0.5, there is γ0 such that these frequency parameters decrease for γ ≤ γ0, but increase for γ0 < γ,
- -
- for some fixed values of ρ″/ρ′, e.g., ρ″/ρ′ = 0.3, there are γ1 and γ2 such that these frequency parameters decrease for γ ≤ γ1 or γ > γ2, but increase for γ1 < γ ≤ γ2;
- values presented in surfaces of the lower frequency parameters are smaller than this parameter for the homogeneous plate strip (γ = 1) for—the fixed ratio E″/E′ = 0.5 and some fixed ratios ρ″/ρ′, ρ″/ρ′ > 0.3;
- for some fixed ratios ρ″/ρ′, ρ″/ρ′ ≤ 0.3, there are some values γ* and ν″/ν′ ≥ (ν″/ν′)*(γ*), where (ν″/ν′)* is dependent on γ*, such that the lower frequency parameters are bigger than this parameter for the homogeneous plate strip (γ = 1).
- Moreover, all surfaces of the lower frequency parameters have the same edge for γ = 1.
- -
- for some fixed ratios ρ″/ρ′ = 0.5, 0.7 there are γ1 and γ2 such that these frequency parameters increase for γ ≤ γ1 or γ > γ2, but decrease for γ1 < γ ≤ γ2,
- -
- however, this dependency of these parameters on the parameter γ for the rather small fixed ratio ρ″/ρ′, e.g., ρ″/ρ′ = 0.3, has other form, because there are γ3 and γ4 such that these frequency parameters decrease for γ ≤ γ3 or γ > γ4, but increase for γ3 < γ ≤ γ4.
- the frequency parameters decrease with the increasing of ρ″/ρ′;
- the dependency of these parameters on the parameter γ is more complicated, because (for the fixed ratio ν″/ν′ = 1):
- -
- for some fixed ratios E″/E′, e.g., E″/E′ = 0.5, 0.7, the frequency parameters decrease with the increasing of the parameter γ,
- -
- for some fixed ratios E″/E′, E″/E′ < 0.5, it is γ0 such that these frequency parameters decrease for γ ≤ γ0, but increase for γ0 < γ;
- the lower frequency parameters are smaller than this parameter for the homogeneous plate strip (γ = 1) for some values γ* and ρ″/ρ′ ≥ (ρ″/ρ′)*(γ*), where (ρ″/ρ′)* is dependent on γ*;
- the frequency parameters are bigger than this parameter for the homogeneous plate strip (γ = 1) for some γ* and ρ″/ρ′ < (ρ″/ρ′)*(γ*), where (ρ″/ρ′)* depends on γ*.
- -
- for more fixed ratios E″/E′ < 0.7 (e.g., E″/E′ = 0.3, 0.5) it is γ0 (dependent on ρ″/ρ′) such that these frequency parameters increase for γ ≤ γ0, but decrease for γ0 < γ,
- -
- however, this dependency of these parameters on the parameter γ for the rather big fixed ratio E″/E′, e.g., E″/E′ = 0.7, has other form, because there are γ1 and γ2 such that these frequency parameters decrease for γ ≤ γ1 or γ > γ2, but increase for γ1 < γ ≤ γ2.
4. Some Final Remarks
- The tolerance model allows us to analyse the effect of the microstructure size on dynamic problems of thin periodic plates under consideration, e.g., the “higher order” vibrations, related to the plate microstructure.
- A certain a posteriori criterion of physical reliability for the model is that the basic unknowns W, VA, A = 1, …, N, have to be slowly-varying functions. Moreover, under these conditions, the governing equations of the tolerance model have a physical sense.
- Using the asymptotic model of periodic plates, lower order (fundamental) vibrations can be only analysed.
- Lower free vibration frequencies (also called fundamental frequencies) can be analysed within both the models—the tolerance and the asymptotic.
