Effect of Sintering Temperature and Polarization on the Dielectric and Electrical Properties of La0.9Sr0.1MnO3 Manganite in Alternating Current
Abstract
:1. Introduction
2. Experimental Details
3. Results and Discussion
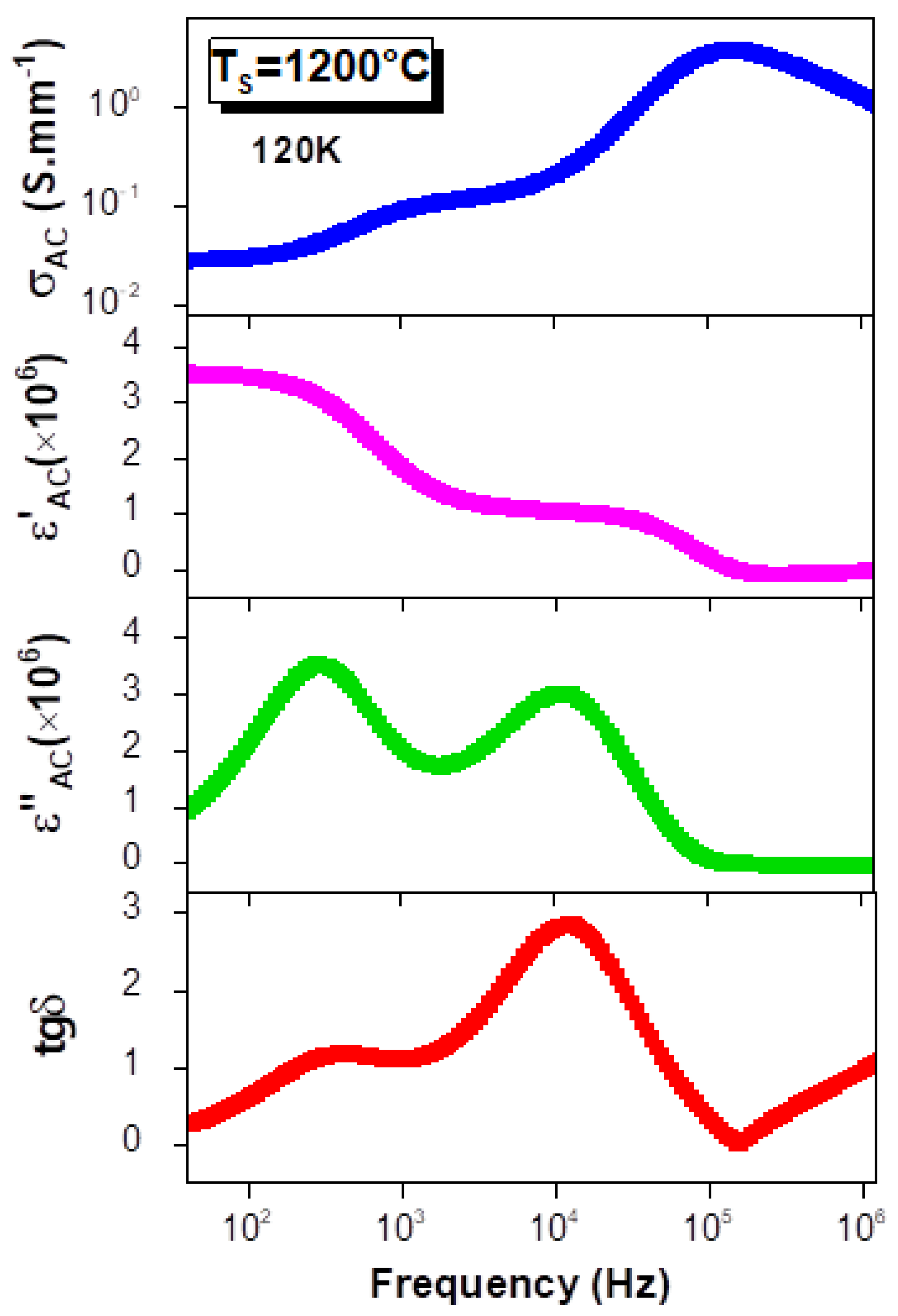
3.1. Frequency-Dependent AC-Conductivity Study
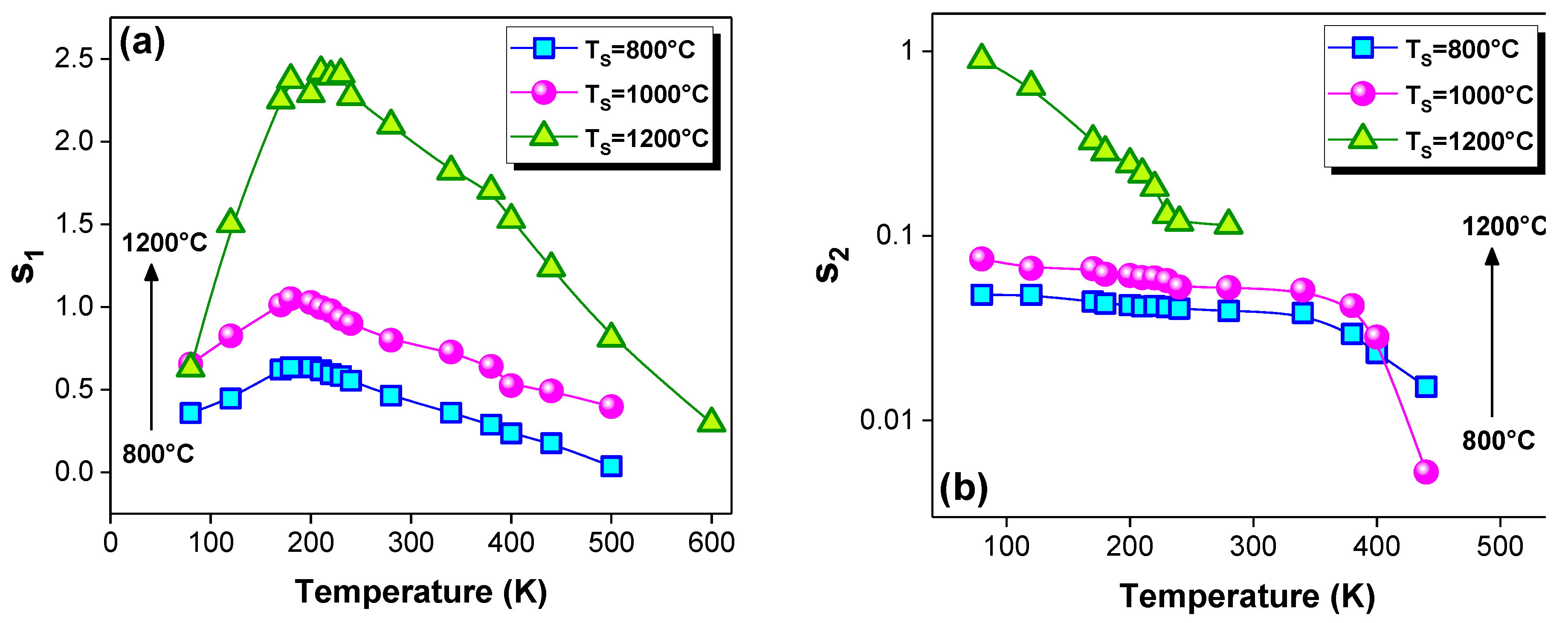
3.2. Polarization Effect
3.3. Dielectric Properties
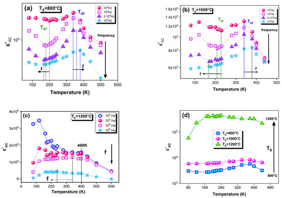
3.3.1. Frequency Dependence
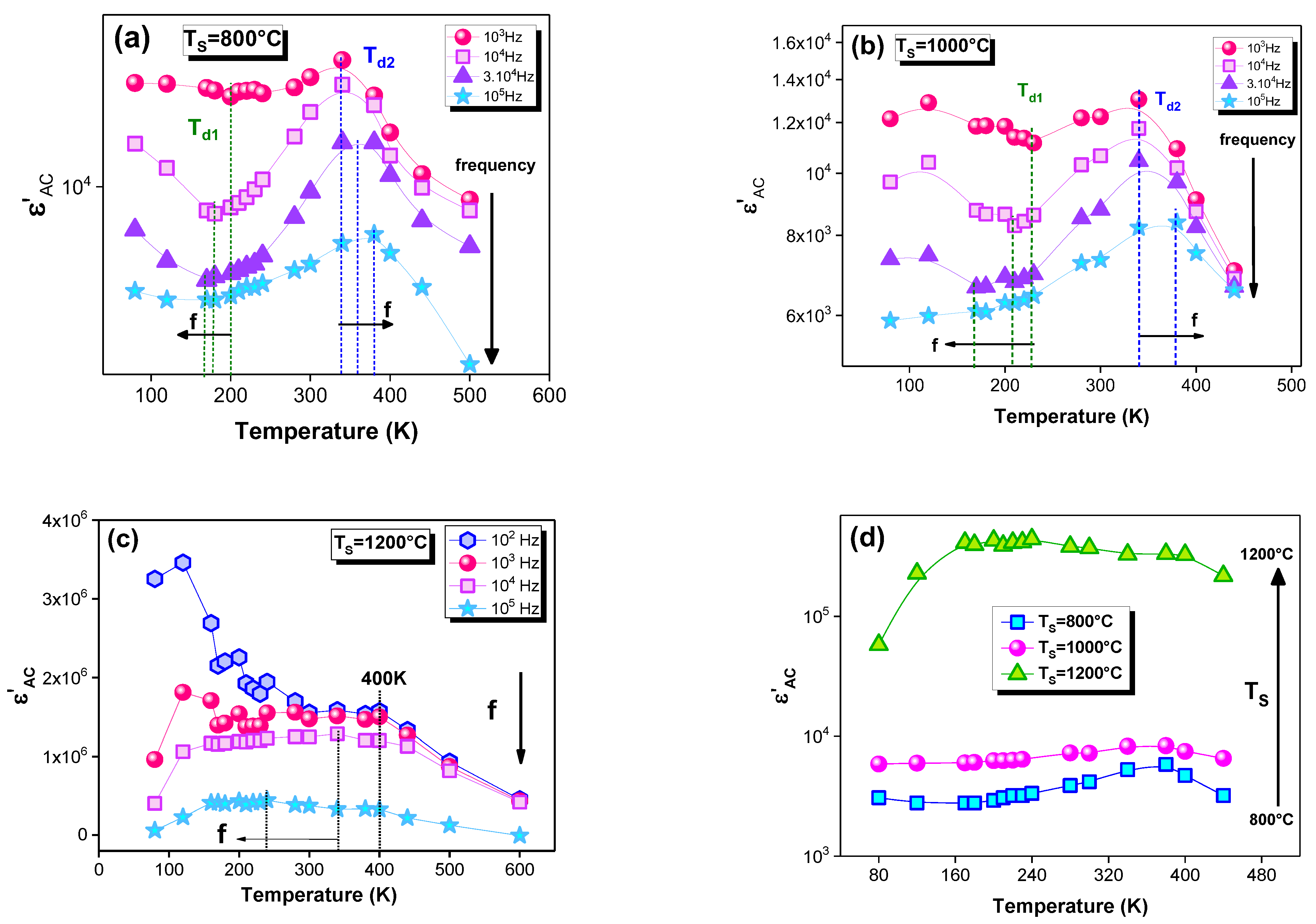
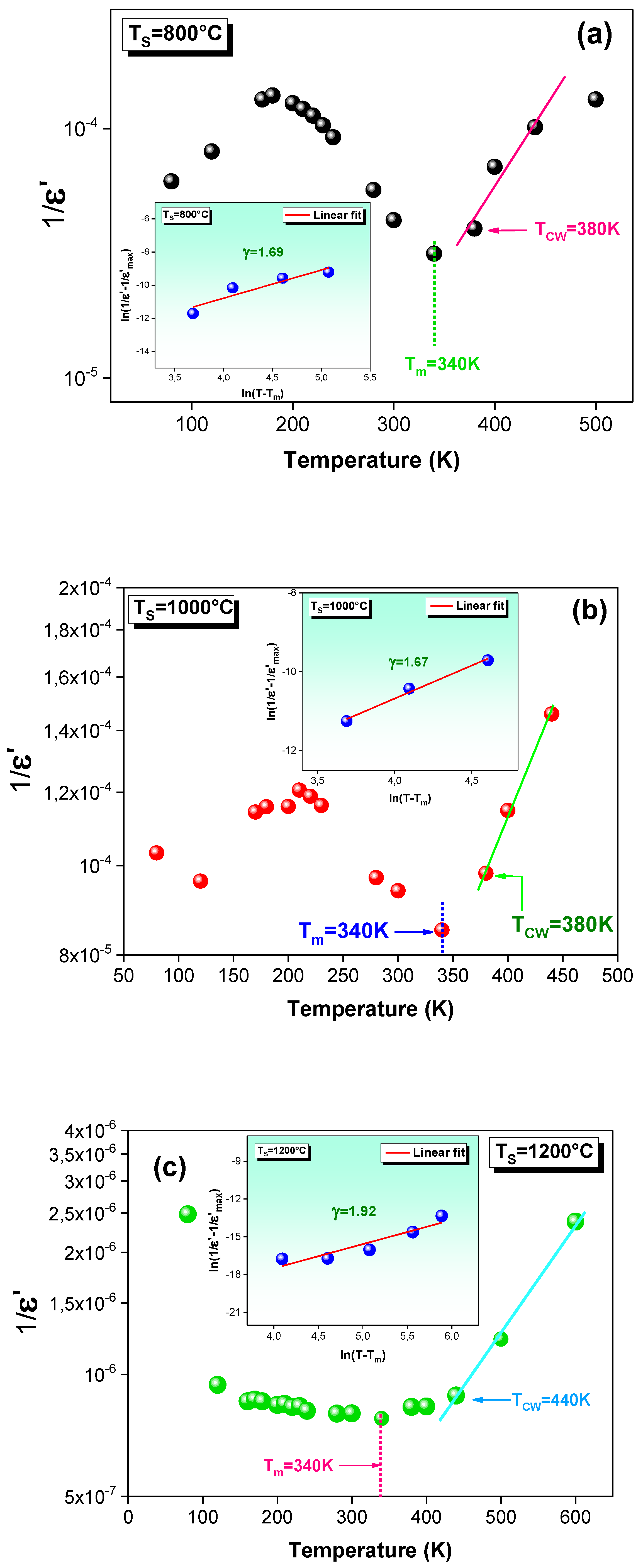
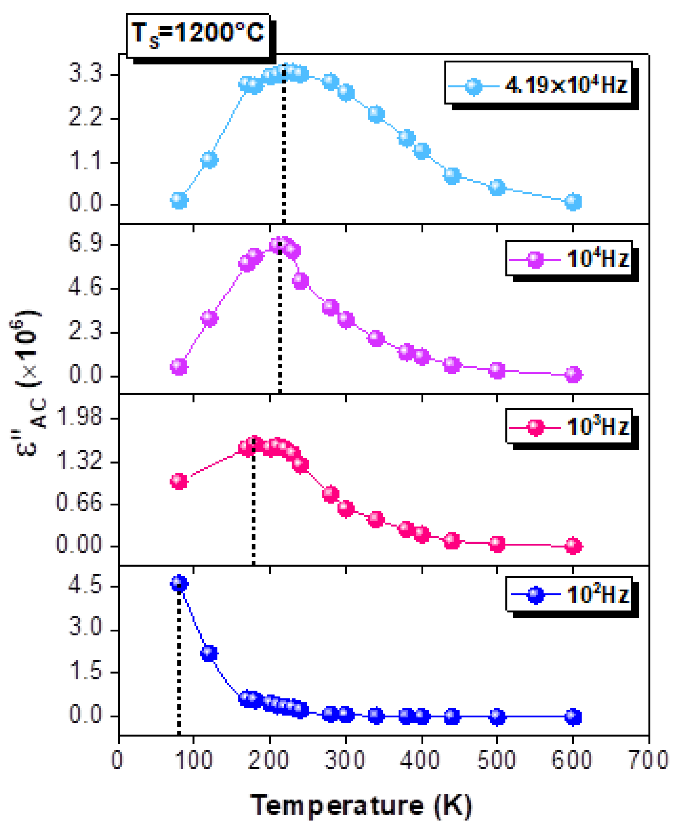
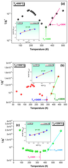
3.3.2. Temperature Dependence
4. Conclusions
Author Contributions
Funding
Institutional Review Board Statement
Informed Consent Statement
Data Availability Statement
Acknowledgments
Conflicts of Interest
References
- Kumari, S.; Rai, R.; Kumar, P.; Thakur, O.P.; Chatterjee, R. The effect of Eu dopant on the structural, dielectric and impedance properties of PrMnO3 manganite ceramics. J. Phys. Chem. Solids 2022, 160, 110365. [Google Scholar] [CrossRef]
- Moualhi, Y.; Rahmouni, H.; Gassoumi, M.; Khirouni, K. Summerfield scaling model and conduction processes defining the transport properties of silver substituted half doped (La–Ca) MnO3 ceramic. Ceramics Int. 2020, 46, 24710–24717. [Google Scholar] [CrossRef]
- Ali Mleiki, A.; Khlifi, H.; Rahmouni, N.; Guermazi, K.; Khirouni, E.K.; Hlil, A. Cheikhrouhou, Magnetic and dielectric properties of Ba-lacunar La0.5Eu0.2Ba0.3MnO3manganites synthesized using sol-gel method under different sintering temperatures. J. Magn. Magn. Mater. 2020, 502, 166571. [Google Scholar] [CrossRef]
- Rahmouni, H.; Smari, M.; Cherif, B.; Dhahri, E.; Khirouni, K. Conduction mechanism, impedance spectroscopic investigation and dielectric behavior of La0.5Ca0.5−xAgxMnO3 manganites with compositions below the concentration limit of silver solubility in perovskites (0 ≤ x ≤ 0.2). Dalton Trans. 2015, 44, 10457–10466. [Google Scholar] [CrossRef] [PubMed]
- Rahmouni, H.; Cherif, B.; Smari, M.; Dhahri, E.; Moutiaa, N.; Khirouni, K. Effect of exceeding the concentration limit of solubility of silver in perovskites on the dielectric and electric properties of half doped lanthanum-calcium manganite. Phys. B Phys. Condens. Matter. 2015, 473, 1–6. [Google Scholar] [CrossRef]
- Ghanem, R.; Nouira, W.; Gassoumi, M.; Belo, J.H.; Veloso, R.C.; Pereira, C.; Araujo, J.P.; Ventura, J.; Khirouni, K. Effect of Ti doping on the structural, morphological and magnetic properties of La0.7Ga0.3Fe1−xTixO3. Results Phys. 2021, 26, 104342. [Google Scholar] [CrossRef]
