Dynamic Compressive Mechanical Behavior and Microstructure Evolution of Rolled Fe-28Mn-10Al-1.2C Low-Density Steel
Abstract
:1. Introduction
2. Experimental
3. Results and Discussions
4. Conclusions
- The stress–strain curves revealed a positive strain rate sensitivity under all strain rates. The flow stresses were continuously increased with an increase in the strain rate at a fixed strain;
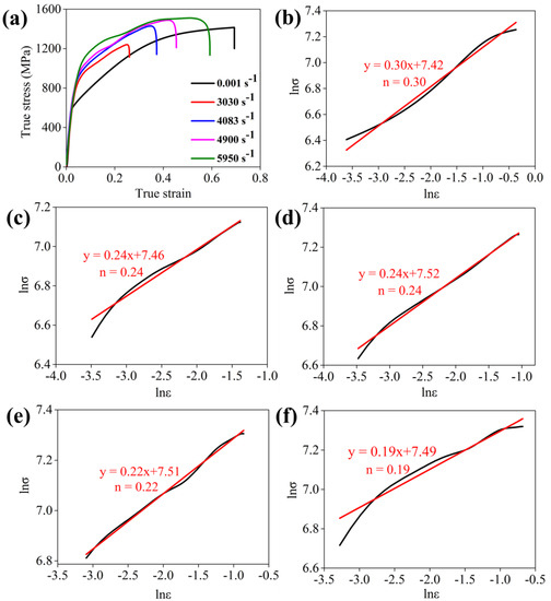
- The low-density steel showed a strong strain hardening effect under quasi-static and dynamic compression. The strain hardening exponent decreases under dynamic compression due to the thermal softening effect caused by temperature rise;
- The microstructure evolution of deformed specimens showed the highly-dense dislocation walls, domain boundaries and microbands under a high strain rate of 4083 s−1. With the increase in strain rate up to 4900 s−1, mechanical twinning was also nucleated. The dominant deformations at each strain rate are well consistent with the stacking fault energies calculations;
- The strong strain hardening originated from plasticity induced by microbands and twins. The microband-induced plasticity and twinning-induced plasticity enhanced the mechanical properties of the steel under dynamic compression.
Funding
Institutional Review Board Statement
Informed Consent Statement
Data Availability Statement
Conflicts of Interest
References
- Seol, J.-B.; Raabe, D.; Choi, P.; Park, H.-S.; Kwak, J.H.; Park, C.-G. Direct evidence for the formation of ordered carbides in a ferrite-based low-density Fe–Mn–Al–C alloy studied by transmission electron microscopy and atom probe tomography. Scr. Mater. 2013, 68, 348–353. [Google Scholar] [CrossRef]
- Kim, H.; Suh, D.W.; Kim, N.J. Fe-Al-Mn-C lightweight structural alloys: A review on the microstructures and mechanical properties. Sci. Technol. Adv. Mater. 2013, 14, 014205. [Google Scholar] [CrossRef] [PubMed]
- Chen, S.; Rana, R.; Haldar, A.; Ray, R.K. Current state of Fe-Mn-Al-C low density steels. Prog. Mater. Sci. 2017, 89, 345–391. [Google Scholar] [CrossRef]
- Kim, Y.G.; Han, J.M.; Lee, J.S. Composition and temperature dependence of tensile properties of austenitic Fe-Mn-Al-C alloys. Mater. Sci. Eng. A 1989, 114, 51–59. [Google Scholar] [CrossRef]
- Sato, K.; Ichinose, M.; Hirotsu, Y.; Inoue, Y. Effects of Deformation Induced Phase Transformation and the Mechanical Properties of Austenitic Fe-Mn-AI Alloys. ISIJ Int. 1989, 29, 868–877. [Google Scholar] [CrossRef]
- Frommeyer, G. Microstructures and Mechanical Properties of High-Strength Fe-Mn-Al-C Light-Weight TRIPLEX Steels. Steels Automot. Appl. 2006, 77, 627–633. [Google Scholar] [CrossRef]
- Yoo, J.D.; Park, K.-T. Microband-induced plasticity in a high Mn–Al–C light steel. Mater. Sci. Eng. A 2008, 496, 417–424. [Google Scholar] [CrossRef]
- Yoo, J.D.; Hwang, S.W.; Park, K.T. Origin of Extended Tensile Ductility of a Fe-28Mn-10Al-1C Steel. Metall. Mater. Trans. A 2009, 40, 1520–1523. [Google Scholar] [CrossRef]
- Park, K.-T.; Jin, K.G.; Han, S.H.; Hwang, S.W.; Choi, K.; Lee, C.S. Stacking fault energy and plastic deformation of fully austenitic high manganese steels: Effect of Al addition. Mater. Sci. Eng. A 2010, 527, 3651–3661. [Google Scholar] [CrossRef]
- Allain, S.; Chateau, J.P.; Bouaziz, O.; Migot, S.; Guelton, N. Correlations between the calculated stacking fault energy and the plasticity mechanisms in Fe–Mn–C alloys. Mater. Sci. Eng. A 2004, 387–389, 158–162. [Google Scholar] [CrossRef]
