Investigations on the Influence of Collagen Type on Physicochemical Properties of PVP/PVA Composites Enriched with Hydroxyapatite Developed for Biomedical Applications
Abstract
:1. Introduction
2. Materials and Methods
2.1. Materials
2.2. Synthesis of Composite Materials
2.3. Characterization of the Chemical Structure of Composite Materials via Fourier Transform Infrared (FT-IR) Spectroscopy
2.4. Evaluation of the Swelling Properties of Composite Materials
2.5. Incubation Studies
2.6. Evaluation of the Wettability of Composites
2.7. Assessment of Roughness of Composites
2.8. Statistical Analysis of the Results of the Investigations
3. Results and Discussion
3.1. Results of FT-IR Spectroscopy
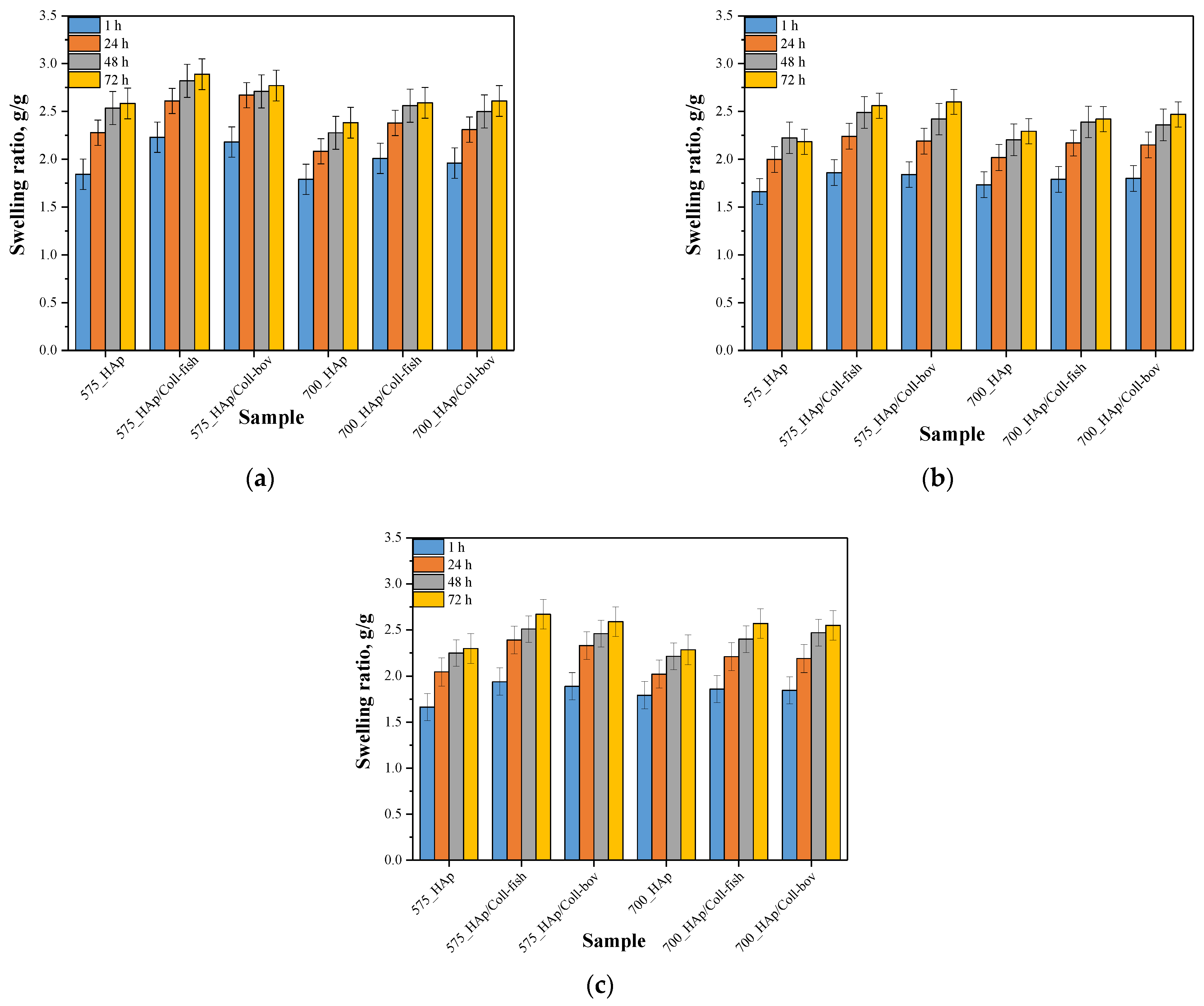
3.2. Studies on Swelling Capacity of Composite Materials
3.3. Results of Incubation of Composite Materials in Selected Simulated Physiological Liquids
3.4. Results of Investigations on Wettability of Composites
3.5. Results of the Evaluation of the Surface Roughness of Composite Materials
4. Conclusions
Author Contributions
Funding
Institutional Review Board Statement
Informed Consent Statement
Data Availability Statement
Acknowledgments
Conflicts of Interest
References
- Iorio, S.; Badino, P.; Gorini, I.; Aliverti, M. Osteoarchaeology and the History of Medicine in our experience. Acta Biomed. 2019, 90, 353–364. [Google Scholar]
- Isbit, J. Preventing diseases of civilization. J. Pediatr. Surg. 2018, 53, 1261. [Google Scholar] [CrossRef]
- Ensrud, K.; Crandall, C.J. Osteoporosis. Ann. Intern. Med. 2017, 167, ITC17–ITC32. [Google Scholar] [CrossRef]
- Aspray, T.J.; Hill, T.R. Osteoporosis and the Ageing Skeleton. Subcell. Biochem. 2019, 91, 453–476. [Google Scholar]
- Kendler, D.L.; Body, J.J.; Brandi, M.L.; Cannata-Andia, J.; Cannata-Ortiz, M.J.; Maghraouri, A.E.; Guglielmi, G.; Hadji, P.; Pierroz, D.D.; de Villiers, T.J.; et al. Osteoporosis management in hematologic stemcelltransplant recipients: Executive summary. J. Bone Oncol. 2021, 28, 100361. [Google Scholar] [CrossRef]
- Coughlan, T.; Dockety, F. Osteoporosis and fracture risk in older people. Clin. Med. 2014, 14, 187–191. [Google Scholar] [CrossRef]
- Kumar, R.; Singh, R.; Hashmi, M.S.J. Polymer- Ceramic composites: A state of art review and future applications. Adv. Mater. Process. Technol. 2020, 1–14. [Google Scholar] [CrossRef]
- Victor, S.R.; Muthu, J. Polymer Ceramic Composite Materials for Orthopedic Applications—Relevance and Need for Mechanical Match and Bone Regeneration. J. Mech. 2014, 2, 1–10. [Google Scholar]