- Rahmouni, H.; Cherif, B.; Baazaoui, M.; Khirouni, K. Effects of iron concentrations on the electrical properties of La0.67Ba0.33Mn1−xFexO3. J. Alloys Compd. 2013, 575, 5–9. [Google Scholar] [CrossRef]
- Hizi, W.; Rahmouni, H.; Gorji, N.E.; Guesmi, A.; Ben Hamadi, N.; Khezami, L.; Gassoumi, M. Impact of Sintering Temperature on the Electrical Properties of La0.9Sr0.1MnO3 Manganite. Catalysts 2022, 12, 340. [Google Scholar] [CrossRef]
- Assoudi, N.; Hzez, W.; Dhahri, R.; Walha, I.; Rahmouni, H.; Khirouni, K.; Dhahri, E. Physical properties of Ag/Ca doped Lantanium manganite. J. Mater. Sci. Mater. Electron. 2018, 29, 20113–20121. [Google Scholar] [CrossRef]
- Ayachi, S.; Hzez, W.; Saadi, M.; Rahmouni, H.; Gassoumi, M.; Khirouni, K.; Alaya, S. Effect of replacing Fe with Ti on the electrical and dielectricproperties of orthoferrite La0.7Ga0.3Fe1−xTixO3 (x = 0, 0.1, 0.2, and 0.3). Phase Transit. 2020, 93, 741–758. [Google Scholar] [CrossRef]
- Venkataiah, G.; Venugopal Reddy, P.; Prasad, V. Structure and electrical transport of some Cd-doped La0.67Sr0.33MnO3 manganites. Phys. Status Solidi A 2006, 203, 2478–2487. [Google Scholar] [CrossRef]
- Baaziz, H.; Tozri, A.; Dhahri, E.; Hlil, E.K. Size-induced Griffiths phase-like in ferromagnetic metallic La0.67Sr0.33MnO3 nanoparticles. J. Magn. Magn. Mater. 2016, 403, 181–187. [Google Scholar] [CrossRef]
- Varshney, D.; Mansuri, I.; Kaurav, N. Interpretation of Thermal Conductivity in the Ferromagnetic Metallic Phase of La0.83Sr0.17MnO3Manganites: Scattering of Phonons and Magnons. J. Low Temp. Phys. 2009, 155, 177–199. [Google Scholar] [CrossRef]
- Rahmouni, H.; Nouiri, M.; Jemai, R.; Kallel, N.; Rzigua, F.; Selmi, A.; Khirouni, K.; Alaya, S. Electrical conductivity and complex impedance analysis of 20% Ti-doped La0.7Sr0.3MnO3 perovskite. J. Magn. Magn. Mater. 2007, 316, 23–28. [Google Scholar] [CrossRef]
- Rahmouni, H.; Jemai, R.; Nouiri, M.; Kallel, N.; Rzigua, F.; Selmi, A.; Khirouni, K.; Alaya, S. Admittance spectroscopy and complex impedance analysis of Ti-modified La0.7Sr0.3MnO3. J. Cryst. Growth 2008, 310, 556–561. [Google Scholar] [CrossRef]
- Rahmouni, H.; Jemai, R.; Kallel, N.; Selmi, A.; Khirouni, K. Titanium effects on the transport properties in La0.7Sr0.3Mn1−xTixO3. J. Alloys Compd. 2010, 497, 1–5. [Google Scholar] [CrossRef]
- Rahmouni, H.; Selmi, A.; Khirouni, K.; Kallel, N. Chromium effects on the transport properties in La0.7Sr0.3Mn1−xCrxO3. J. Alloys Compd. 2012, 533, 93–96. [Google Scholar] [CrossRef]