- Byun, T.S. On the stress dependence of partial dislocation separation and deformation microstructure in austenitic stainless steels. Acta Mater. 2003, 51, 3063–3071. [Google Scholar] [CrossRef]
- Jin, J.E.; Lee, Y.K. Effects of Al on microstructure and tensile properties of C-bearing high Mn TWIP steel. Acta Mater. 2012, 60, 1680–1688. [Google Scholar] [CrossRef]
- Chun, Y.S.; Park, K.-T.; Lee, C.S. Delayed static failure of twinning-induced plasticity steels. Scr. Mater. 2012, 66, 960–965. [Google Scholar] [CrossRef]
- Jeong, J.S.; Woo, W.; Oh, K.H.; Kwon, S.K.; Koo, Y.M. In situ neutron diffraction study of the microstructure and tensile deformation behavior in Al-added high manganese austenitic steels. Acta Mater. 2012, 60, 2290–2299. [Google Scholar] [CrossRef]
- Canadinc, D.; Sehitoglu, H.; Maier, H.J.; Chumlyakov, Y.I. Strain hardening behavior of aluminum alloyed Hadfield steel single crystals. Acta Mater. 2005, 53, 1831–1842. [Google Scholar] [CrossRef]
- Frommeyer, G.; Brüx, U.; Neumann, P. Supra-Ductile and High-Strength Manganese-TRIP/TWIP Steels for High Energy Absorption Purposes. ISIJ Int. 2003, 43, 438–446. [Google Scholar] [CrossRef] [Green Version]
- Malik, A.; Nazeer, F.; Naqvi, S.Z.H.; Long, J.; Li, C.; Yang, Z.; Huang, Y. Microstructure feathers and ASB susceptibility under dynamic compression and its correlation with the ballistic impact of Mg alloys. J. Mater. Res. Technol. 2022, 16, 801–813. [Google Scholar] [CrossRef]
- Malik, A.; Wang, Y.; Nazeer, F. The development of a strong and ductile Mg–Zn–Zr thin sheet through nano precipitates and pre-induced dislocation. Mater. Sci. Eng. A 2021, 817, 141339. [Google Scholar] [CrossRef]
- Park, K.-T.; Hwang, S.W.; Ji, J.H.; Lee, C.S. Static and Dynamic Deformation of Fully Austenitic High Mn Steels. Procedia Eng. 2011, 10, 1002–1006. [Google Scholar] [CrossRef] [Green Version]
- Hwang, S.W.; Ji, J.H.; Park, K.-T. Effects of Al addition on high strain rate deformation of fully austenitic high Mn steels. Mater. Sci. Eng. A 2011, 528, 7267–7275. [Google Scholar] [CrossRef]
- Das, A. Revisiting Stacking Fault Energy of Steels. Metall. Mater. Trans. A 2016, 47, 748–768. [Google Scholar] [CrossRef]
- Malik, A.; Wang, Y.; Huanwu, C.; Nazeer, F.; Ahmed, B.; Khan, M.A.; Mingjun, W. Constitutive analysis, twinning, recrystallization, and crack in fine-grained ZK61 Mg alloy during high strain rate compression over a wide range of temperatures. Mater. Sci. Eng. A 2020, 771, 138649. [Google Scholar] [CrossRef]
- Malik, A.; Chaudry, U.M.; Yan, T.; Long, J.; Li, C.; Wang, Y. Achieving higher dynamic mechanical response by adjusting texture through twinning in a ZK61 Mg alloy. J. Alloy. Compd. 2022, 12, 163755. [Google Scholar] [CrossRef]
- Nemat-Nasser, S.; Guo, W.G.; Kihl, D.P. Thermomechanical response of AL-6XN stainless steel over a wide range of strain rates and temperatures. J. Mech. Phys. Solids 2001, 49, 1823–1846. [Google Scholar] [CrossRef]
- Hughes, D.A. Microstructural evolution in a non-cell forming metal: Al-Mg. Acta Metall. Mater. 1993, 41, 1421–1430. [Google Scholar] [CrossRef]
- Karaman, I.; Sehitoglu, H.; Maier, H.J.; Chumlyakov, Y.I. Competing mechanisms and modeling of deformation in austenitic stainless steel single crystals with and without nitrogen. Acta Mater. 2001, 49, 3919–3933. [Google Scholar] [CrossRef]
- Kuhlmann-Wilsdorf, D. Theory of plastic deformation: Properties of low energy dislocation structures. Mater. Sci. Eng. A 1989, 113, 1–41. [Google Scholar] [CrossRef]