- Misra, S.K.; Boccaccini, A.R. Biodegradable and bioactive polymer/ceramic composite scaffolds. In Tissue Engineering Using Ceramics and Polymers, Woodhead Publishing Series in Biomaterials; Boccaccini, A.R., Gough, J.E., Eds.; Woodhead Publishing: Sawston, UK, 2007; pp. 72–92. [Google Scholar]
- Shaban, N.Z.; Kenawy, M.Y.; Taha, N.A.; Abd El-Latif, M.M.; Ghareeb, D.A. Synthesized Nanorods Hydroxyapatite by Microwave Assisted Technology for In Vitro Osteoporotic Bone Regeneration through Wnt/β-Catenin Pathway. Materials 2021, 14, 5823. [Google Scholar] [CrossRef]
- Fraile-Martínez, O.; García-Montero, C.; Coca, A.; Álvarez-Mon, M.A.; Monserrat, J.; Gómez-Lahoz, A.M.; Coca, S.; Álvarez-Mon, M.; Acero, J.; Bujan, J.; et al. Applications of Polymeric Composites in Bone Tissue Engineering and Jawbone Regeneration. Polymers 2021, 13, 3429. [Google Scholar] [CrossRef]
- Faksawat, K.; Limsuwan, P.; Naemchanthara, K. 3D printing technique of specific bone shape based on raw clay using hydroxyapatite as an additive material. Appl. Clay Sci. 2021, 214, 106269. [Google Scholar] [CrossRef]
- Salimi, M.N.; Anuar, A. Characterizations of Biocompatible and Bioactive Hydroxyapatite Particles. Proc. Eng. 2013, 53, 192–196. [Google Scholar] [CrossRef] [Green Version]
- Fang, J.; Li, X.; Fang, L.; Lu, X.; Ren, F. A strong, tough, and osteoconductive hydroxyapatite mineralized polyacrylamide/dextran hydrogel for bone tissue regeneration. Acta Biomater. 2019, 88, 503–513. [Google Scholar] [CrossRef]
- Li, C.; Qin, W.; Lakshmanan, S.; Ma, X.; Sun, X.; Xu, B. Hydroxyapatite based biocomposite scaffold: A highly biocompatible material for bone regeneration. Saudi J. Biol. Sci. 2020, 27, 2143–2148. [Google Scholar] [CrossRef]
- Cheng, L.; Ye, F.; Yang, R.; Lu, X.; Shi, Y.; Li, L.; Fan, H.; Bu, H. Osteoinduction of hydroxyapatite/β-tricalcium phosphate bioceramics in mice with a fractured fibula. Acta Biomater. 2010, 6, 1569–1574. [Google Scholar] [CrossRef]
- Wei, X.; Zhang, X.; Yang, Z.; Li, L.; Sui, H. Osteoinductive potential and antibacterial characteristics of collagen coated iron oxide nanospheres containing strontium and hydroxyapatite in long term bone fractures. Arab. J. Chem. 2021, 14, 102984. [Google Scholar] [CrossRef]
- Chang, B.S.; Lee, C.K.; Hong, K.S.; Youn, H.J.; Ryu, H.S.; Chung, S.S.; Park, K.W. Osteoconduction at porous hydroxyapatite with various pore configurations. Biomaterials 2000, 21, 1291–1298. [Google Scholar] [CrossRef]
- Wang, Q.; Tang, P.; Ge, X.; Li, P.; Lv, C.; Wang, M.; Wang, K.; Fang, L.; Lu, X. Experimental and simulation studies of strontium/zinc-codoped hydroxyapatite porous scaffolds with excellent osteoinductivity and antibacterial activity. Appl. Surf. Sci. 2018, 462, 118–126. [Google Scholar] [CrossRef]