- Sacanell, J.; Hernández Sánchez, J.; Rubio Lopez, A.E.; Martinelli, H.; Siepe, J.; Leyva, A.G.; Lamas, D.G. Oxygen Reduction Mechanisms in Nanostructured La0.8Sr0.2MnO3 Cathodes for Solid Oxide Fuel Cells. J. Phys. Chem. 2017, 121, 6533–6539. [Google Scholar] [CrossRef] [Green Version]
- Uskoković, V.; Košak, A.; Drofenik, M. Silica-coated lanthanum–strontium manganites for hyperthermia treatments. Mater. Lett. 2006, 60, 2620–2622. [Google Scholar] [CrossRef] [Green Version]
- Thorat, N.D.; Khot, V.M.; Salunkhe, A.B.; Ningthoujam, R.S.; Pawar, S.H. Functionalization of La0.7Sr0.3MnO3 nanoparticles with polymer: Studies on enhanced hyperthermia and biocompatibility properties for biomedical applications. Coll. Surf. B Biointerfaces 2013, 104, 40–47. [Google Scholar] [CrossRef]
- Balcells, L.I.; Enrich, R.; Mora, J.; Calleja, A.; Fontcuberta, J.; Obradors, X. Manganese perovskites: Thick film based position sensors fabrication. Appl. Phys. Lett. 1996, 69, 1486–1488. [Google Scholar] [CrossRef]
- Urushibara, A.; Moritomo, Y.; Arima, T.; Asamitsu, A.; Kido, G.; Tokura, Y. Insulator-metal transition and giant magnetoresistance in La1−xSrxMnO3. Phys. Rev. B 1995, 51, 14103–14109. [Google Scholar] [CrossRef] [PubMed]
- Baaziz, H.; Tozri, A.; Dhahri, E.; Hlil, E.K. Effect of particle size reduction on the magnetic phase transition and the magnetocaloric properties in ferromagnetic insulator La0.9Sr0.1MnO3 nanoparticles. Chem. Phys. Lett. 2015, 625, 168–173. [Google Scholar] [CrossRef]
- Kumar, S.; Ram, I.; Kumar, A.; Kumar, U. Structural, optical, and low-temperature resistivity of Ca-doped PrMnO3 nanoparticles. Emerg. Mater. 2020, 3, 595–604. [Google Scholar] [CrossRef]
- Kossi, S.E.; Rayssi, C.; Dhahri, A.H.; Dhahri, J.; Khirouni, K. High dielectric constant and relaxor behavior in La0.7Sr0.25Na0.05Mn0.8Ti0.2O3 manganite. J. Alloys Compd. 2018, 767, 456–463. [Google Scholar] [CrossRef]
- Panda, B.; Routray, K.L.; Behera, D. Studies on conduction mechanism and dielectric properties of the nano-sized La0.7Ca0.3MnO3 (LCMO) grains in the paramagnetic state. Phys. B Condens. Matter. 2020, 583, 411967. [Google Scholar] [CrossRef]
- Jemaï, R.; Rahmouni, H.; Khirouni, K.; Alaya, S.; Cheikhrouhou, A. Frequency dependence of the hopping and disorder energies and conduction mechanisms in Cr-(Pr/Ca) MnO3. Phys. B Condens. Matter. 2020, 599, 412491. [Google Scholar] [CrossRef]
