Experimental Studies of the Effect of Microencapsulated PCM Slurry on the Efficiency of a Liquid Solar Collector
Abstract
:1. Introduction
2. The Current State of Knowledge
3. Experiment
3.1. The Test Facility
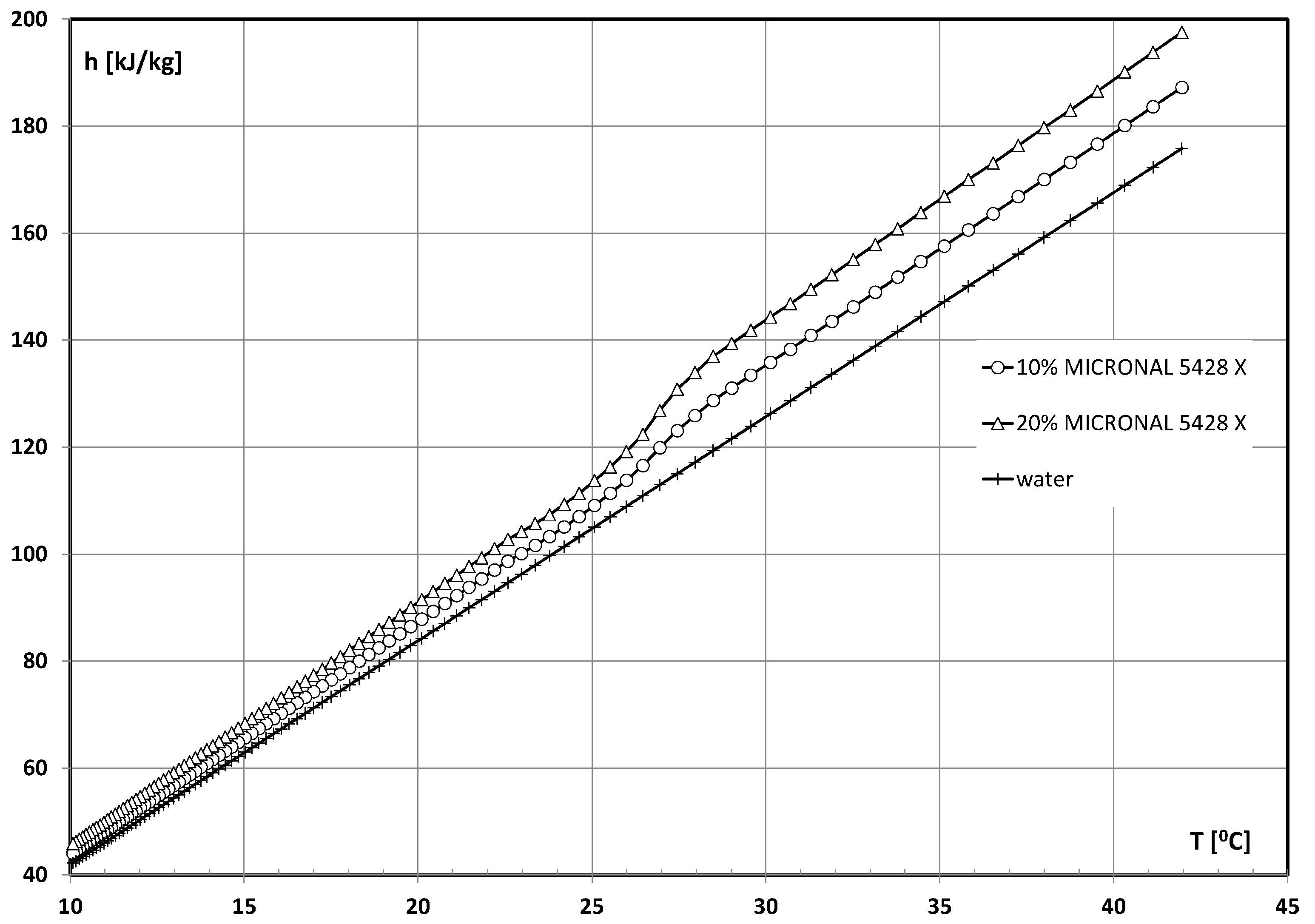
3.2. Working Fluid
3.3. Data Reduction
4. Results of Experimental Research
5. Summary and Conclusions
Author Contributions
Funding
Institutional Review Board Statement
Informed Consent Statement
Data Availability Statement
Conflicts of Interest
References
- Youssef, Z.; Delahaye, A.; Huang, L.; Trinquet, F.; Fournaison, L.; Pollerberg, C.; Doetsch, C. State of the art on phase change material slurries. Energy Convers. Manag. 2013, 65, 120–132. [Google Scholar] [CrossRef]
- Xu, L.; Pu, L.; Zhang, S.; Ma, Z. Thermo-fluidic performance of microencapsulated phase change material slurry in thermal energy storage. J. Energy Storage 2021, 43, 103247. [Google Scholar] [CrossRef]
- Shin, D.H.; Kim, S.; Karng, S.W.; Shin, Y. Development of a new type of PCM thermal capsule transport system. Int. J. Heat Mass Transf. 2022, 183, 122034. [Google Scholar] [CrossRef]
- Xu, B.; Zhou, J.; Ni, Z.; Zhang, C.; Lu, C. Synthesis of novel microencapsulated phase change materials with copper and copper oxide for solar energy storage and photo-thermal conversion. Sol. Energy Mater. Sol. Cells 2018, 179, 87–94. [Google Scholar] [CrossRef]
- Vikram, M.P.; Kumaresan, V.; Christopher, S.; Velraj, R. Experimental studies on solidification and subcooling characteristics of water-based phase change material (PCM) in a spherical encapsulation for cool thermal energy storage applications. Int. J. Refrig. 2019, 100, 454–462. [Google Scholar] [CrossRef]
- Chen, H.; Gong, Y.; Wei, P.; Nie, P.; Xiong, Y.; Wang, C. Experimental study on the performance of a phase change slurry-based heat pipe solar photovoltaic/thermal cogeneration system. Int. J. Photoenergy 2019, 2019, 9579357. [Google Scholar] [CrossRef]
- Li, Y.; Zhu, N.; Lv, S. Experimental study of phase change materials coupled solar thermal energy for building heating in winter. IOP Conf. Ser. Earth Environ. Sci. 2019, 237, 042010. [Google Scholar] [CrossRef]
- Thakur, A.; Kumar, R.; Kumar, S.; Kumar, P. Review of developments on flat plate solar collectors for heat transfer enhancements using phase change materials and reflectors. Mater. Today Proc. 2021, 45, 5449–5455. [Google Scholar] [CrossRef]
- Palacio, M.; Rincón, A.; Carmona, M. Experimental comparative analysis of a flat plate solar collector with and without PCM. Sol. Energy 2020, 206, 708–721. [Google Scholar] [CrossRef]
- Essa, M.A.; Mostafa, N.H.; Ibrahim, M.M. An experimental investigation of the phase change process effects on the system performance for the evacuated tube solar collectors integrated with PCMs. Energy Convers. Manag. 2018, 177, 1–10. [Google Scholar] [CrossRef]