- Kien, P.T.; Quan, T.N.; Tuyet Anh, L.H. Coating Characteristic of Hydroxyapatite on Titanium Substrates via Hydrothermal Treatment. Coatings 2021, 11, 1226. [Google Scholar] [CrossRef]
- Qayoom, I.; Teotia, A.K.; Meena, M.; Singh, P.; Mishra, A.; Singh, S.; Kumar, A. Enhanced bone mineralization using hydroxyapatite-based ceramic bone substitute incorporating Withania somnifera extracts. Biomed. Mater. 2020, 15, 055015. [Google Scholar] [CrossRef]
- Rahman, S.U. Hydroxyapatite and tissue engineering. In Handbook of Ionic Substituted Hydroxyapatites; Woodhead Publishing: Sawston, UK, 2019; pp. 383–400. [Google Scholar]
- Panda, S.; Biswas, C.K.; Paul, S. A comprehensive review on the preparation and application of calcium hydroxyapatite: A special focus on atomic doping methods for bone tissue engineering. Ceram. Int. 2021, 47, 28122–28144. [Google Scholar] [CrossRef]
- Lara-Ochoa, S.; Ortega-Lara, W.; Guerrero Beltrán, C.E. Hydroxyapatite Nanoparticles in Drug Delivery: Phys. Applications. Pharmaceutics 2021, 13, 1642. [Google Scholar] [CrossRef]
- Ribeiro, T.P.; Monteiro, F.J.; Laranjeira, M.S. PEGylation of iron doped hydroxyapatite nanoparticles for increased applicability as MRI contrast agents and as drug vehicles: A study on thrombogenicity, cytocompatibility and drug loading. Eur. Polym. J. 2020, 137, 109934. [Google Scholar] [CrossRef]
- Gordienko, M.; Karakatenko, E.; Menshutina, N.; Koroleva, M.; Gilmutdinova, I.; Eremin, P. Composites Composed of Hydrophilic and Hydrophobic Polymers, and Hydroxyapatite Nanoparticles: Synthesis, Characterization, and Study of Their Biocompatible Properties. J. Funct. Biomater. 2021, 12, 55. [Google Scholar] [CrossRef]
- Shirdar, M.R.; Taheri, M.M.; Qi, M.-L.; Gohari, S.; Farajpour, N.; Narayanan, S.; Foroozan, T.; Sharifi-Asl, S.; Shahbazian-Yassar, R.; Shokuhfar, T. Optimization of the Mechanical Properties and the Cytocompatibility for the PMMA Nanocomposites Reinforced with the Hydroxyapatite Nanofibers and the Magnesium Phosphate Nanosheets. Materials 2021, 14, 5893. [Google Scholar] [CrossRef] [PubMed]
- Liu, F.; Kang, H.; Liu, Z.; Jin, S.; Yan, G.; Sun, Y.; Li, F.; Zhan, H.; Gu, Y. 3D Printed Multi-Functional Scaffolds Based on Poly(ε-Caprolactone) and Hydroxyapatite Composites. Nanomaterials 2021, 11, 2456. [Google Scholar] [CrossRef] [PubMed]