- Bourguiba, M.; Raddaoui, Z.; Dhahri, A.; Chafra, M.; Dhahri, J.; Garcia, M.A. Investigation of the conduction mechanism, high dielectric constant, and non-Debye-type relaxor in La0.67Ba0.25Ca0.08MnO3 manganite. J. Mater. Sci. Mater. Electron. 2020, 31, 11810–11818. [Google Scholar] [CrossRef]
- Baaziz, H.; Tozri, A.; Dhahri, E.; Hlil, E.K. Effect of particle size reduction on the structural, magnetic properties and the spin excitations in ferromagnetic insulator La0.9Sr0.1MnO3 nanoparticles. Ceram. Int. 2015, 41, 2955–2962. [Google Scholar] [CrossRef]
- Baaziz, H.; Tozri, A.; Dhahri, E.; Hlil, E.K. Size reduction effect on the critical behavior near the paramagnetic to ferromagnetic phase transition temperature in La0.9Sr0.1MnO3 nanoparticles. Solid State Commun. 2015, 208, 45–52. [Google Scholar] [CrossRef]
- Hizi, W.; Rahmouni, H.; Gassoumi, M.; Khirouni, K.; Dhahri, S. Transport properties of La0.9Sr0.1MnO3 manganite. Eur. Phys. J. Plus 2020, 135, 456. [Google Scholar] [CrossRef]
- Sangwan, K.M.; Ahlawat, N.; Rani, S.; Rani, S.; Kundu, R.S. Influence of Mn doping on electrical conductivity of lead free BaZrTiO3 perovskite ceramic. Ceram. Int. 2018, 44, 10315–10321. [Google Scholar] [CrossRef]
- Bruce, P. High and low frequency Jonscher behavior of an ionically conducting glass. Solid State Ionics 1985, 15, 247–251. [Google Scholar] [CrossRef]
- Coşkun, M.; Polat, Ö.; Coşkun, F.M.; Durmuş, Z.; Çağlar, M.; Türüt, A. Frequency and temperature dependent electrical and dielectric properties of LaCrO3 and Ir doped LaCrO3 perovskite compounds. J. Alloys Compd. 2018, 740, 1012–1023. [Google Scholar] [CrossRef]
- Jonscher, A.K.; Frost, M.S. Weakly frequency-dependent electrical conductivity in a chalcogenide glass. Thin Solid Films 1976, 37, 267–273. [Google Scholar] [CrossRef]
- Jonscher, A.K. The universal dielectric response. Nature 1977, 267, 673–679. [Google Scholar] [CrossRef]
- Lee, K.; Cho, S.; Heum Park, S.; Heeger, A.J.; Lee, C.-W.; Lee, S.-H. Metallic transport in polyaniline. Nature 2006, 441, 65–68. [Google Scholar] [CrossRef]
- Rahmouni, H.; Cherif, B.; Khirouni, K.; Baazaoui, M.; Zemni, S. Influence of polarization and iron content on the transport properties of praseodymium–barium manganite. J. Phys. Chem. Sol. 2016, 88, 35–40. [Google Scholar] [CrossRef]
- Ghosh, A. Frequency-dependent conductivity in bismuth-vanadate glassy semi-conductors. Phys. Rev. B 1990, 41, 1479–1488. [Google Scholar] [CrossRef]
- Elliott, S.R. AC conduction in amorphous chalcogenide and pnictide semiconductors. Adv. Phys. 1987, 36, 135–217. [Google Scholar] [CrossRef]
- Ghosh, A. Transport properties of vanadium germanate glassy semiconductors. Phys. Rev. B 1990, 42, 5665–5676. [Google Scholar] [CrossRef] [PubMed]