- Aramesh, M.; Shabani, B. On the integration of phase change materials with evacuated tube solar thermal collectors. Renew. Sustain. Energy Rev. 2020, 132, 110135. [Google Scholar] [CrossRef]
- Kong, X.; Wang, L.; Li, H.; Yuan, G.; Yao, C. Experimental study on a novel hybrid system of active composite PCM wall and solar thermal system for clean heating supply in winter. Sol. Energy 2020, 195, 259–270. [Google Scholar] [CrossRef]
- Yousef, M.S.; Hassan, H. Energetic and exergetic performance assessment of the inclusion of phase change materials (PCM) in a solar distillation system. Energy Convers. Manag. 2019, 179, 349–361. [Google Scholar] [CrossRef]
- Lad, M.; Usadadia, N.; Paneliya, S.; Khanna, S.; Bhavsar, V.; Mukhopadhyay, I.; Joshi, D.; Ray, A.A. A systematic investigation on evaporation, condensation and production of sustainable water from novel-designed tubular solar still. In Proceedings of the 7th International Conference on Advances in Energy Research, Bombay, India, 10–12 December 2019; Springer: Cham, Switzerland, 2021; pp. 1121–1130. [Google Scholar]
- Shi, L.; Hu, Y.; Bai, Y.; He, Y. Dynamic tuning of magnetic phase change composites for solar-thermal conversion and energy storage. Appl. Energy 2020, 263, 114570. [Google Scholar] [CrossRef]
- Shojaeizadeh, E.; Veysi, F.; Zareinia, K.; Mansouri, A.M. Thermal efficiency of a ferrofluid-based flat-plate solar collector under the effect of non-uniform magnetic field. Appl. Therm. Eng. 2021, 201, 117726. [Google Scholar] [CrossRef]
- Liu, L.; Jia, Y.; Lin, Y.; Alva, G.; Fang, G. Performance evaluation of a novel solar photovoltaic–thermal collector with dual channel using microencapsulated phase change slurry as cooling fluid. Energy Convers. Manag. 2017, 145, 30–40. [Google Scholar] [CrossRef]
- Eisapour, M.; Eisapour, A.H.; Hosseini, M.J.; Talebizadehsardari, P. Exergy and energy analysis of wavy tubes photovoltaic-thermal systems using microencapsulated PCM nano-slurry coolant fluid. Appl. Energy 2020, 266, 114849. [Google Scholar] [CrossRef]
- Ali, S.; Mustafa, M. Barriers facing Micro-encapsulated Phase Change Materials Slurry (MPCMS) in Photovoltaic Thermal (PV/T) application. Energy Rep. 2020, 6, 565–570. [Google Scholar] [CrossRef]
- Hosseinzadeh, M.; Sardarabadi, M. Nanofluid and Phase Change Material Integrated into a Photovoltaic Thermal System Nanofluids heat transfer View project PVT cooling View project. Phase Chang. Mater. 2019. Available online: https://www.researchgate.net/publication/332878901 (accessed on 5 May 2022).
- Jia, Y.; Zhu, C.; Fang, G. Performance optimization of a photovoltaic/thermal collector using microencapsulated phase change slurry. Int. J. Energy Res. 2020, 44, 1812–1827. [Google Scholar] [CrossRef]