- Rodzeń, K.; McIvor, M.J.; Sharma, P.K.; Acheson, J.G.; McIlhagger, A.; Mokhtari, M.; McFerran, A.; Ward, J.; Meenan, B.J.; Boyd, A.R. The Surface Characterization of Fused Filament Fabricated (FFF) 3D Printed PEEK/Hydroxyapatite Composites. Polymers 2021, 13, 3117. [Google Scholar] [CrossRef]
- Ebrahimi, S.; Hanim, Y.U.; Sipaut, C.S.; Jan, N.B.A.; Arshad, S.E.; How, S.E. Fabrication of Hydroxyapatite with Bioglass Nanocomposite for Human Wharton’s-Jelly-Derived Mesenchymal Stem Cell Growing Substrate. Int. J. Mol. Sci. 2021, 22, 9637. [Google Scholar] [CrossRef]
- Mbese, Z.; Alven, S.; Aderibigbe, B.A. Collagen-Based Nanofibers for Skin Regeneration and Wound Dressing Applications. Polymers 2021, 13, 4368. [Google Scholar] [CrossRef]
- Gallo, N.; Natali, M.L.; Curci, C.; Picerno, A.; Gallone, A.; Vulpi, M.; Vitarelli, A.; Ditonno, P.; Cascione, M.; Sallustio, F.; et al. Analysis of the Physico-Chemical, Mechanical and Biological Properties of Crosslinked Type-I Collagen from Horse Tendon: Towards the Development of Ideal Scaffolding Material for Urethral Regeneration. Materials 2021, 14, 7648. [Google Scholar] [CrossRef]
- Mobaraki, M.; Bizari, D.; Soltani, M.; Khshmohabat, H.; Raahemifar, K.; Akbarzade Amirdehi, M. The Effects of Curcumin Nanoparticles Incorporated into Collagen-Alginate Scaffold on Wound Healing of Skin Tissue in Trauma Patients. Polymers 2021, 13, 4291. [Google Scholar] [CrossRef]
- Arun, A.; Malrautu, P.; Laha, A.; Luo, H.; Ramakrishna, S. Collagen Nanoparticles in Drug Delivery Systems and Tissue Engineering. Appl. Sci. 2021, 11, 11369. [Google Scholar] [CrossRef]
- Frolova, A.; Aksenova, N.; Novikov, I.; Maslakova, A.; Gafarova, E.; Efremov, Y.; Bikmulina, P.; Elagin, V.; Istranova, E.; Kurkov, A.; et al. A Collagen Basketweave from the Giant Squid Mantle as a Robust Scaffold for Tissue Engineering. Mar. Drugs 2021, 19, 679. [Google Scholar] [CrossRef]
- Głąb, M.; Kudłacik-Kramarczyk, S.; Drabczyk, A.; Walter, J.; Kordyka, A.; Godzierz, M.; Bogucki, R.; Tyliszczak, B.; Sobczak-Kupiec, A. Hydroxyapatite Obtained via the Wet Precipitation Method and PVP/PVA Matrix as Components of Polymer-Ceramic Composites for Biomedical Applications. Molecules 2021, 26, 4268. [Google Scholar] [CrossRef]
- ISO 4287:1997. Geometrical Product Specifications (GPS)—Surface Texture: Profile Method—Terms, Definitions and Surface Texture Parameters; International Organization for Standarization: Geneva, Switzerland, 1997. [Google Scholar]
- Riaz, T.; Zeeshan, R.; Zarif, F.; Ilyas, K.; Muhammad, N.; Safi, S.Z.; Rahim, A.; Rizvi, S.A.; Rehman, I.U. FTIR analysis of natural and synthetic collagen. App. Spec. Rev. 2018, 53, 703–746. [Google Scholar] [CrossRef]