- Koops, C.G. On the Dispersion of Resistivity and Dielectric Constant of Some Semiconductors at Audiofrequencies. Phys. Rev. 1951, 83, 121–124. [Google Scholar] [CrossRef]
- Husain, S.; Bhat, I.; Khan, W.; Al-Khataby, L. Structural and dielectric properties of La0.8Te0.2MnO3. Solid State Commun. 2013, 157, 29–33. [Google Scholar] [CrossRef]
- Ortega, N.; Kumar, A.; Bhattacharya, P.; Majumder, S.B.; Katiyar, R.S. Impedance spectroscopy of multiferroic PbZrxTi1−xO3/CoFe2O4 layered thin films. Phys. Rev. B 2008, 77, 014111. [Google Scholar] [CrossRef]
- Pu, Y.; Dong, Z.; Zhang, P.; Wu, Y.; Zhao, J.; Luo, Y. Dielectric, complex impedance and electrical conductivity studies of the multiferroic Sr2FeSi2O7-crystallized glass-ceramics. J. Alloys Compd. 2016, 672, 64–71. [Google Scholar] [CrossRef]
- Funke, K. Jump relaxation in solid electrolytes. Prog. Solid State Chem. 1993, 22, 111–195. [Google Scholar] [CrossRef]
- Schwaiger, D.; Lohstroh, W.; Müller-Buschbaum, P. Investigation of Molecular Dynamics of a PTB7:PCBM Polymer Blend with Quasi-Elastic Neutron Scattering. ACS Appl. Polym. Mater. 2020, 2, 3797–3804. [Google Scholar] [CrossRef]
- Funke, K.; Roling, B.; Lange, M. Dynamics of mobile ions in crystals, glasses and melts. Solid State Ionics 1998, 105, 195–208. [Google Scholar] [CrossRef]
- Funke, K. Jump Relaxation and Dynamic Conductivity in Solid Ion Conductors, Key Engineering Materials; Trans Tech Publications Ltd.: Bäch, Switzerland, 1991; Volume 59, pp. 1–20. [Google Scholar]
- Jankowska, I.A.; Pogorzelec-Glaser, K.; Ławniczak, P.; Matczak, M.; Pankiewicz, R. New liquid-free proton conductive nanocomposite based on imidazole-functionalized cellulose nanofibers. Cellulose 2021, 28, 843–854. [Google Scholar] [CrossRef]
- Funke, K. Is there a “Universal” Explanation for the “Universal” Dynamic Response? Ber. Bunsenges. Phys. Chem. 1991, 95, 955–964. [Google Scholar] [CrossRef]
- Odagawa, A.; Kanno, T.; Adachi, H.; Sato, H.; Inoue, I.H.; Akoh, H.; Tokura, Y. Temperature dependence of colossal electro-resistance of Pr0.7Ca0.3MnO3 thin films. Thin Solid Films 2005, 486, 75–78. [Google Scholar] [CrossRef]
- Ghatak, S.; Sinha, M.; Meikap, A.K.; Pradhan, S.K. Electrical transport behavior of nonstoichiometric magnesium-zinc ferrite. Mater. Res. Bull. 2010, 45, 954–960. [Google Scholar] [CrossRef]
- Mohan, R.; Kumar, N.; Singh, B.; Gaur, N.K.; Bhattacharya, S.; Rayaprol, S.; Singh, R.K. Colossal electroresistance in Sm0.55Sr0.45MnO3. J. Alloys Compd. 2010, 508, L32–L35. [Google Scholar] [CrossRef] [Green Version]
