Impact of Rotor Material Wear on the Aluminum Refining Process
Abstract
:1. Introduction
2. Research Study and the Object
3. Research Results and Discussion
4. Conclusions
- −
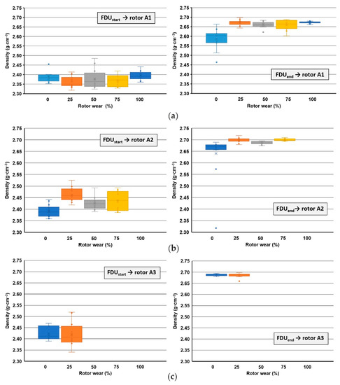
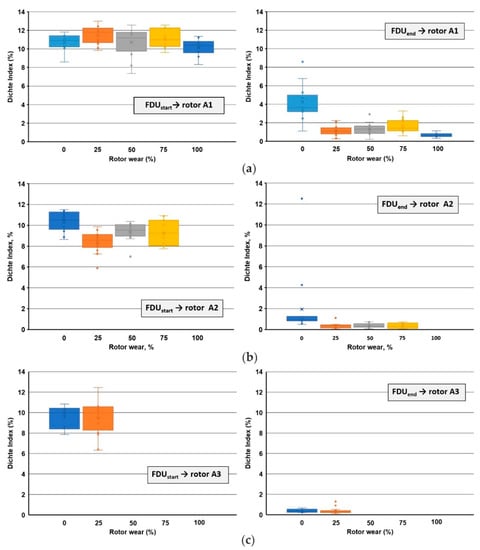
- There is a certain amount of moisture in the new rotor, which contributes to re-gasification; as the rotor wear increases, the degree of degassing of the metal bath increases, and thus, the porosity of the obtained cast samples decreases;
- −
- For the A1 impeller made of classic graphite impregnated with refractory material, the longest service life was observed: about 1100 refining cycles;
- −
- The A2 impeller, made of fine-grained graphite, also impregnated with refractory material, has a slightly shorter service life than the A1 impeller; the impeller survived about 900 refining cycles;
- −
- The worst impeller in terms of service life turned out to be the A3 impeller (SiC sprayed graphite); its wear is observed after less than 350 refining cycles, which means that there is no recommendation for further use.
Author Contributions
Funding
Institutional Review Board Statement
Informed Consent Statement
Data Availability Statement
Conflicts of Interest
References
- Sigworth, G.K. A scientific basis for degassing aluminum. AFS Trans. 1987, 95, 73–78. [Google Scholar]
- Siemensen, C.J.; Berg, G. A survey of inclussions in aluminium. Aluminum 1980, 56, 335–340. [Google Scholar]
- Zhang, L.; Lv, X.; Torgeson, A.T.; Long, M. Removal of impurity elements from molten aluminum: A review. Miner. Process. Extr. Metall. Rev. 2011, 32, 150–228. [Google Scholar] [CrossRef]
- Taylor, M.B. Molten metal fluxing/treatment: How best achieve the desired quality requirements. Aluminum 2003, 79, 44–50. [Google Scholar]
- Chateau, J.M. Latest trends in molten metal in-line treatment. Alum. Times 2003, 4, 34–35. [Google Scholar]
- Diaz, M.C.; Komarov, S.V.; Sano, M. Bubble behaviour and absorption rate in gas injection through rotary lances. ISIJ Int. 1997, 37, 1–8. [Google Scholar] [CrossRef]
- Johansen, S.; Graadahl, S.; Tetlie, P.; Rasch, B.; Myrbostad, E. Can rotor-based refining units be developed and optimized based on water model experiments? In Light Metals; TMS: Warrendale, PA, USA, 1998; pp. 805–810. [Google Scholar]
- Tovio, D.O.; Mugica, G.W.; González, A.C.; Cuyás, J.C. Formation and size of bubbles in degassing system of aluminum. AFS Trans. 2000, 108, 457–462. [Google Scholar]
- Hernández-Hernández, M.; Camacho-Martínez, J.L.; González-Rivera, C.; Ramírez-Argáez, M.A. Impeller design assisted by physical modeling and pilot plant trials. J. Mater. Process. Technol. 2016, 236, 1–8. [Google Scholar] [CrossRef]
- Michalek, K.; Socha, L.; Gryc, K.; Tkadleckova, M.; Saternus, M.; Pieprzyca, J.; Merder, T. Modelling of technological parameters of aluminium melt refining in the ladle by blowing of inert gas through the rotating impeller. Arch. Metall. Mater. 2018, 63, 987–992. [Google Scholar]
- Ramos Gomez, E.; Zenit, R.; González Rivera, C.; Trápaga, G.; Ramírez-Argáez, M.A. Mathematical modeling of fluid flow in a water physical model of an aluminum degassing ladle equipped with an impeller-injector. Metall. Mater. Trans. B 2013, 44B, 423–435. [Google Scholar] [CrossRef]