- Sripriya, R.; Kumar, R. A Novel Enzymatic Method for Preparation and Characterization of Collagen Film from Swim Bladder of Fish Rohu (Labeo rohita). Food Nutr. Sci. 2015, 6, 1468–1478. [Google Scholar]
- Chinh, N.T.; Manh, V.Q.; Trung, V.Q.; Lam, T.D.; Huynh, M.D.; Tung, N.Q.; Trinh, N.D.; Hoang, T. Characterization of Collagen Derived From Tropical Freshwater Carp Fish Scale Wastes and Its Amino Acid Sequence. Nat. Prod. Comm. 2019, 14, 1–12. [Google Scholar] [CrossRef]
- Belbachir, K.; Noreen, R.; Gouspillou, G.; Petbois, C. Collagen types analysis and differentiation by FTIR spectroscopy. Analytical Bio. Chem. 2009, 395, 829–837. [Google Scholar] [CrossRef] [PubMed]
- Ghodbane, S.A.; Dunn, M.G. Physical and mechanical properties of cross-linked type I collagen scaffolds derived from bovine, porcine, and ovine tendons. J. Biomed. Mat. Res. Part A 2016, 104, 2685–2692. [Google Scholar] [CrossRef] [PubMed] [Green Version]
- Bai, Z.; Dan, W.; Yu, G.; Wang, Y.; Chen, Y.; Huang, Y.; Yang, C.; Dan, N. Tough and tissue-adhesive polyacrylamide/collagen hydrogel with dopamine-grafted oxidized sodium alginate as crosslinker for cutaneous wound healing. RSC Adv. 2018, 8, 42123–42132. [Google Scholar] [CrossRef] [Green Version]
- Eriksson, C.; Nygren, H.; Ohlson, K. Implantation of hydrophilic and hydrophobic titanium discs in rat tibia: Cellular reactions on the surfaces during the first 3 weeks in bone. Biomaterials 2004, 25, 4759. [Google Scholar] [CrossRef]
- Huang, Q.; Lin, L.; Yang, Y.; Hu, R.; Vogler, E.A.; Lin, C. Role of trapped air in the formation of cell-and-protein micropatterns on superhydrophobic/superhydrophilic microtemplated surfaces. Biomaterials 2012, 33, 8213. [Google Scholar] [CrossRef] [PubMed]
- Olivares-Navarrete, R.; Hyzy, S.L.; Hutton, D.L.; Erdman, C.P.; Wieland, M.; Boyan, B.D.; Schwartz, Z. Direct and indirect effects of microstructured titanium substrates on the induction of mesenchymal stem cell differentiation towards the osteoblast lineage. Biomaterials 2010, 31, 2728–2735. [Google Scholar] [CrossRef] [PubMed] [Green Version]
- Wennerberg, A.; Galli, S.; Albrektsson, T. Current knowledge about the hydrophilic and nanostructured SLActive surface. Clin. Cosmet. Investig. Dent. 2011, 3, 59–67. [Google Scholar] [CrossRef] [PubMed] [Green Version]
- Aparico, C.; Gil, F.J.; Planell, J.A. Human-osteoblast proliferation and differentiation on grit-blasted and bioactive titanium for dental applications. J. Mater. Sci. Mat. Med. 2002, 13, 1105–1111. [Google Scholar] [CrossRef]






| 15% PVP, mL | 5% PVA, mL | HAp, wt.% | Photoinitiator, mL | Crosslinking Agent, mL | Fish Collagen, wt.% | Bovine Collagen, wt.% | Sample Name |