- Prakash, T.; Ramasamy, S.; Murty, B.S. Effect of DC bias on electrical conductivity of nanocrystalline α-CuSCN. AIP Adv. 2011, 1, 022107. [Google Scholar] [CrossRef]
- Kharrat, A.B.J.; Moutia, N.; Khirouni, K.; Boujelben, W. Investigation of electrical behavior and dielectric properties in polycristalline Pr0.8Sr0.2MnO3 manganite perovskite. Mater. Res. Bull. 2018, 105, 75–83. [Google Scholar] [CrossRef]
- Kharrat, A.B.J.; Bourouina, M.; Moutia, N.; Khirouni, K.; Boujelben, W. Gd doping effect on impedance spectroscopy properties of sol-gel prepared Pr0.5−xGdxSr0.5MnO3 (0 ≤ x ≤ 0.3) perovskites. J. Alloys Compd. 2018, 741, 723–733. [Google Scholar] [CrossRef]
- Ncib, W.; Kharrat, A.B.J.; Wederni, M.A.; Chniba-Boudjada, N.; Khirouni, K.; Boujelben, W. Investigation of structural, electrical and dielectric properties of sol-gel prepared La0.67−xEuxBa0.33Mn0.85Fe0.15O3 (x = 0.0, 0.1) manganites. J. Alloys Compd. 2018, 768, 249–262. [Google Scholar] [CrossRef]
- Hzez, W.; Rahmouni, H.; Dhahri, E.; Khirouni, K. Dielectric properties of niobium-based oxide. J. Alloys Compd. 2017, 725, 342–348. [Google Scholar] [CrossRef]
- Hench, L.L.; West, J.K. Principles of Electronic Ceramics; John Wiley and Sons: New York, NY, USA, 1990; p. 205. [Google Scholar]
- M’nassri, R.; Khelifi, M.; Rahmouni, H.; Selmi, A.; Khirouni, K.; Chniba-Boudjada, N.; Cheikhrouhou, A. Study of physical properties of cobalt substituted Pr0.7Ca0.3MnO3 ceramics. Ceram. Int. 2016, 42, 6145–6153. [Google Scholar] [CrossRef]
- Raddaoui, Z.; El Kossi, S.; Al-shahrani, T.; Bourguiba, M.; Dhahri, J.; Chafra, M.; Belmabrouk, H. Study of structural, conduction mechanism and dielectric behavior of La0.7Sr0.3Mn0.8Fe0.2O3 manganite. J. Mater. Sci. Mater. Electron. 2020, 31, 1–15. [Google Scholar] [CrossRef]
- Maxwell, J. Electricity and Magnetics; Oxford University Press: London, UK, 1873; Volume 1, p. 328. [Google Scholar]
- Wagner, K.W. Zurtheorie der unvollkommenendielektrika. Ann. Phys. 1913, 345, 817–855. [Google Scholar] [CrossRef]
- Hcini, S.; Selmi, A.; Rahmouni, H.; Omri, A.; Bouazizi, M.L. Structural, dielectric and complex impedance properties of T0.6Co0.4Fe2O4 (T = Ni, Mg) ferrite nanoparticles prepared by sol gel method. Ceram. Int. 2017, 43, 2529–2536. [Google Scholar] [CrossRef]
- Hsini, M.; Hamdaoui, N.; Hcini, S.; Bouazizi, M.L.; Zemni, S.; Beji, L. Effect of iron doping at Mn-site on complex impedance spectroscopy properties of Nd0.67Ba0.33MnO3 perovskite. Phase Transit. 2018, 91, 316–331. [Google Scholar] [CrossRef]
