The Uncertainty Propagation for Carbon Atomic Interactions in Graphene under Resonant Vibration Based on Stochastic Finite Element Model
Abstract
:1. Introduction
2. Method Description
2.1. Geometrical Configuration
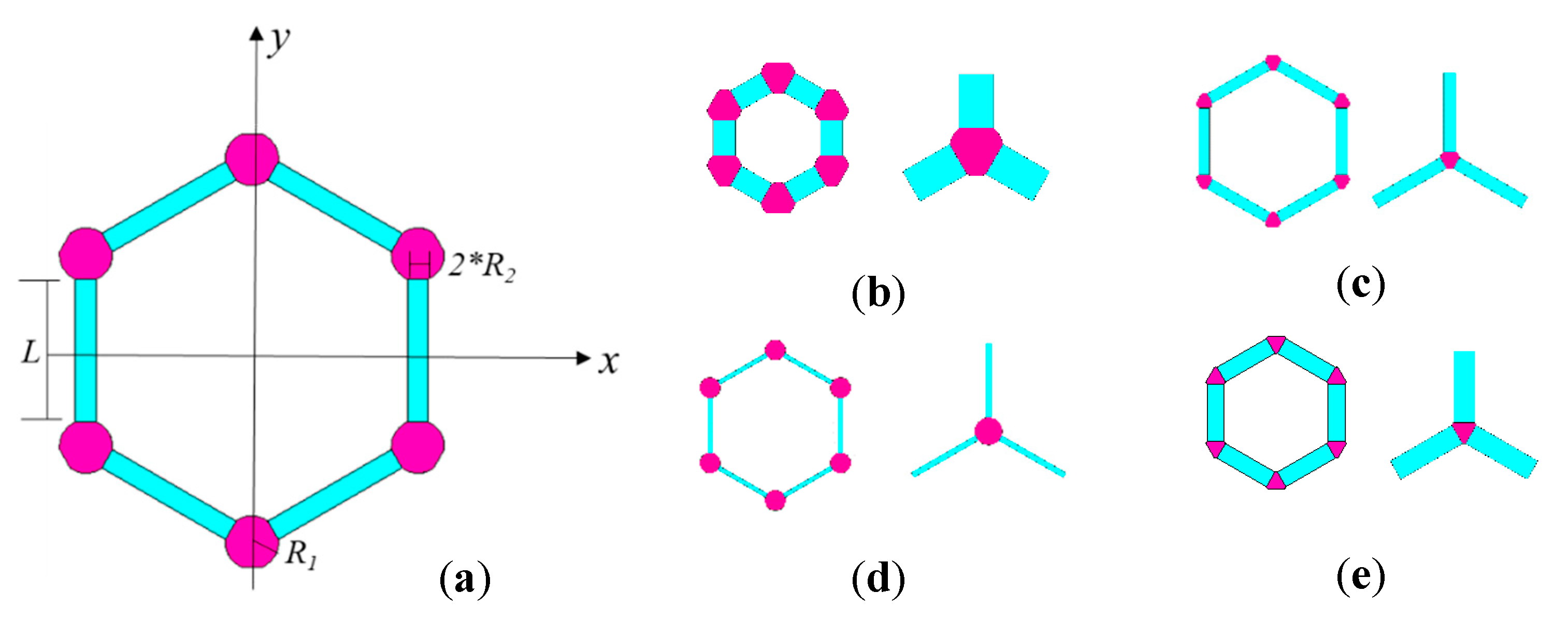
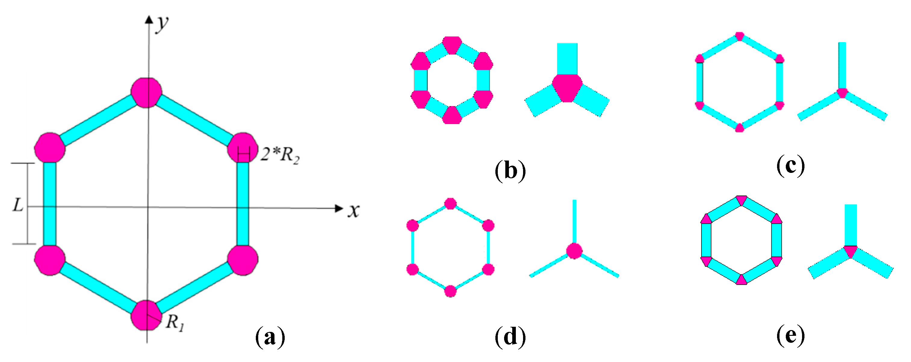
- (a)
- The finite plane element model projects the precise three-dimensional structure in Figure 1a into the two-dimensional x-y plane, which is more computationally economic than three-dimensional models, but is more sophisticated than the truss or beam finite element model;
- (b)
- The finite plane element model is an advanced method with a similar computational competence to the truss and beam finite element model of graphene, as shown in Figure 1b. However, the finite plane element model includes not only the carbon covalent bonds but also the carbon atoms;
- (c)
- The related geometrical parameters in the finite plane element model presented in Figure 2a are flexible to describe different special hexagons. Specifically, L, R1, and R2 are the length of the carbon covalent bonds, the radius of the carbon atoms, and twice the width of the carbon covalent bonds, respectively;
- (d)
- Since the carbon atoms and carbon covalent bonds in graphene are described as different geometrical components, the corresponding material parameters can be assigned to them;
- (e)
- The carbon atoms and carbon covalent bonds, as presented in Figure 1c, share the common lines, ensuring the geometrical connection and mechanical compatibility. There will be common nodes on the shared lines after meshing the finite plane element model.
2.2. Material Parameters
2.3. Computational Method
3. Results and Discussion
3.1. Statistical Results
3.2. Parameter Discussion
3.3. Vibration Modes
4. Conclusions
- (1)
- The commonly shared nodes in carbon atoms and carbon covalent bonds in the two-dimensional 8-node quadrilateral element keep the geometrical connection and mechanical compatibility well.
- (2)
- The interval ranges of resonant frequencies computed by the finite plane element model completely include the results in the reported literature.
- (3)
- The correlation coefficients computed by the Pearson and Spearman methods have substantial agreements with small discrepancies in the geometrical and material parameters.
- (4)
- The length and the width of the carbon covalent bonds in the finite plane element model of graphene are the essential factors that impact the resonant frequencies.
- (5)