|---|---|---|---|---|---|---|---|
| 3 | 7 | 10 | 0.05 | 2.0 (575 g/mol) | - | - | 575_HAp |
| 30 | - | 575_HAp/Coll-fish | |||||
| - | 30 | 575_HAp/Coll-bov | |||||
| 2.0 (700 g/mol) | - | - | 700_HAp | ||||
| 30 | - | 700_HAp/Coll-fish | |||||
| - | 30 | 700_HAp/Coll-bov |
| Independent Variable | Study | p * |
|---|---|---|
| Type of crosslinking agent | 1 h swelling in distilled water | 1.52923 × 10−15 |
| Type of collagen | 2.96059 × 10−14 | |
| Type of crosslinking agent | 72 h swelling in distilled water | 8.39488 × 10−15 |
| Type of collagen | 5.92119 × 10−14 | |
| Type of crosslinking agent | 1 h swelling in SBF | 0.42331 |
| Type of collagen | 0.42271 | |
| Type of crosslinking agent | 72 h swelling in SBF | 8.12234 × 10−15 |
| Type of collagen | 7.31011 × 10−14 | |
| Type of crosslinking agent | 1 h swelling in Ringer liquid | 3.97822 × 10−14 |
| Type of collagen | 1.54037 × 10−13 | |
| Type of crosslinking agent | 72 h swelling in Ringer liquid | 6.04203 × 10−14 |
| Type of collagen | 1.18424 × 10−13 |
| Sample | pH Value | |||||||
|---|---|---|---|---|---|---|---|---|
| Day 0 | Day 2 | Day 4 | Day 6 | Day 8 | Day 10 | Day 12 | Day 14 | |
| Distilled water | 7.218 ± 0.216 | 7.114 ± 0.211 | 7.015 ± 0.213 | 7.054 ± 0.209 | 7.177 ± 0.214 | 6.912 ± 0.211 | 7.036 ± 0.216 | 6.991 ± 0.208 |
| 575_HAp | 7.132 ± 0.215 | 7.141 ± 0.212 | 7.053 ± 0.209 | 6.990 ± 0.210 | 7.012 ± 0.215 | 6.984 ± 0.208 | 7.013 ± 0.213 | 7.181 ± 0.214 |
| 700_HAp | 7.041 ± 0.211 | 7.028 ± 0.208 | 6.986 ± 0.210 | 6.944 ± 0.208 | 6.972 ± 0.211 | 6.954 ± 0.209 | 7.021 ± 0.208 | 7.047 ± 0.211 |
| 575_HAp/Col-fish | 7.183 ± 0.215 | 6.604 ± 0.198 | 6.694 ± 0.201 | 6.756 ± 0.205 | 6.833 ± 0.202 | 6.757 ± 0.199 | 6.655 ± 0.203 | 6.842 ± 0.201 |
| 700_HAp/Col-fish | 7.144 ± 0.214 | 6.557 ± 0.194 | 6.645 ± 0.201 | 6.723 ± 0.192 | 6.782 ± 0.203 | 6.710 ± 0.198 | 6.681 ± 0.203 | 6.796 ± 0.196 |
| 575_HAp/Col-bov | 7.164 ± 0.215 | 6.564 ± 0.198 | 6.656 ± 0.197 | 6.715 ± 0.202 | 6.793 ± 0.204 | 6.511 ± 0.195 | 6.612 ± 0.197 | 6.809 ± 0.203 |
| 700_HAp/Col-bov | 7.148 ± 0.214 | 6.534 ± 0.202 | 6.625 ± 0.198 | 6.687 ± 0.203 | 6.764 ± 0.195 | 6.486 ± 0.197 | 6.582 ± 0.194 | 6.773 ± 0.200 |
| Sample | pH Value | |||||||
|---|---|---|---|---|---|---|---|---|
| Day 0 | Day 2 | Day 4 | Day 6 | Day 8 | Day 10 | Day 12 | Day 14 | |
| SBF | 7.485 ± 0.222 | 7.491 ± 0.226 | 7.542 ± 0.225 | 7.493 ± 0.224 | 7.438 ± 0.224 | 7.501 ± 0.227 | 7.493 ± 0.222 | 7.570 ± 0.225 |
| 575_HAp | 7.526 ± 0.226 | 7.466 ± 0.224 | 7.546 ± 0.223 | 7.496 ± 0.226 | 7.406 ± 0.227 | 7.566 ± 0.225 | 7.516 ± 0.223 | 7.636 ± 0.224 |