- Kharrat, A.B.J.; Moussa, S.; Moutiaa, N.; Khirouni, K.; Boujelben, W. Structural, electrical and dielectric properties of Bi-doped Pr0.8−xBixSr0.2MnO3 manganite oxides prepared by sol-gel process. J. Alloys Compd. 2017, 724, 389–399. [Google Scholar] [CrossRef]
- Barbier, T.; Autret-Lambert, C.; Honstrette, C.; Gervais, F.; Lethiecq, M. Dielectric properties of hexagonal perovskite ceramics prepared by different routes. Mater. Res. Bull. 2012, 47, 4427–4432. [Google Scholar] [CrossRef]
- Mohan, G.R.; Ravinder, D.; Reddy, A.C.R.; Boyanov, B.S. Dielectric properties of polycrystalline mixed nickel–zinc ferrites. Mater. Lett. 1999, 40, 39–45. [Google Scholar] [CrossRef]
- Lahouli, R.; Massoudi, J.; Smari, M.; Rahmouni, H.; Khirouni, K.; Dhahri, E.; Bessais, L. Investigation of annealing effects on the physical properties of Ni0.6Zn0.4Fe1.5Al0.5O4 ferrite. RSC Adv. 2019, 9, 19949–19964. [Google Scholar] [CrossRef] [Green Version]
- Smari, M.; Rahmouni, H.; Elghoul, N.; Walha, I.; Dhahri, E.; Khirouni, K. Electric–dielectric properties and complex impedance analysis of La0.5Ca0.5−xAgxMnO3manganites. RSC Adv. 2014, 5, 2177–2184. [Google Scholar] [CrossRef]
- Ang, C.; Yu, Z. Oxygen-vacancy-related low-frequency dielectric relaxation and electrical conduction in Bi: SrTiO3. Phys. Rev. B 2000, 62, 228–236. [Google Scholar] [CrossRef] [Green Version]
- Trabelsi, H.; Bejar, M.; Dhahri, E.; Sajieddine, M.; Khirouni, K.; Prezas, P.R.; Melo, B.M.G.; Valente, M.A.; Graça, M.P.F. Effect of oxygen vacancies on SrTiO3 electrical properties. J. Alloys Compd. 2017, 723, 894–903. [Google Scholar] [CrossRef]
- Trabelsi, H.; Bejar, M.; Dhahri, E.; Valente, M.A.; Graça, M.P.F. Oxygen-vacancy-related Giant permittivity and Ethanol sensing response in SrTiO3-δ ceramics. Phys. E Low-Dimensional Syst. Nanostruct. 2019, 108, 317–325. [Google Scholar] [CrossRef]
- Wang, Z.; Cao, M.; Yao, Z.; Zhang, Q.; Song, Z.; Hu, W.; Yu, Z. Giant permittivity and low dielectric loss of SrTiO3 ceramics sintered in nitrogen atmosphere. J. Eur. Ceram. Soc. 2014, 34, 1755–1760. [Google Scholar] [CrossRef]
- Hzez, W.; Benali, A.; Rahmouni, H.; Dhahri, E.; Khirouni, K.; Costa, B.F.O. Effects of oxygen deficiency on the transport and dielectric properties of NdSrNbO. J. Phys. Chem. Sol. 2018, 117, 1–12. [Google Scholar] [CrossRef]
- Benali, E.; Benali, M.A.; Bejar, M.; Dhahri, E.; Graca, M.P.F.; Valente, M.A.; Sanguino, P.; Costa, B.F.O. Effect of annealing temperature on structural, morphological and dielectric properties of La0.8Ba0.1Ce0.1FeO3 perovskite. J. Mater. Sci. Mater. Electron. 2020, 31, 16220–16234. [Google Scholar] [CrossRef]
