Tuning the Surface Properties of Poly(Allylamine Hydrochloride)-Based Multilayer Films
Abstract
1. Introduction
2. Materials and Methods
2.1. Materials
2.2. Synthesis and Characterization of Polymers
2.2.1. N-Methylated Poly(Allylamine) (C1H)
2.2.2. Poly[(3-Allylamino-2-Hydroxypropyl)Trimethylammonium Chloride] (C2H)
2.2.3. Poly{[(Allyltrimethylammonium Chloride)-co-(3-Allylamino-2-Hydroxy-Propyl)Trimethylammonium Chloride]-co-[N-Allyl-N-Hexylamine]} (CAm)
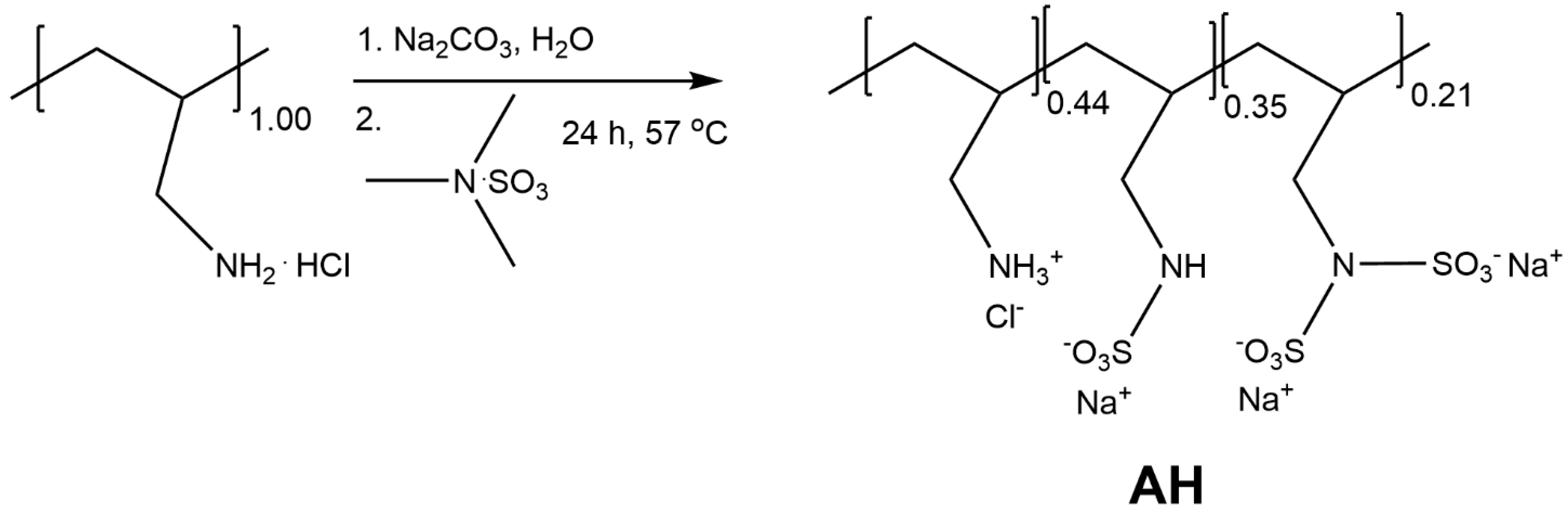
2.2.4. N-Sulfonated Poly(Allylamine Hydrochloride) (AH)
2.2.5. Poly{[(N-Sulfonyl)Allylamine]-co-[(N-Allyl-N-Hexylamine]-co-[(N-Allyl-N-Hexyl-N-Sulfonylamine]} Hydrochloride (AAm)
2.3. Preparation of Polyelectrolyte Multilayers (PEMs)
2.4. Physicochemical Characterization of the Poly(Allylamine Hydrochloride) (PAH) Derivatives and Their PEMs
2.4.1. Elemental Analysis and Spectroscopic Methods
2.4.2. Zeta Potential
2.4.3. Ellipsometry
2.4.4. PEM Wettability
2.4.5. Atomic Force Microscopy (AFM)
3. Results and Discussion
3.1. General Characteristics of the Polymers
3.2. Physicochemical and Morphological Characterization of PEMs
3.2.1. Growth Models of PEMs
3.2.2. Wettability of the PEMs
3.2.3. AFM Characterization of PEMs
- PEM thickness
- PEM roughness
- Morphology of PEMs
4. Conclusions
Supplementary Materials
Author Contributions
Funding
Institutional Review Board Statement
Informed Consent Statement
Data Availability Statement
Conflicts of Interest
References
- Guzmán, E.; Rubio, R.G.; Ortega, F. A closer physico-chemical look to the Layer-by-Layer electrostatic self-assembly of polyelectrolyte multilayers. Adv. Colloid Interface Sci. 2020, 282, 102197. [Google Scholar] [CrossRef]
- Shende, P.; Patil, A.; Prabhakar, B. Layer-by-layer technique for enhancing physicochemical properties of actives. J. Drug Deliv. Sci. Technol. 2020, 56, 101519. [Google Scholar] [CrossRef]
- Pahal, S.; Gakhar, R.; Raichur, A.M.; Varma, M.M. Polyelectrolyte multilayers for bio-applications: Recent advancements. IET Nanobiotechnol. 2017, 11, 903–908. [Google Scholar] [CrossRef] [PubMed]
- Iler, R. Multilayers of colloidal particles. J. Colloid Interface Sci. 1966, 21, 569–594. [Google Scholar] [CrossRef]
- Decher, G. Fuzzy Nanoassemblies: Toward Layered Polymeric Multicomposites. Science 1997, 277, 1232–1237. [Google Scholar] [CrossRef]
- Guo, Y.; Geng, W.; Sun, J. Layer-by-Layer Deposition of Polyelectrolyte−Polyelectrolyte Complexes for Multilayer Film Fabrication. Langmuir 2009, 25, 1004–1010. [Google Scholar] [CrossRef] [PubMed]