- Qiu, Z.; Ma, X.; Zhao, X.; Li, P.; Ali, S. Experimental investigation of the energy performance of a novel Micro-encapsulated Phase Change Material (MPCM) slurry based PV/T system. Appl. Energy 2016, 165, 260–271. [Google Scholar] [CrossRef]
- Fang, W.; Riffat, S.; Wu, Y. Experimental investigation of evacuated heat pipe solar collector efficiency using phase-change fluid. Int. J. Low-Carbon Technol. 2017, 12, 392–399. [Google Scholar] [CrossRef]
- Eames, P.C.; Griffiths, P.W. Thermal behaviour of integrated solar collector/storage unit with 65 °C phase change material. Energy Convers. Manag. 2016, 47, 3611–3618. [Google Scholar] [CrossRef]
- Ma, F.; Zhang, P. Heat Transfer Characteristics of a Volumetric Absorption Solar Collector using Nano-Encapsulated Phase Change Slurry. Heat Transf. Eng. 2018, 39, 1487–1497. [Google Scholar] [CrossRef]
- Charvát, P.; Klimeš, L.; Pech, O.; Hejčík, J. Solar air collector with the solar absorber plate containing a PCM—Environmental chamber experiments and computer simulations. Renew. Energy 2019, 143, 731–740. [Google Scholar] [CrossRef]
- Serale, G.; Baronetto, S.; Goia, F.; Perino, M. Characterization and energy performance of a slurry PCM-based solar thermal collector: A numerical analysis. Energy Procedia 2014, 48, 223–232. [Google Scholar] [CrossRef] [Green Version]
- Serale, G.; Goia, F.; Perino, M. Numerical model and simulation of a solar thermal collector with slurry Phase Change Material (PCM) as the heat transfer fluid. Sol. Energy 2016, 134, 429–444. [Google Scholar] [CrossRef]
- Liu, L.; Jia, Y.; Lin, Y.; Alva, G.; Fang, G. Numerical study of a novel miniature compound parabolic concentrating photovoltaic/thermal collector with microencapsulated phase change slurry. Energy Convers. Manag. 2017, 153, 106–114. [Google Scholar] [CrossRef]
- Baronetto, S.; Serale, G.; Goia, F.; Perino, M. Numerical model of a slurry PCM-based solar thermal collector. Lect. Notes Electr. Eng. 2014, 263, 13–20. [Google Scholar] [CrossRef]
- Prearo, G.; Serale, G.; Perino, M. Numerical model for solar thermal collectors and thermal energy storages based on phase change slurry. In Proceedings of the ISES Solar World Congress 2017 IEA SHC International Conference on Solar Heating and Cooling Buildings and Industry, Turin, Italy, 29 October–2 November 2017; pp. 2080–2090. [Google Scholar] [CrossRef]
- Unar, I.N.; Maitlo, G.; Ahmed, S.; Ali, S.S.; Memon, A.Q.; Kandhro, G.A.; Jatoi, A.S. Performance evaluation of solar flat plate collector using different working fluids through computational fluid dynamics. SN Appl. Sci. 2020, 2, 209. [Google Scholar] [CrossRef] [Green Version]
- Dutkowski, K.; Kruzel, M.; Bohdal, T. Experimental Studies of the Influence of Microencapsulated Phase Change Material on Thermal Parameters of a Flat Liquid Solar Collector. Energies 2021, 14, 5135. [Google Scholar] [CrossRef]