- Udeshi, B.; Gadani, K.; Rathod, K.N.; Boricha, H.; Shrimali, V.G.; Solanki, S.; Shah, N.A. Effect of annealing environments on structural and electrical properties of La0.5Nd0.5MnO3manganites. Mater. Chem. Phys. 2020, 247, 122833. [Google Scholar] [CrossRef]
- Brizé, V.; Gruener, G.; Wolfman, J.; Fatyeyera, K.; Tabellout, M.; Gevais, M.; Gevais, F. Grain size effects on the dielectric constant of CaCu3Ti4O12 ceramics. Mater. Sci. Eng. B 2006, 129, 135–138. [Google Scholar] [CrossRef]
- Rao, B.P.; Rao, K.H. Effect of sintering conditions on resistivity and dielectric properties of Ni–Zn ferrites. J. Mater. Sci. 1997, 32, 6049–6054. [Google Scholar] [CrossRef]
- Uchino, K.; Nomura, S. Critical exponents of the dielectric constants in diffused-phase-transition crystals. Ferroelectrics 1982, 44, 55–61. [Google Scholar] [CrossRef]











Publisher’s Note: MDPI stays neutral with regard to jurisdictional claims in published maps and institutional affiliations. |
© 2022 by the authors. Licensee MDPI, Basel, Switzerland. This article is an open access article distributed under the terms and conditions of the Creative Commons Attribution (CC BY) license (https://creativecommons.org/licenses/by/4.0/).
Share and Cite
Hizi, W.; Gassoumi, M.; Rahmouni, H.; Guesmi, A.; Ben Hamadi, N.; Dhahri, E. Effect of Sintering Temperature and Polarization on the Dielectric and Electrical Properties of La0.9Sr0.1MnO3 Manganite in Alternating Current. Materials 2022, 15, 3683. https://doi.org/10.3390/ma15103683
Hizi W, Gassoumi M, Rahmouni H, Guesmi A, Ben Hamadi N, Dhahri E. Effect of Sintering Temperature and Polarization on the Dielectric and Electrical Properties of La0.9Sr0.1MnO3 Manganite in Alternating Current. Materials. 2022; 15(10):3683. https://doi.org/10.3390/ma15103683
Chicago/Turabian StyleHizi, Wided, Malek Gassoumi, Hedi Rahmouni, Ahlem Guesmi, Naoufel Ben Hamadi, and Essebti Dhahri. 2022. "Effect of Sintering Temperature and Polarization on the Dielectric and Electrical Properties of La0.9Sr0.1MnO3 Manganite in Alternating Current" Materials 15, no. 10: 3683. https://doi.org/10.3390/ma15103683
APA StyleHizi, W., Gassoumi, M., Rahmouni, H., Guesmi, A., Ben Hamadi, N., & Dhahri, E. (2022). Effect of Sintering Temperature and Polarization on the Dielectric and Electrical Properties of La0.9Sr0.1MnO3 Manganite in Alternating Current. Materials, 15(10), 3683. https://doi.org/10.3390/ma15103683