- Yoo, P.J.; Zacharia, N.S.; Doh, J.; Nam, K.T.; Belcher, A.M.; Hammond, P.T. Controlling Surface Mobility in Interdiffusing Polyelectrolyte Multilayers. ACS Nano 2008, 2, 561–571. [Google Scholar] [CrossRef] [PubMed]
- Fujita, S.; Shiratori, S. The initial growth of ultra-thin films fabricated by a weak polyelectrolyte layer-by-layer adsorption process. Nanotechnology 2005, 16, 1821–1827. [Google Scholar] [CrossRef]
- Selin, V.; Ankner, J.F.; Sukhishvili, S.A. Nonlinear Layer-by-Layer Films: Effects of Chain Diffusivity on Film Structure and Swelling. Macromolecules 2017, 50, 6192–6201. [Google Scholar] [CrossRef]
- Huang, J.; Moghaddam, S.Z.; Maroni, P.; Thormann, E. Swelling Behavior, Interaction, and Electrostatic Properties of Chitosan/Alginate Dialdehyde Multilayer Films with Different Outermost Layer. Langmuir 2020, 36, 3782–3791. [Google Scholar] [CrossRef]
- Tang, K.; Besseling, N.A.M. Formation of polyelectrolyte multilayers: Ionic strengths and growth regimes. Soft Matter 2015, 12, 1032–1040. [Google Scholar] [CrossRef] [PubMed]
- Fu, J.; Schlenoff, J.B. Driving Forces for Oppositely Charged Polyion Association in Aqueous Solutions: Enthalpic, Entropic, but Not Electrostatic. J. Am. Chem. Soc. 2016, 138, 980–990. [Google Scholar] [CrossRef] [PubMed]
- Bellanger, H.; Casdorff, K.; Muff, L.F.; Ammann, R.; Burgert, I.; Michen, B. Layer-by-layer deposition on a heterogeneous surface: Effect of sorption kinetics on the growth of polyelectrolyte multilayers. J. Colloid Interface Sci. 2017, 500, 133–141. [Google Scholar] [CrossRef] [PubMed]
- Ghostine, R.A.; Markarian, M.Z.; Schlenoff, J.B. Asymmetric Growth in Polyelectrolyte Multilayers. J. Am. Chem. Soc. 2013, 135, 7636–7646. [Google Scholar] [CrossRef]
- Jaber, J.A.; Schlenoff, J.B. Mechanical Properties of Reversibly Cross-Linked Ultrathin Polyelectrolyte Complexes. J. Am. Chem. Soc. 2006, 128, 2940–2947. [Google Scholar] [CrossRef] [PubMed]
- Voigt, U.; Jaeger, W.; Findenegg, A.G.H.; Klitzing, R.V. Charge Effects on the Formation of Multilayers Containing Strong Polyelectrolytes. J. Phys. Chem. B 2003, 107, 5273–5280. [Google Scholar] [CrossRef]
- Jiang, X.; Chen, Z.; Lv, D.; Wu, Q.; Lin, X. Basic Law Controlling the Growth Regime of Layer-by-Layer Assembled Polyelectrolyte Multilayers. Macromol. Chem. Phys. 2008, 209, 175–183. [Google Scholar] [CrossRef]
- Francius, G.; Hemmerlé, J.; Voegel, J.-C.; Schaaf, P.; Senger, B.; Ball, V. Anomalous Thickness Evolution of Multilayer Films Made from Poly-l-lysine and Mixtures of Hyaluronic Acid and Polystyrene Sulfonate. Langmuir 2007, 23, 2602–2607. [Google Scholar] [CrossRef] [PubMed]