- Values of lower free vibration frequencies of the considered periodic plate strips also depend on boundary conditions of these strips and they change from the highest values to the smallest as for the homogeneous plate strips with identical boundary conditions: the clamped-clamped plate strip, the clamped-hinged plate strip, the simply supported plate strip, the cantilever plate strip.
- Higher free vibration frequencies, related to the periodic microstructure of the plate, can be investigated only within the tolerance model.
- Values of higher free vibration frequencies of the considered periodic plate strips do not depend on boundary conditions of these plates, but only on material and geometrical properties of the plates.
- The effects of differences between material or geometrical parameters, such that Young’s moduli (the ratio E″/E′), mass densities (the ratio ρ″/ρ′), Poisson’s ratios (the ratio ν″/ν′), the plate thickness (the ratio h/L), on free vibration frequencies are similar for both kinds of them—lower and higher.
- The effect of the distribution parameter of material properties γ on these frequencies is more complicated to describe and is slightly different for both kinds of frequencies—lower and higher.
- The effect of the parameter γ on the frequencies is related to the material properties Young’s moduli (the ratio E″/E′), mass densities (the ratio ρ″/ρ′), and Poisson’s ratios (the ratio ν″/ν′).
- Sections by the planes corresponding to the fundamental free vibration frequency of homogeneous plate strips of surfaces for the lower frequencies of periodic plate strips are identical for all boundary conditions. Therefore, created in this way, traces of these surfaces of lower frequencies on the relevant planes of frequencies are the same for all considered boundary conditions.
Funding
Institutional Review Board Statement
Informed Consent Statement
Conflicts of Interest
Appendix A
| γ | E’’/E’ = 0.25 | E’’/E’ = 0.5 | E’’/E’ = 0.75 | E’/E’’ = 1 | |||||||||
|---|---|---|---|---|---|---|---|---|---|---|---|---|---|
| ρ’’/ρ’ | Ω− | Ω0 | ε [%] | Ω− | Ω0 | ε [%] | Ω− | Ω0 | ε [%] | Ω− | Ω0 | ε [%] | |
| 0.2 | 0.2 | 0.02830 | 0.02738 | 3.36 | 0.03771 | 0.03811 | 1.05 | 0.04438 | 0.04445 | 0.16 | 0.04978 | 0.04977 | 0.02 |
| 0.5 | 0.02192 | 0.02120 | 3.40 | 0.02921 | 0.02951 | 1.02 | 0.03437 | 0.03443 | 0.17 | 0.03856 | 0.03855 | 0.03 | |
| 0.8 | 0.01853 | 0.01792 | 3.40 | 0.02469 | 0.02494 | 1.00 | 0.02905 | 0.02910 | 0.17 | 0.03259 | 0.03258 | 0.03 | |
| 1.0 | 0.01698 | 0.01642 | 3.41 | 0.02263 | 0.02286 | 1.01 | 0.02663 | 0.02667 | 0.15 | 0.02987 | 0.02986 | 0.03 | |
| 0.5 | 0.2 | 0.02565 | 0.02662 | 3.64 | 0.03185 | 0.03173 | 0.38 | 0.03577 | 0.03570 | 0.20 | 0.03856 | 0.03855 | 0.03 |
| 0.5 | 0.02294 | 0.02380 | 3.61 | 0.02849 | 0.02838 | 0.39 | 0.03199 | 0.03193 | 0.19 | 0.03449 | 0.03448 | 0.03 | |
| 0.8 | 0.02094 | 0.02172 | 3.59 | 0.02601 | 0.02590 | 0.42 | 0.02920 | 0.02914 | 0.21 | 0.03148 | 0.03148 | 0.00 | |
| 1.0 | 0.01987 | 0.02060 | 3.54 | 0.02467 | 0.02457 | 0.41 | 0.02770 | 0.02765 | 0.18 | 0.02987 | 0.02986 | 0.03 | |
| 0.8 | 0.2 | 0.02908 | 0.02962 | 1.82 | 0.03055 | 0.03012 | 1.43 | 0.03168 | 0.03155 | 0.41 | 0.03259 | 0.03258 | 0.03 |
| 0.5 | 0.02810 | 0.02861 | 1.78 | 0.02951 | 0.02910 | 1.41 | 0.03061 | 0.03048 | 0.00 | 0.03148 | 0.03148 | 0.00 | |
| 0.8 | 0.02720 | 0.02770 | 1.81 | 0.02857 | 0.02818 | 1.38 | 0.02963 | 0.02951 | 0.41 | 0.03048 | 0.03048 | 0.00 | |
| 1.0 | 0.02665 | 0.02714 | 1.81 | 0.02800 | 0.02761 | 1.41 | 0.02904 | 0.02891 | 0.45 | 0.02987 | 0.02986 | 0.03 | |

- Using the finite element method, only the lower frequency parameters, obtained in the framework of the tolerance model, can be compared and justified.