| 700_HAp | 7.584 ± 0.227 | 7.484 ± 0.223 | 7.434 ± 0.222 | 7.444 ± 0.222 | 7.451 ± 0.223 | 7.474 ± 0.225 | 7.474 ± 0.224 | 7.444 ± 0.223 |
| 575_HAp/Col-fish | 7.576 ± 0.228 | 7.455 ± 0.226 | 7.425 ± 0.227 | 7.435 ± 0.224 | 7.505 ± 0.229 | 7.465 ± 0.227 | 7.465 ± 0.226 | 7.435 ± 0.226 |
| 700_HAp/Col-fish | 7.585 ± 0.224 | 7.484 ± 0.227 | 7.633 ± 0.223 | 7.646 ± 0.224 | 7.511 ± 0.226 | 7.572 ± 0.227 | 7.572 ± 0.226 | 7.546 ± 0.225 |
| 575_HAp/Col-bov | 7.557 ± 0.226 | 7.413 ± 0.223 | 7.443 ± 0.223 | 7.453 ± 0.224 | 7.423 ± 0.227 | 7.483 ± 0.226 | 7.483 ± 0.227 | 7.453 ± 0.225 |
| 700_HAp/Col-bov | 7.694 ± 0.231 | 7.496 ± 0.229 | 7.423 ± 0.227 | 7.431 ± 0.226 | 7.405 ± 0.224 | 7.461 ± 0.225 | 7.463 ± 0.227 | 7.434 ± 0.225 |
| Sample | pH Value | |||||||
|---|---|---|---|---|---|---|---|---|
| Day 0 | Day 2 | Day 4 | Day 6 | Day 8 | Day 10 | Day 12 | Day 14 | |
| Ringer solution | 5.749 ± 0.172 | 5.881 ± 0.176 | 5.941 ± 0.174 | 5.820 ± 0.175 | 5.842 ± 0.173 | 5.841 ± 0.172 | 5.850 ± 0.176 | 6.051 ± 0.181 |
| 575_HAp | 5.654 ± 0.169 | 5.794 ± 0.173 | 5.854 ± 0.175 | 5.834 ± 0.175 | 5.854 ± 0.181 | 5.754 ± 0.176 | 5.864 ± 0.174 | 6.064 ± 0.176 |
| 700_HAp | 5.751 ± 0.169 | 5.891 ± 0.164 | 5.851 ± 0.166 | 5.831 ± 0.167 | 5.851 ± 0.164 | 5.751 ± 0.166 | 5.861 ± 0.169 | 6.061 ± 0.170 |
| 575_HAp/Col-fish | 5.634 ± 0.171 | 5.474 ± 0.175 | 5.534 ± 0.172 | 5.474 ± 0.181 | 5.434 ± 0.174 | 5.534 ± 0.175 | 5.544 ± 0.174 | 5.584 ± 0.176 |
| 700_HAp/Col-fish | 5.641 ± 0.169 | 5.481 ± 0.164 | 5.541 ± 0.166 | 5.421 ± 0.167 | 5.441 ± 0.164 | 5.541 ± 0.169 | 5.551 ± 0.167 | 5.451 ± 0.168 |
| 575_HAp/Col-bov | 5.625 ± 0.167 | 5.465 ± 0.168 | 5.425 ± 0.165 | 5.405 ± 0.162 | 5.425 ± 0.166 | 5.525 ± 0.167 | 5.475 ± 0.164 | 5.435 ± 0.169 |
| 700_HAp/Col-bov | 5.621 ± 0.168 | 5.561 ± 0.165 | 5.621 ± 0.168 | 5.501 ± 0.166 | 5.421 ± 0.168 | 5.521 ± 0.169 | 5.531 ± 0.171 | 5.541 ± 0.167 |
| Independent Variable | Measuring Liquid | p * |
|---|---|---|
| Type of crosslinking agent | Distilled water | 0.00157 |
| Type of collagen | 0.01485 | |
| Type of crosslinking agent | Diiodomethane | 4.85299 × 10−4 |
| Type of collagen | 0.00591 |
| Sample * | Surface Free Energy | ||
|---|---|---|---|
| Polar, mJ/m2 | Dispersive, mJ/m2 | Total Free Energy, mJ/m2 | |
| 575_HAp/Coll-fish | 21.28 | 26.59 | 47.87 |
| 575_HAp/Coll-bov | 18.71 | 33.74 | 52.45 |
| 700_HAp/Coll-fish | 14.90 | 29.74 | 44.64 |
| 700_HAp/Coll-bov | 1.40 | 43.66 | 45.06 |
| Sample Name | Ra, µm | Rq, µm | Rsk, µm |
|---|---|---|---|