- The proposed finite element model not only has merits in terms of computational expense and feasibility in the massive stochastic sampling process but also is flexible in presenting the precise vibration modes of graphene with consideration of both carbon atoms and covalent bonds.
Author Contributions
Funding
Institutional Review Board Statement
Informed Consent Statement
Conflicts of Interest
References
- Lee, C.; Wei, X.; Kysar, J.W.; Hone, J. Measurement of the elastic properties and intrinsic strength of monolayer graphene. Science 2008, 321, 385–388. [Google Scholar] [CrossRef] [PubMed]
- Sohier, T.; Calandra, M.; Mauri, F. Density functional perturbation theory for gated two-dimensional heterostructures: Theoretical developments and application to flexural phonons in graphene. Phys. Rev. B 2017, 96, 075448. [Google Scholar] [CrossRef] [Green Version]
- Wasalathilake, K.C.; Ayoko, G.A.; Yan, C. Effects of heteroatom doping on the performance of graphene in sodium-ion batteries: A density functional theory investigation. Carbon 2018, 140, 276–285. [Google Scholar] [CrossRef]
- Wang, Y.; He, Z.; Gupta, K.M.; Shi, Q.; Lu, R. Molecular dynamics study on water desalination through functionalized nanoporous graphene. Carbon 2017, 116, 120–127. [Google Scholar]
- Niaei, A.H.F.; Hussain, T.; Hankel, M.; Searles, D.J. Hydrogenated defective graphene as an anode material for sodium and calcium ion batteries: A density functional theory study. Carbon 2018, 136, 73–84. [Google Scholar] [CrossRef] [Green Version]
- Adonin, S.A.; Udalova, L.I.; Abramov, P.A.; Novikov, A.S.; Yushina, I.V.; Korolkov, I.V.; Semitut, E.Y.; Derzhavskaya, T.A.; Stevenson, K.J.; Troshin, P.A.; et al. A Novel Family of Polyiodo-Bromoantimonate (III) Complexes: Cation-Driven Self-Assembly of Photoconductive Metal-Polyhalide Frameworks. Chem. A Eur. J. 2018, 24, 14707–14711. [Google Scholar] [CrossRef]
- Kolari, K.; Sahamies, J.; Kalenius, E.; Novikov, A.S.; Kukushkin, V.Y.; Haukka, M. Metallophilic interactions in polymeric group 11 thiols. Solid State Sci. 2016, 60, 92–98. [Google Scholar] [CrossRef] [Green Version]
- Weng, S.; Ning, H.; Fu, T.; Hu, N.; Zhao, Y.; Huang, C.; Peng, X. Molecular dynamics study of strengthening mechanism of nanolaminated graphene/Cu composites under compression. Sci. Rep. 2018, 8, 3089. [Google Scholar] [CrossRef]
- Poorsargol, M.; Alimohammadian, M.; Sohrabi, B.; Dehestani, M. Dispersion of graphene using surfactant mixtures: Experimental and molecular dynamics simulation studies. Appl. Surf. Sci. 2019, 464, 440–450. [Google Scholar] [CrossRef]
- Chu, L.; Shi, J.; Yu, Y.; Souza De Cursi, E. The Effects of Random Porosities in Resonant Frequencies of Graphene Based on the Monte Carlo Stochastic Finite Element Model. Int. J. Mol. Sci. 2021, 22, 4814. [Google Scholar] [CrossRef]