- Differences between values of these parameters calculated using both methods are smaller than about 4% (3.64%) for the assumed geometrical and material parameters.
- Smaller differences between obtained results (below 1.5%) are for these plate strips, which are described by the ratio E″/E′ ≥ 0.5 (E″/E′ = 0.5, 0.75, 1) and various values of the ratios—γ = 0.2, 0.5, 0.8; ρ″/ρ′ = 0.2, 0.5, 0.8, 1.
- The biggest differences between calculated lower frequency parameters (above 3%) are for smaller values of the ratio E″/E′ (e.g., E″/E′ = 0.25) and some smaller values of the distribution parameter of material properties γ (e.g., γ = 0.2, 0.5).
References
- Kohn, R.V.; Vogelius, M. A new model of thin plates with rapidly varying thickness. Int. J. Solids Struct. 1984, 20, 333–350. [Google Scholar] [CrossRef]
- Matysiak, S.J.; Nagórko, W. Microlocal parameters in the modelling of microperiodic plates. Ing. Arch. 1989, 59, 434–444. [Google Scholar] [CrossRef]
- Saha, G.C.; Kalamkarov, A.L.; Georgiades, A.V. Effective elastic characteristics of honeycomb sandwich composite shells made of generally orthotropic materials. Compos. Part A Appl. Sci. Manufact. 2007, 38, 1533–1546. [Google Scholar] [CrossRef]
- Dallot, J.; Sab, K.; Foret, G. Limit analysis of periodic beams. Eur. J. Mech.-A/Sol. 2009, 28, 166–178. [Google Scholar] [CrossRef]
- Królak, M.; Kowal-Michalska, K.; Mania, R.J.; Świniarski, J. Stability and load carrying capacity of multi-cell thin-walled columns of rectangular cross-sections. J. Theor. Appl. Mech. 2009, 47, 435–456. [Google Scholar]
- Teter, A. Dynamic critical load based on different stability criteria for coupled buckling of columns with stiffened open cross-sections. Thin-Walled Struct. 2011, 49, 589–595. [Google Scholar] [CrossRef]
- Jasion, P.; Magnucka-Blandzi, E.; Szyc, W.; Magnucki, K. Global and local buckling of sandwich circular and beam-rectangular plates with metal foam core. Thin-Walled Struct. 2012, 61, 154–161. [Google Scholar] [CrossRef]
- Schmitz, A.; Horst, P. A finite element unit-cell method for homogenised mechanical properties of heterogeneous plates. Compos. Part A Appl. Sci. Manufact. 2014, 61, 23–32. [Google Scholar] [CrossRef]
- Brito-Santana, H.; Wang, Y.S.; Rodríguez-Ramos, R.; Bravo-Castillero, J.; Guinovart-Díaz, R.; Tita, V. A dispersive nonlocal model for shear wave propagation in laminated composites with periodic structures. Eur. J. Mech.-A/Sol. 2015, 49, 35–48. [Google Scholar] [CrossRef]
- Grygorowicz, M.; Magnucki, K.; Malinowski, M. Elastic buckling of a sandwich beam with variable mechanical properties of the core. Thin-Walled Struct. 2015, 87, 127–132. [Google Scholar] [CrossRef]
- Grygorowicz, M.; Magnucka-Blandzi, E. Mathematical modeling for dynamic stability of sandwich beam with variable mechanical properties of core. Appl. Math. Mech. 2016, 37, 361–374. [Google Scholar] [CrossRef]
- Fantuzzi, N.; Tornabene, F. Strong Formulation Isogeometric Analysis (SFIGA) for laminated composite arbitrarily shaped plates. Compos. Part B Eng. 2016, 96, 173–203. [Google Scholar] [CrossRef]