- Dutkowski, K.; Kruzel, M.; Zajączkowski, B.; Białko, B. The experimental investigation of mPCM slurries density at phase change temperature. Int. J. Heat Mass Transf. 2020, 159, 120083. [Google Scholar] [CrossRef]
- Dutkowski, K.; Kruzel, M.; Zajączkowski, B. Determining the Heat of Fusion and Specific Heat of Microencapsulated Phase Change Material Slurry by Thermal Delay Method. Energies 2020, 14, 179. [Google Scholar] [CrossRef]
- Dutkowski, K. Experimental Investigation of the Apparent Thermal Conductivity of Microencapsulated Phase-Change-Material Slurry at the Phase-Transition Temperature. Materials 2021, 14, 4124. [Google Scholar] [CrossRef]
- Dutkowski, K.; Kruzel, M. Microencapsulated PCM slurries’ dynamic viscosity experimental investigation and temperature-dependent prediction model. Int. J. Heat Mass Transf. 2019, 145, 118741. [Google Scholar] [CrossRef]
- Jouybari, H.J.; Saedodin, S.; Zamzamian, A.; Nimvari, M.E. Experimental investigation of thermal performance and entropy generation of a flat-plate solar collector filled with porous media. Appl. Therm. Eng. 2017, 127, 1506–1517. [Google Scholar] [CrossRef]
- Okonkwo, E.C.; Wole-Osho, I.; Kavaz, D.; Abid, M.; Al-Ansari, T. Thermodynamic evaluation and optimization of a flat plate collector operating with alumina and iron mono and hybrid nanofluids. Sustain. Energy Technol. Assess. 2020, 37, 100636. [Google Scholar] [CrossRef]








Publisher’s Note: MDPI stays neutral with regard to jurisdictional claims in published maps and institutional affiliations. |
© 2022 by the authors. Licensee MDPI, Basel, Switzerland. This article is an open access article distributed under the terms and conditions of the Creative Commons Attribution (CC BY) license (https://creativecommons.org/licenses/by/4.0/).
Share and Cite
Bohdal, T.; Dutkowski, K.; Kruzel, M. Experimental Studies of the Effect of Microencapsulated PCM Slurry on the Efficiency of a Liquid Solar Collector. Materials 2022, 15, 4493. https://doi.org/10.3390/ma15134493
Bohdal T, Dutkowski K, Kruzel M. Experimental Studies of the Effect of Microencapsulated PCM Slurry on the Efficiency of a Liquid Solar Collector. Materials. 2022; 15(13):4493. https://doi.org/10.3390/ma15134493
Chicago/Turabian StyleBohdal, Tadeusz, Krzysztof Dutkowski, and Marcin Kruzel. 2022. "Experimental Studies of the Effect of Microencapsulated PCM Slurry on the Efficiency of a Liquid Solar Collector" Materials 15, no. 13: 4493. https://doi.org/10.3390/ma15134493
APA StyleBohdal, T., Dutkowski, K., & Kruzel, M. (2022). Experimental Studies of the Effect of Microencapsulated PCM Slurry on the Efficiency of a Liquid Solar Collector. Materials, 15(13), 4493. https://doi.org/10.3390/ma15134493