- Hübsch, E.; Ball, V.; Senger, B.; Decher, G.; Voegel, J.-C.; Schaaf, P. Controlling the Growth Regime of Polyelectrolyte Multilayer Films: Changing from Exponential to Linear Growth by Adjusting the Composition of Polyelectrolyte Mixtures. Langmuir 2004, 20, 1980–1985. [Google Scholar] [CrossRef]
- Delgado, J.D.; Surmaitis, R.L.; Shaheen, S.A.; Schlenoff, J.B. Engineering Thiolated Surfaces with Polyelectrolyte Multilayers. ACS Appl. Mater. Interfaces 2018, 11, 3524–3535. [Google Scholar] [CrossRef]
- Laugel, N.; Betscha, C.; Winterhalter, M.; Voegel, J.-C.; Schaaf, P.; Ball, V. Relationship between the Growth Regime of Polyelectrolyte Multilayers and the Polyanion/Polycation Complexation Enthalpy. J. Phys. Chem. B 2006, 110, 19443–19449. [Google Scholar] [CrossRef] [PubMed]
- Kreke, M.R.; Badami, A.S.; Brady, J.B.; Akers, R.M.; Goldstein, A.S. Modulation of protein adsorption and cell adhesion by poly(allylamine hydrochloride) heparin films. Biomaterials 2005, 26, 2975–2981. [Google Scholar] [CrossRef]
- Vikulina, A.S.; Anissimov, Y.G.; Singh, P.; Prokopović, V.Z.; Uhlig, K.; Jaeger, M.S.; Von Klitzing, R.; Duschl, C.; Volodkin, D. Temperature effect on the build-up of exponentially growing polyelectrolyte multilayers. An exponential-to-linear transition point. Phys. Chem. Chem. Phys. 2016, 18, 7866–7874. [Google Scholar] [CrossRef]
- Porcel, C.; la Valle, P.; Ball, V.; Decher, G.; Senger, B.; Voegel, J.-C.; Schaaf, P. From Exponential to Linear Growth in Polyelectrolyte Multilayers. Langmuir 2006, 22, 4376–4383. [Google Scholar] [CrossRef] [PubMed]
- Lavalle, P.; Gergely, C.; Cuisinier, F.J.G.; Decher, G.; Schaaf, P.; Voegel, A.J.C.; Picart, C. Comparison of the Structure of Polyelectrolyte Multilayer Films Exhibiting a Linear and an Exponential Growth Regime: An in Situ Atomic Force Microscopy Study. Macromolecules 2002, 35, 4458–4465. [Google Scholar] [CrossRef]
- Picart, C.; Mutterer, J.; Richert, L.; Luo, Y.; Prestwich, G.D.; Schaaf, P.; Voegel, J.-C.; Lavalle, P. Molecular basis for the explanation of the exponential growth of polyelectrolyte multilayers. Proc. Natl. Acad. Sci. USA 2002, 99, 12531–12535. [Google Scholar] [CrossRef]
- Taketa, T.B.; Beppu, M.M. Layer-by-Layer Thin Films of Alginate/Chitosan and Hyaluronic Acid/Chitosan with Tunable Thickness and Surface Roughness. Mater. Sci. Forum 2014, 783–786, 1226–1231. [Google Scholar] [CrossRef]
- Richert, L.; Lavalle, P.; Payan, E.; Shu, X.Z.; Prestwich, G.D.; Stoltz, J.-F.; Schaaf, P.; Voegel, J.-C.; Picart, C. Layer by Layer Buildup of Polysaccharide Films: Physical Chemistry and Cellular Adhesion Aspects. Langmuir 2004, 20, 448–458. [Google Scholar] [CrossRef]