- Liu, B.; Ferreira, A.J.M.; Xing, Y.F.; Neves, A.M.A. Analysis of composite plates using a layerwise theory and a differential quadrature finite element method. Compos. Struct. 2016, 156, 393–398. [Google Scholar] [CrossRef]
- Sobhani, E.; Masoodi, A.R. Natural frequency responses of hybrid polymer/carbon fiber/FG-GNP nanocomposites paraboloidal and hyperboloidal shells based on multiscale approaches. Aerosp. Sci. Technol. 2021, 119, 107111. [Google Scholar] [CrossRef]
- Sobhani, E.; Masoodi, A.R. On the circumferential wave responses of connected elliptical-cylindrical shell-like submerged structures strengthened by nano-reinforcer. Ocean. Eng. 2022, 247, 110718. [Google Scholar] [CrossRef]
- Sobhani, E.; Moradi-Dastjerdi, R.; Behdinan, K.; Masoodi, A.R.; Ahmadi-Pari, A.R. Multifunctional trace of various reinforcements on vibrations of three-phase nanocomposite combined hemispherical-cylindrical shells. Compos. Struct. 2022, 279, 114798. [Google Scholar] [CrossRef]
- Jopek, H.; Strek, T. Torsion of a two-phased composite bar with helical distribution of constituents. Phys. Status Solidi 2017, 254, 1700050. [Google Scholar] [CrossRef]
- Brillouin, L. Wave Propagation in Periodic Structures; Dover Pub. Inc.: Dover, UK, 1953. [Google Scholar]
- Wu, Z.-J.; Li, F.-M.; Wang, Y.-Z. Vibration band gap properties of periodic Mindlin plate structure using the spectral element method. Meccanica 2014, 49, 725–737. [Google Scholar] [CrossRef]
- Zhou, X.Q.; Yu, D.Y.; Shao, X.; Wang, S.; Tian, Y.H. Band gap characteristics of periodically stiffened-thin-plate based on center-finite-difference-method. Thin-Walled Struct. 2014, 82, 115–123. [Google Scholar] [CrossRef]
- Zhou, X.Q.; Yu, D.Y.; Shao, X.; Wang, S.; Zhang, S.Q. Simplified-super-element-method for analyzing free flexural vibration characteristics of periodically stiffened-thin-plate filled with viscoelastic damping material. Thin-Walled Struct. 2015, 94, 234–252. [Google Scholar] [CrossRef]
- Cheng, Z.B.; Xu, Y.G.; Zhang, L.L. Analysis of flexural wave bandgaps in periodic plate structures using differential quadrature element method. Int. J. Mech. Sci. 2015, 100, 112–125. [Google Scholar] [CrossRef]
- Woźniak, C.; Wierzbicki, E. Averaging Techniques in Thermomechanics of Composite Solids. Tolerance Averaging Versus Homogenization; Publishing House of Częstochowa University of Technology: Częstochowa, Poland, 2000. [Google Scholar]
- Woźniak, C.; Michalak, B.; Jędrysiak, J. (Eds.) Thermomechanics of Microheterogeneous Solids and Structures. Tolerance Averaging Approach; Publishing House, Łódź University of Technology: Lodz, Poland, 2008. [Google Scholar]
- Wierzbicki, E.; Woźniak, C. On the dynamics of combined plane periodic structures. Arch. Appl. Mech. 2000, 70, 387–398. [Google Scholar] [CrossRef]
- Jędrysiak, J. On vibrations of thin plates with one-dimensional periodic structure. Int. J. Eng. Sci. 2000, 38, 2023–2043. [Google Scholar] [CrossRef]
- Michalak, B. The meso-shape functions for the meso-structural models of wavy-plates. ZAMM 2001, 81, 639–641. [Google Scholar] [CrossRef]