- Chu, L.; Shi, J.; Braun, R. The equivalent Young’s modulus prediction for vacancy defected graphene under shear stress. Phys. E Low-Dimens. Syst. Nanostruct. 2019, 110, 115–122. [Google Scholar] [CrossRef]
- Javier, B.; Richard, D.W. Nonlinear Continuum Mechanics for Finite Element Analysis; Cambridge University Press: Cambridge, UK, 1997. [Google Scholar]
- Gadala, M.S.; Wang, J. Simulation of Metal Forming Processes with Finite Element Methods. Int. J. Numer. Methods Eng. 1999, 44, 1397–1428. [Google Scholar] [CrossRef]
- Liu, F.; Ming, P.; Li, J. Ab initio calculation of ideal strength and phonon instability of graphene under tension. Phys. Rev. B 2007, 76, 064120. [Google Scholar] [CrossRef] [Green Version]
- Kudin, K.N.; Scuseria, G.E.; Yakobson, B.I. C2F, BN, and C nanoshell elasticity from ab initio computations. Phys. Rev. B 2001, 64, 235406. [Google Scholar] [CrossRef]
- Gupta, S.; Dharamvir, K.; Jindal, V.K. Elastic moduli of single-walled carbon nanotubes and their ropes. Phys. Rev. B 2005, 72, 165428. [Google Scholar] [CrossRef]
- Lu, Q.; Huang, R. Nonlinear mechanics of single-atomic-layer graphene sheets. Int. J. Appl. Mech. 2009, 1, 443–467. [Google Scholar] [CrossRef]
- Wei, X.; Fragneaud, B.; Marianetti, C.A.; Kysar, J.W. Nonlinear elastic behavior of graphene: Ab initio calculations to continuum description. Phys. Rev. B 2009, 80, 205407. [Google Scholar] [CrossRef] [Green Version]
- Cadelano, E.; Palla, P.L.; Giordano, S.; Colombo, L. Nonlinear elasticity of monolayer graphene. Phys. Rev. Lett. 2009, 102, 235502. [Google Scholar] [CrossRef] [Green Version]
- Reddy, C.D.; Rajendran, S.; Liew, K.M. Equilibrium configuration and continuum elastic properties of finite sized graphene. Nanotechnology 2006, 17, 864. [Google Scholar] [CrossRef]
- Zhou, L.; Wang, Y.; Cao, G. Elastic properties of monolayer graphene with different chiralities. J. Phys. Condens. Matter 2013, 25, 125302. [Google Scholar] [CrossRef]
- Sadeghzadeh, S.; Khatibi, M.M. Modal identification of single layer graphene nano sheets from ambient responses using frequency domain decomposition. Eur. J. Mech. A/Solids 2017, 65, 70–78. [Google Scholar] [CrossRef]
- Chu, L.; Shi, J.; Souza de Cursi, E. Vibration analysis of vacancy defected graphene sheets by Monte Carlo based finite element method. Nanomaterials 2018, 8, 489. [Google Scholar] [CrossRef] [PubMed] [Green Version]













| Symbols | Definitions | Value Intervals | Units |
|---|---|---|---|
| E1 | The Young’s modulus of carbon atoms | 1011–1013 | Pa |