- Gutierrez-Urrutia, I.; Raabe, D. Multistage strain hardening through dislocation substructure and twinning in a high strength and ductile weight-reduced Fe–Mn–Al–C steel. Acta Mater. 2012, 60, 5791–5802. [Google Scholar] [CrossRef]
- Wu, Z.Q.; Ding, H.; Li, H.Y.; Huang, M.L.; Cao, F.R. Microstructural evolution and strain hardening behavior during plastic deformation of Fe–12Mn–8Al–0.8C steel. Mater. Sci. Eng. A 2013, 584, 150–155. [Google Scholar] [CrossRef]
- Dumay, A.; Chateau, J.P.; Allain, S.; Migot, S.; Bouaziz, O. Influence of addition elements on the stacking-fault energy and mechanical properties of an austenitic Fe–Mn–C steel. Mater. Sci. Eng. A 2008, 483–484, 184–187. [Google Scholar] [CrossRef]
- Li, l.; Hsu, T.Y.; Zuyao, X. Gibbs Free Energy Evaluation of The Fcc(Γ) and Hcp(Ε) Phases in Fe-Mn-Si Alloys. Calphad 1997, 21, 443–448. [Google Scholar] [CrossRef]
- Pang, J.; Zhou, Z.; Zhao, Z.; Tang, D.; Liang, J.; He, Q. Tensile Behavior and Deformation Mechanism of Fe-Mn-Al-C Low Density Steel with High Strength and High Plasticity. Metals 2019, 9, 897. [Google Scholar] [CrossRef] [Green Version]
- Meyers, M.A. Dynamic Behavior of Materials; John Wiley & Sons: Hoboken, NJ, USA, 1994. [Google Scholar]
- Park, K.-T. Tensile deformation of low-density Fe–Mn–Al–C austenitic steels at ambient temperature. Scr. Mater. 2013, 68, 375–379. [Google Scholar] [CrossRef]
- Malik, A.; Wang, Y.; Huanwu, C.; Nazeer, F.; Khan, M.A. Post deformation analysis of the ballistic impacted magnesium alloys, a short-review. J. Magnes. Alloys 2021, 9, 1505–1520. [Google Scholar] [CrossRef]
- Chaudry, U.M.; Kim, T.H.; Park, S.D.; Kim, Y.S.; Hamad, K.; Kim, J.-G. Effects of calcium on the activity of slip systems in AZ31 magnesium alloy. Mater. Sci. Eng. A 2019, 739, 289–294. [Google Scholar] [CrossRef]





| Composition (wt.%) | Density (g cm−3) | ||||
|---|---|---|---|---|---|
| C | Mn | Al | Fe | ||
| Fe-28Mn-10Al-1.2C | 1.20 | 28.00 | 10.00 | Bal. | 6.92 |
| Strain Rate/s−1 | ΔQ (J/cm3) | ΔT (K) | ΔSFE (mJ/m2) |
|---|---|---|---|
| 3030 | 258 | 75 | 17 |
| 4083 | 432 | 125 | 47 |
| 4900 | 559 | 162 | 60 |
| 5950 | 780 | 226 | 81 |
Publisher’s Note: MDPI stays neutral with regard to jurisdictional claims in published maps and institutional affiliations. |
© 2022 by the authors. Licensee MDPI, Basel, Switzerland. This article is an open access article distributed under the terms and conditions of the Creative Commons Attribution (CC BY) license (https://creativecommons.org/licenses/by/4.0/).
Share and Cite
Wu, H.; Tan, Y.; Malik, A.; Wang, Y.; Hassan Naqvi, S.Z.; Cheng, H.; Tian, J.; Meng, X. Dynamic Compressive Mechanical Behavior and Microstructure Evolution of Rolled Fe-28Mn-10Al-1.2C Low-Density Steel. Materials 2022, 15, 3550. https://doi.org/10.3390/ma15103550
Wu H, Tan Y, Malik A, Wang Y, Hassan Naqvi SZ, Cheng H, Tian J, Meng X. Dynamic Compressive Mechanical Behavior and Microstructure Evolution of Rolled Fe-28Mn-10Al-1.2C Low-Density Steel. Materials. 2022; 15(10):3550. https://doi.org/10.3390/ma15103550
Chicago/Turabian StyleWu, Hao, Yan Tan, Abdul Malik, Yangwei Wang, Syed Zohaib Hassan Naqvi, Huanwu Cheng, Jiebin Tian, and Xianming Meng. 2022. "Dynamic Compressive Mechanical Behavior and Microstructure Evolution of Rolled Fe-28Mn-10Al-1.2C Low-Density Steel" Materials 15, no. 10: 3550. https://doi.org/10.3390/ma15103550
APA StyleWu, H., Tan, Y., Malik, A., Wang, Y., Hassan Naqvi, S. Z., Cheng, H., Tian, J., & Meng, X. (2022). Dynamic Compressive Mechanical Behavior and Microstructure Evolution of Rolled Fe-28Mn-10Al-1.2C Low-Density Steel. Materials, 15(10), 3550. https://doi.org/10.3390/ma15103550