- Bulwan, M.; Wójcik, K.; Zapotoczny, S.; Nowakowska, M. Chitosan-Based Ultrathin Films as Antifouling, Anticoagulant and Antibacterial Protective Coatings. J. Biomater. Sci. Polym. Ed. 2012, 23, 1963–1980. [Google Scholar] [CrossRef]
- Huang, J.; Moghaddam, S.Z.; Thormann, E. Chitosan/Alginate Dialdehyde Multilayer Films with Modulated pH-Responsiveness and Swelling. Macromol. Chem. Phys. 2020, 221, 2070020. [Google Scholar] [CrossRef]
- Wang, F.; Li, J.; Tang, X.; Huang, K.; Chen, L. Polyelectrolyte three layer nanoparticles of chitosan/dextran sulfate/chitosan for dual drug delivery. Colloids Surf. B Biointerfaces 2020, 190, 110925. [Google Scholar] [CrossRef] [PubMed]
- Puciul-Malinowska, A.; Zapotoczny, S. Robust nanocoatings based on ionic silicones. Nanoscale 2018, 10, 12497–12504. [Google Scholar] [CrossRef] [PubMed]
- Wytrwal, M.; Koczurkiewicz, P.; Zrubek, K.; Niemiec, W.; Michalik, M.; Kozik, B.; Szneler, E.; Bernasik, A.; Madeja, Z.; Nowakowska, M.; et al. Growth and motility of human skin fibroblasts on multilayer strong polyelectrolyte films. J. Colloid Interface Sci. 2016, 461, 305–316. [Google Scholar] [CrossRef] [PubMed]
- Wytrwal-Sarna, M.; Koczurkiewicz, P.; Wójcik, K.; Michalik, M.; Kozik, B.; Żylewski, M.; Nowakowska, M.; Kepczynski, M. Synthesis of strong polycations with improved biological properties. J. Biomed. Mater. Res. Part A 2013, 102, 721–731. [Google Scholar] [CrossRef] [PubMed]
- Bulwan, M.; Zapotoczny, S.; Nowakowska, M. Robust “one-component” chitosan-based ultrathin films fabricated using layer-by-layer technique. Soft Matter 2009, 5, 4726–4732. [Google Scholar] [CrossRef]
- Jia, Z.; Shen, D.; Xu, W. Synthesis and antibacterial activities of quaternary ammonium salt of chitosan. Carbohydr. Res. 2001, 333, 1–6. [Google Scholar] [CrossRef]
- Holme, K.R.; Perlin, A.S. Chitosan N-sulfate. A water-soluble polyelectrolyte. Carbohydr. Res. 1997, 302, 7–12. [Google Scholar] [CrossRef]
- Mouslmani, M.; Rosenholm, J.M.; Prabhakar, N.; Peurla, M.; Baydoun, E.; Patra, D. Curcumin associated poly (allylamine hydrochloride)-phosphate self-assembled hierarchically ordered nanocapsules: Size dependent investigation on release and DPPH scavenging activity of curcumin. RSC Adv. 2015, 5, 18740–18750. [Google Scholar] [CrossRef]
- Elzbieciak, M.; Kolasińska, M.; Zapotoczny, S.; Krastev, R.; Nowakowska, M.; Warszyński, P. Nonlinear growth of multilayer films formed from weak polyelectrolytes. Colloids Surf. A Physicochem. Eng. Asp. 2009, 343, 89–95. [Google Scholar] [CrossRef]
- Nestler, P.; Paßvogel, M.; Helm, C.A. Influence of Polymer Molecular Weight on the Parabolic and Linear Growth Regime of PDADMAC/PSS Multilayers. Macromolecules 2013, 46, 5622–5629. [Google Scholar] [CrossRef]