| E2 | The Young’s modulus of carbon covalent bonds | 106–108 | Pa |
| v1 | The Poisson’s ratio of carbon atoms | 0.1–0.4 | - |
| v2 | The Poisson’s ratio of carbon covalent bonds | 0.1–0.4 | - |
| P1 | The physical density of carbon atoms | 500–5000 | Kg/m3 |
| P2 | The physical density of carbon covalent bonds | 500–5000 | Kg/m3 |
| R1 | The radius of carbon atoms | 0.04–0.09 | nm |
| R2 | The two times width of carbon covalent bonds | (0.1–0.5) ∗ R1 | nm |
| L | The length of carbon covalent bonds | 0.1–0.4 | nm |
| F1 (THz) | F2 (THz) | F3 (THz) | F4 (THz) | |
|---|---|---|---|---|
| Mean | 3.4905 | 4.0902 | 4.1838 | 5.2333 |
| Maximum | 16.894 | 19.554 | 21.362 | 26.402 |
| Minimum | 0.2131 | 0.2808 | 0.2816 | 0.3319 |
| Variance | 2.5899 | 2.7923 | 2.9301 | 3.8381 |
| Liu [14] | 1.6081 | 3.7232 | 4.3172 | 6.4323 |
| Kudin [15] | 1.5818 | 3.6623 | 4.2466 | 6.3271 |
| Gupta [16] | 1.7581 | 4.0706 | 4.7201 | 7.0325 |
| Lu [17] | 1.4311 | 3.3135 | 3.8422 | 5.7246 |
| Wei [18] | 1.5946 | 3.6921 | 4.2811 | 6.3786 |
| Cadelano [19] | 1.5649 | 3.6232 | 4.2012 | 6.2595 |
| Reddy [20] | 1.3869 | 3.2111 | 3.7234 | 5.5475 |
| Zhou [21] | 1.8716 | 4.3334 | 5.0248 | 7.4865 |
| Khatibi [22] | 1.6030 | 2.4970 | 2.5980 | 3.5770 |
| Chu [23] | 1.7282 | 3.2925 | 3.7442 | 5.1892 |
Publisher’s Note: MDPI stays neutral with regard to jurisdictional claims in published maps and institutional affiliations. |
© 2022 by the authors. Licensee MDPI, Basel, Switzerland. This article is an open access article distributed under the terms and conditions of the Creative Commons Attribution (CC BY) license (https://creativecommons.org/licenses/by/4.0/).
Share and Cite
Shi, J.; Chu, L.; Ma, C.; Braun, R. The Uncertainty Propagation for Carbon Atomic Interactions in Graphene under Resonant Vibration Based on Stochastic Finite Element Model. Materials 2022, 15, 3679. https://doi.org/10.3390/ma15103679
Shi J, Chu L, Ma C, Braun R. The Uncertainty Propagation for Carbon Atomic Interactions in Graphene under Resonant Vibration Based on Stochastic Finite Element Model. Materials. 2022; 15(10):3679. https://doi.org/10.3390/ma15103679
Chicago/Turabian StyleShi, Jiajia, Liu Chu, Chao Ma, and Robin Braun. 2022. "The Uncertainty Propagation for Carbon Atomic Interactions in Graphene under Resonant Vibration Based on Stochastic Finite Element Model" Materials 15, no. 10: 3679. https://doi.org/10.3390/ma15103679
APA StyleShi, J., Chu, L., Ma, C., & Braun, R. (2022). The Uncertainty Propagation for Carbon Atomic Interactions in Graphene under Resonant Vibration Based on Stochastic Finite Element Model. Materials, 15(10), 3679. https://doi.org/10.3390/ma15103679