- Nagórko, W.; Woźniak, C. Nonasymptotic modelling of thin plates reinforced by a system of stiffeners. Electr. J. Polish Agric. Univ. Civil Eng. 2002, 5, 8. [Google Scholar]
- Baron, E. On dynamic behaviour of medium-thickness plates with uniperiodic structure. Arch. Appl. Mech. 2003, 73, 505–516. [Google Scholar] [CrossRef]
- Jędrysiak, J. The length-scale effect in the buckling of thin periodic plates resting on a periodic Winkler foundation. Meccanica 2003, 38, 435–451. [Google Scholar] [CrossRef]
- Mazur-Śniady, K.; Woźniak, C.; Wierzbicki, E. On the modelling of dynamic problems for plates with a periodic structure. Arch. Appl. Mech. 2004, 74, 179–190. [Google Scholar] [CrossRef]
- Tomczyk, B. A non-asymptotic model for the stability analysis of thin biperiodic cylindrical shells. Thin-Walled Struct. 2007, 45, 941–944. [Google Scholar] [CrossRef]
- Tomczyk, B. Dynamic stability of micro-periodic cylindrical shells. Mech. Mech. Eng. 2010, 14, 137–150. [Google Scholar]
- Jędrysiak, J.; Paś, A. Dynamics of medium thickness plates interacting with a periodic Winkler’s foundation: Non-asymptotic tolerance modeling. Meccanica 2014, 49, 1577–1585. [Google Scholar] [CrossRef][Green Version]
- Domagalski, Ł.; Jędrysiak, J. On the tolerance modelling of geometrically nonlinear thin periodic plates. Thin-Walled Struct. 2015, 87, 183–190. [Google Scholar] [CrossRef]
- Domagalski, Ł.; Jędrysiak, J. Geometrically nonlinear vibrations of slender meso-periodic beams. The tolerance modeling approach. Compos. Struct. 2016, 136, 270–277. [Google Scholar] [CrossRef]
- Marczak, J.; Jędrysiak, J. Some remarks on modelling of vibrations of periodic sandwich structures with inert core. Compos. Struct. 2018, 202, 752–758. [Google Scholar] [CrossRef]
- Jędrysiak, J. Modelling of Vibrations and Stability for Periodic Slender Visco-Elastic Beams on a Foundation with Damping. Revisiting. Materials 2020, 13, 3939. [Google Scholar] [CrossRef]
- Marczak, J.; Michalak, B.; Wirowski, A. A multi-scale analysis of stress distribution in thin composite plates with dense system of ribs in two directions. Adv. Eng. Softw. 2021, 153, 102960. [Google Scholar] [CrossRef]
- Michalak, B.; Wirowski, A. Dynamic modelling of thin plate made of certain functionally graded materials. Meccanica 2012, 47, 1487–1498. [Google Scholar] [CrossRef][Green Version]
- Wirowski, A.; Michalak, B.; Gajdzicki, M. Dynamic modelling of annular plates of functionally graded structure resting on elastic heterogeneous foundation with two modules. J. Mech. 2015, 31, 493–504. [Google Scholar] [CrossRef]
- Perliński, W.; Gajdzicki, M.; Michalak, B. Modelling of annular plates stability with functionally graded structure interacting with elastic heterogeneous subsoil. J. Theor. Appl. Mech. 2014, 52, 485–498. [Google Scholar]
- Michalak, B. 2D tolerance and asymptotic models in elastodynamics of a thin-walled structure with dense system of ribs. Arch. Civ. Mech. Eng. 2015, 15, 449–455. [Google Scholar] [CrossRef]
- Rabenda, M.; Michalak, B. Natural vibrations of prestressed thin functionally graded plates with dense system of ribs in two directions. Compos. Struct. 2015, 133, 1016–1023. [Google Scholar] [CrossRef]