- Yamamoto, T.; Kato, K.; Komarov, S.V.; Ueno, Y.; Hayashi, M. Investigation of melt stirring in aluminum melting furnace through water model. J. Mater. Process. Technol. 2018, 259, 409–415. [Google Scholar] [CrossRef]
- Mi, G.F.; Liu, X.Y.; Wang, K.F.; Qi, S.P.; Wang, H.W.; Niu, J.T. Analyses of the influencing factors of rotating impeller degassing process and water simulation experiment. J. Mater. Sci. Forum 2008, 575–578, 1258–1265. [Google Scholar] [CrossRef]
- Camacho-Martínez, J.L.; Ramírez-Argáez, M.A.; Zenit-Camacho, R.; Juárez-Hernández, A.; Berceinas-Sanchez, J.O.; Trápaga-Martánez, G. Physical modelling of an aluminium degassing operation with rotating impellers—A comparative hydrodynamic analysis. Mater. Manuf. Process. 2010, 25, 581–591. [Google Scholar] [CrossRef]
- Chen, J.; Zhao, J. Bubble distribution in a melt treatment water model. In Light Metals; TMS: Warrendale, PA, USA, 1995; pp. 1227–1231. [Google Scholar]
- Saternus, M.; Merder, T. Numerical and physical modelling of aluminium refining process conducted in URO-200 reactor. Solid State Phenom. 2012, 191, 3–12. [Google Scholar] [CrossRef]
- Laux, H.; Bech, K. CFD modeling of bubble-driven flow. Int. J. Appl. Mech. Eng. 2002, 7, 329–359. [Google Scholar]
- Ruizhi, W.; Jun Wang, D.S.; Baode, S.; Milin, Z. Flow field and gas-bubble size analysis in water model for the process of aluminum melt degassing by particle image velocimetry. Mater. Sci. Forum. 2007, 546–549, 1087–1092. [Google Scholar]
- Warke, V.S.; Shankar, S.; Makhlouf, M.M. Mathematical modeling and computer simulation of molten aluminum cleansing by the rotating impeller degasser, Part II. Removal of hydrogen gas and solid particles. J. Mater. Process. Technol. 2005, 168, 119–126. [Google Scholar] [CrossRef]
- Wana, B.; Chena, W.; Mao, M.; Fu, Z.; Zhu, D. Numerical simulation of a stirring purifying technology for aluminum melt. J. Mater. Process. Technol. 2018, 251, 330–342. [Google Scholar] [CrossRef]
- Camacho-Martínez, J.; Ramírez-Argáez, M.; Juárez-Hernández, A.; González-Rivera, C.; Trápaga-Martínez, G. Novel degasification design for aluminum using an impeller degasification water physical model. Mater. Manuf. Process. 2012, 27, 556–560. [Google Scholar] [CrossRef]
- Yamamoto, T.; Suzuki, A.; Komarova, S.V.; Ishiwata, Y. Investigation of impeller design and flow structures in mechanical stirring of molten aluminum. J. Mater. Process. Technol. 2018, 261, 164–172. [Google Scholar] [CrossRef]
- Mancilla, E.; Cruz-Mendez, W.; Garduno, I.E.; Gonzalez-Rivera, C.; Ramirez-Argaez, M.A.; Ascanio, G. Comparison of the hydrodynamic performance of rotor-injector devices in a water physical model of an aluminum degassing ladle. Chem. Eng. Res. Des. 2017, 118, 158–169. [Google Scholar] [CrossRef]
- Saternus, M.; Merder, T. Physical modelling of aluminum refining process conducted in batch reactor with rotary impeller. Metals 2018, 8, 726. [Google Scholar] [CrossRef] [Green Version]
- Saternus, M. Physical Modelling of Phenomena Occurring during Refining Process of Fe and Al Solutions by Means of Inert Gases; Silesian University of Technology: Gliwice, Poland, 2020. [Google Scholar]
- González-Ciordia, B.; Fernández, B.; Artola, G.; Muro, M.; Sanz, Á.; López de Lacalle, L.N. Failure-Analysis Based Redesign of Furnace Conveyor System Components: A Case Study. Metals 2019, 9, 816. [Google Scholar] [CrossRef] [Green Version]