- Paßvogel, M.; Nestler, P.; Köhler, R.; Soltwedel, O.; Helm, C.A. Influence of Binary Polymer Mixtures on the Nonlinear Growth Regimes of Polyelectrolyte Multilayer Films. Macromolecules 2016, 49, 935–949. [Google Scholar] [CrossRef]
- Dubas, S.T.; Schlenoff, J.B. Factors Controlling the Growth of Polyelectrolyte Multilayers. Macromolecules 1999, 32, 8153–8160. [Google Scholar] [CrossRef]
- Klitzing, R.V. Internal structure of polyelectrolyte multilayer assemblies. Phys. Chem. Chem. Phys. 2006, 8, 5012–5033. [Google Scholar] [CrossRef] [PubMed]
- Schlenoff, J.B.; Dubas, S.T. Mechanism of Polyelectrolyte Multilayer Growth: Charge Overcompensation and Distribution. Macromolecules 2001, 34, 592–598. [Google Scholar] [CrossRef]
- Elbert, D.L.; Herbert, A.C.B.; Hubbell, J.A. Thin Polymer Layers Formed by Polyelectrolyte Multilayer Techniques on Biological Surfaces. Langmuir 1999, 15, 5355–5362. [Google Scholar] [CrossRef]
- Salomäki, M.; Vinokurov, A.I.A.; Kankare, J. Effect of Temperature on the Buildup of Polyelectrolyte Multilayers. Langmuir 2005, 21, 11232–11240. [Google Scholar] [CrossRef] [PubMed]
- Wytrwal, M.; Sarna, M.; Bednar, J. Formation of micelles by hydrophobically modified poly (allylamine hydrochloride). Pol. J. Appl. Chem. 2011, 17, 11–17. [Google Scholar]
- Guyomard, A.; Muller, G.; Glinel, K. Buildup of Multilayers Based on Amphiphilic Polyelectrolytes. Macromolecules 2005, 38, 5737–5742. [Google Scholar] [CrossRef]
- Gesang, T.; Fanter, D.; Höper, R.; Possart, W.; Hennemann, O.-D. Comparative film thickness determination by atomic force microscopy and ellipsometry for ultrathin polymer films. Surf. Interface Anal. 1995, 23, 797–808. [Google Scholar] [CrossRef]
- Ciejka, J.; Wolski, K.; Nowakowska, M.; Pyrc, K.; Szczubiałka, K. Biopolymeric nano/microspheres for selective and reversible adsorption of coronaviruses. Mater. Sci. Eng. C 2017, 76, 735–742. [Google Scholar] [CrossRef]
- Saeki, D.; Imanishi, M.; Ohmukai, Y.; Maruyama, T.; Matsuyama, H. Stabilization of layer-by-layer assembled nanofiltration membranes by crosslinking via amide bond formation and siloxane bond formation. J. Membr. Sci. 2013, 447, 128–133. [Google Scholar] [CrossRef]
- Sanyal, O.; Lee, I. Recent progress in the applications of layer-by-layer assembly to the preparation of nanostructured ion-rejecting water purification membranes. J. Nanosci. Nanotechnol. 2014, 14, 2178–2189. [Google Scholar] [CrossRef]
- Javed, S.; Aljundi, I.H. Tuning the RO membranes using the spin-assisted layer by layer assembly of polyelectrolytes. Desalination Water Treat. 2021, 209, 24–36. [Google Scholar] [CrossRef]