- Ostrowski, P.; Michalak, B. The combined asymptotic-tolerance model of heat conduction in a skeletal micro-heterogeneous hollow cylinder. Compos. Struct. 2015, 134, 343–352. [Google Scholar] [CrossRef]
- Ostrowski, P.; Michalak, B. A contribution to the modelling of heat conduction for cylindrical composite conductors with non-uniform distribution of constituents. Int. J. Heat Mass Transf. 2016, 92, 435–448. [Google Scholar] [CrossRef]
- Pazera, E.; Jędrysiak, J. Effect of microstructure in thermoelasticity problems of functionally graded laminates. Compos. Struct. 2018, 202, 296–303. [Google Scholar] [CrossRef]
- Jędrysiak, J. Tolerance modelling of free vibration frequencies of thin functionally graded plates with one-directional microstructure. Compos. Struct. 2017, 161, 453–468. [Google Scholar] [CrossRef]
- Jędrysiak, J. Tolerance modelling of free vibrations of medium thickness functionally graded plates. Compos. Struct. 2018, 202, 1253–1262. [Google Scholar] [CrossRef]
- Tomczyk, B.; Szczerba, P. Tolerance and asymptotic modelling of dynamic problems for thin microstructured transversally graded shells. Compos. Struct. 2017, 162, 365–373. [Google Scholar] [CrossRef]
- Tomczyk, B.; Szczerba, P. Combined asymptotic-tolerance modelling of dynamic problems for functionally graded shells. Compos. Struct. 2018, 183, 176–184. [Google Scholar] [CrossRef]
- Tomczyk, B.; Szczerba, P. A new asymptotic-tolerance model of dynamic and stability problems for longitudinally graded cylindrical shells. Compos. Struct. 2018, 202, 473–481. [Google Scholar] [CrossRef]
- Jędrysiak, J.; Kaźmierczak-Sobińska, M. Theoretical Analysis of Buckling for Functionally Graded Thin Plates with Microstructure Resting on an Elastic Foundation. Materials 2020, 13, 4031. [Google Scholar] [CrossRef]



















Publisher’s Note: MDPI stays neutral with regard to jurisdictional claims in published maps and institutional affiliations. |
© 2022 by the author. Licensee MDPI, Basel, Switzerland. This article is an open access article distributed under the terms and conditions of the Creative Commons Attribution (CC BY) license (https://creativecommons.org/licenses/by/4.0/).
Share and Cite
Jędrysiak, J. The Effect of the Material Periodic Structure on Free Vibrations of Thin Plates with Different Boundary Conditions. Materials 2022, 15, 5623. https://doi.org/10.3390/ma15165623
Jędrysiak J. The Effect of the Material Periodic Structure on Free Vibrations of Thin Plates with Different Boundary Conditions. Materials. 2022; 15(16):5623. https://doi.org/10.3390/ma15165623
Chicago/Turabian StyleJędrysiak, Jarosław. 2022. "The Effect of the Material Periodic Structure on Free Vibrations of Thin Plates with Different Boundary Conditions" Materials 15, no. 16: 5623. https://doi.org/10.3390/ma15165623
APA StyleJędrysiak, J. (2022). The Effect of the Material Periodic Structure on Free Vibrations of Thin Plates with Different Boundary Conditions. Materials, 15(16), 5623. https://doi.org/10.3390/ma15165623