- Fernández, B.; González, B.; Artola, G.; López de Lacalle, N.; Angulo, C. A Quick Cycle Time Sensitivity Analysis of Boron Steel Hot Stamping. Metals 2019, 9, 235. [Google Scholar] [CrossRef] [Green Version]
- Gaitonde, V.N.; Karnik, S.R.; Davim, J.P. Taguchi multiple-performance characteristics optimization in drilling of medium density fibreboard (MDF) to minimize delamination using utility concept. J. Mater. Process. Technol. 2008, 196, 73–78. [Google Scholar] [CrossRef]








| Chemical Composition, wt % | |||||||||||
|---|---|---|---|---|---|---|---|---|---|---|---|
| Si | Fe | Cu | Mn | Mg | Cr | Ni | Zn | Pb | Sn | Ti | Al |
| 8.551 | 0.943 | 2.301 | 0.312 | 0.202 | 0.063 | 0.066 | 0.930 | 0.057 | 0.021 | 0.041 | 86.48 |
| Parameter of Refining Process | Unit | |
|---|---|---|
| Refining time | 180 | s |
| Rotary impeller speed | 350 | rpm |
| Flow rate of gas | 17 | dm3⋅min−1 |
| Working height | 200 | mm |
| Designation | Characteristics of Materials | Parameters of Graphite Materials | ||||
|---|---|---|---|---|---|---|
| Graphite Type | Impregnation | SiC Spraying | Density, g·cm−3 | Flexural Strength, MPa | Porosity, % | |
| A1 | Classic graphite | Yes | No | 1.67–1.74 | 12.0–16.6 | 20.0–24.0 |
| A2 | Fine-grained graphite | Yes | No | 1.72–1.75 | 15.5–19.5 | 15.0 |
| A3 | Classic graphite | No | Yes | 1.67–1.74 | 12.0–16.6 | 20.0–24.0 |
| Experiment Series | Impeller Wear | The Beginnings of the Cycle | ||
|---|---|---|---|---|
| A1 | A2 | A3 | ||
| 1/VT | 0% | 0× | 0× | 0× |
| 2/VT | 25% | 287× | 366× | 343× |
| 3/VT | 50% | 500× | 607× | |
| 4/VT | 75% | 798× | 875× | |
| 5/VT | 100% | 1112× | ||
| Percentage Level of Rotor Wear, % | ||||
|---|---|---|---|---|
| 0% | 25% | 50% | 75% | 100% |
| Rotor A1 | ||||
![]() | ![]() | ![]() | ![]() | ![]() |
| Rotor A2 | ||||
![]() | ![]() | ![]() | ![]() | - |
| Rotor A3 | ||||
![]() | ![]() | - | - | - |
Publisher’s Note: MDPI stays neutral with regard to jurisdictional claims in published maps and institutional affiliations. |
© 2022 by the authors. Licensee MDPI, Basel, Switzerland. This article is an open access article distributed under the terms and conditions of the Creative Commons Attribution (CC BY) license (https://creativecommons.org/licenses/by/4.0/).
Share and Cite
Prášil, T.; Socha, L.; Gryc, K.; Svizelová, J.; Saternus, M.; Merder, T.; Pieprzyca, J.; Gráf, M. Impact of Rotor Material Wear on the Aluminum Refining Process. Materials 2022, 15, 4425. https://doi.org/10.3390/ma15134425
Prášil T, Socha L, Gryc K, Svizelová J, Saternus M, Merder T, Pieprzyca J, Gráf M. Impact of Rotor Material Wear on the Aluminum Refining Process. Materials. 2022; 15(13):4425. https://doi.org/10.3390/ma15134425
Chicago/Turabian StylePrášil, Tomáš, Ladislav Socha, Karel Gryc, Jana Svizelová, Mariola Saternus, Tomasz Merder, Jacek Pieprzyca, and Martin Gráf. 2022. "Impact of Rotor Material Wear on the Aluminum Refining Process" Materials 15, no. 13: 4425. https://doi.org/10.3390/ma15134425
APA StylePrášil, T., Socha, L., Gryc, K., Svizelová, J., Saternus, M., Merder, T., Pieprzyca, J., & Gráf, M. (2022). Impact of Rotor Material Wear on the Aluminum Refining Process. Materials, 15(13), 4425. https://doi.org/10.3390/ma15134425