| 575_HAp | 8.18 ± 1.36 | 9.87 ± 1.79 | −0.09 ± 0.17 |
| 575_HAp/Coll-fish | 9.63 ± 0.06 | 11.71 ± 0.06 | −0.07 ± 0.03 |
| 575_HAp/Coll-bov | 9.02 ± 0.53 | 11.15 ± 0.38 | −0.02 ± 0.32 |
| 700_HAp | 8.42 ± 1.49 | 10.15 ± 1.56 | −0.11 ± 0.31 |
| 700_HAp/Coll-fish | 9.17 ± 0.96 | 11.23 ± 1.18 | −0.11 ± 0.23 |
| 700_HAp/Coll-bov | 7.98 ± 0.68 | 10.45 ± 1.57 | −0.12 ± 0.47 |
| Independent Variable | p * | ||
|---|---|---|---|
| Ra | Rq | Rsk | |
| Type of crosslinking agent | 0.08072 | 0.19422 | 0.89284 |
| Type of collagen | 0.21614 | 0.48395 | 0.94069 |
| Addition of Coll-fish (compared to unmodified material) | 0.25956 | 0.26533 | 0.95593 |
| Addition of Coll-bov (compared to unmodified material) | 0.43402 | 0.04523 | 0.86937 |
Publisher’s Note: MDPI stays neutral with regard to jurisdictional claims in published maps and institutional affiliations. |
© 2021 by the authors. Licensee MDPI, Basel, Switzerland. This article is an open access article distributed under the terms and conditions of the Creative Commons Attribution (CC BY) license (https://creativecommons.org/licenses/by/4.0/).
Share and Cite
Głąb, M.; Drabczyk, A.; Kudłacik-Kramarczyk, S.; Kędzierska, M.; Tomala, A.; Sobczak-Kupiec, A.; Mierzwiński, D.; Tyliszczak, B. Investigations on the Influence of Collagen Type on Physicochemical Properties of PVP/PVA Composites Enriched with Hydroxyapatite Developed for Biomedical Applications. Materials 2022, 15, 37. https://doi.org/10.3390/ma15010037
Głąb M, Drabczyk A, Kudłacik-Kramarczyk S, Kędzierska M, Tomala A, Sobczak-Kupiec A, Mierzwiński D, Tyliszczak B. Investigations on the Influence of Collagen Type on Physicochemical Properties of PVP/PVA Composites Enriched with Hydroxyapatite Developed for Biomedical Applications. Materials. 2022; 15(1):37. https://doi.org/10.3390/ma15010037
Chicago/Turabian StyleGłąb, Magdalena, Anna Drabczyk, Sonia Kudłacik-Kramarczyk, Magdalena Kędzierska, Agnieszka Tomala, Agnieszka Sobczak-Kupiec, Dariusz Mierzwiński, and Bożena Tyliszczak. 2022. "Investigations on the Influence of Collagen Type on Physicochemical Properties of PVP/PVA Composites Enriched with Hydroxyapatite Developed for Biomedical Applications" Materials 15, no. 1: 37. https://doi.org/10.3390/ma15010037
APA StyleGłąb, M., Drabczyk, A., Kudłacik-Kramarczyk, S., Kędzierska, M., Tomala, A., Sobczak-Kupiec, A., Mierzwiński, D., & Tyliszczak, B. (2022). Investigations on the Influence of Collagen Type on Physicochemical Properties of PVP/PVA Composites Enriched with Hydroxyapatite Developed for Biomedical Applications. Materials, 15(1), 37. https://doi.org/10.3390/ma15010037