- Ciejka, J.; Milewska, A.; Wytrwal, M.; Wojarski, J.; Golda, A.; Ochman, M.; Nowakowska, M.; Szczubialka, K.; Pyrc, K. Novel Polyanions Inhibiting Replication of Influenza Viruses. Antimicrob. Agents Chemother. 2016, 60, 1955–1966. [Google Scholar] [CrossRef]
- Ciejka, J.; Botwina, P.; Nowakowska, M.; Szczubiałka, K.; Pyrc, K. Synthetic sulfonated derivatives of poly (allylamine hydrochloride) as inhibitors of human metapneumovirus. PLoS ONE 2019, 14, e0214646. [Google Scholar] [CrossRef]
- Alkekhia, D.; Hammond, P.T.; Shukla, A. Layer-by-Layer Biomaterials for Drug Delivery. Annu. Rev. Biomed. Eng. 2020, 22, 1–24. [Google Scholar] [CrossRef]
- Kurapati, R.; Groth, T.W.; Raichur, A.M. Recent Developments in Layer-by-Layer Technique for Drug Delivery Applications. ACS Appl. Bio Mater. 2019, 2, 5512–5527. [Google Scholar] [CrossRef]
- Linnik, D.S.; Tarakanchikova, Y.V.; Zyuzin, M.V.; Lepik, K.V.; Aerts, J.L.; Sukhorukov, G.; Timin, A.S. Layer-by-Layer technique as a versatile tool for gene delivery applications. Expert Opin. Drug Deliv. 2021, 1–19. [Google Scholar] [CrossRef]
- Guo, S.; Zhu, X.; Loh, X.J. Controlling cell adhesion using layer-by-layer approaches for biomedical applications. Mater. Sci. Eng. C 2017, 70, 1163–1175. [Google Scholar] [CrossRef]











| Polymer | Type | ζ* [mV] | |
|---|---|---|---|
| Charge | Hydrophilicity | ||
| C1H | cationic | hydrophilic | +34.7 ± 2.56 |
| C2H | cationic | hydrophilic | +33.2 ± 0.68 |
| CAm | cationic | amphiphilic | +43.7 ± 1.78 |
| AH | anionic | hydrophilic | −42.2 ± 3.80 |
| AAm | anionic | amphiphilic | −43.6 ± 1.48 |
| Polycation↓/Polyanion→ | AH | AAm |
|---|---|---|
| C1H | 40/10 | 50/50 |
| C2H | 20/10 | 60/60 |
| CAm | 70/40 | 80/70 |
| PEM | PEM Charge * | Dry [nm] | PBS [nm] | 1 M NaCl [nm] |
|---|---|---|---|---|
| C1H&AH | − | 21.7 ± 0.3 | 26.5 ± 0.3 | 28.0 ± 0.2 |
| + | 26.3 ± 0.4 | 33.7 ± 0.7 | 37.3 ± 0.3 | |
| C2H&AH | − | 29.4 ± 1.0 | 37.2 ± 1.8 | 40.9 ± 2.4 |
| + | 34.4 ± 1.4 | 44.3 ± 1.2 | 85.1 ± 3.0 | |
| CAm&AH | − | 46.9 ± 1.5 | 53.4 ± 2.3 | 89.9 ± 3.6 |
| + | 52.7 ± 1.3 | 71.3 ± 3.4 | 72.8 ± 2.5 | |
| C1H&AAm | − | 26.8 ± 0.3 | 32.6 ± 0.5 | 35.8 ± 0.5 |
| + | 35.1 ± 0.5 | 37.4 ± 0.7 | 38.8 ± 0.8 | |
| C2H&AAm | − | 35.4 ± 2.0 | 39.6 ± 2.7 | 39.6 ± 2.3 |
| + | 41.6 ± 1.1 | 47.7 ± 2.3 | 25.7 ± 1.2 | |
| CAm&AAm | − | 33.5 ± 0.7 | 51.2 ± 1.4 | 40.9 ± 1.3 |
| + | 40.9 ± 0.6 | 39.0 ± 1.0 | 44.1 ± 0.9 |
| PEM | PEM Charge * | Dry [nm] | PBS [nm] | 1 M NaCl [nm] |
|---|---|---|---|---|
| C1H&AH | − | 4.0 ± 0.2 | 4.0 ± 0.3 | 2.0 ± 0.1 |
| + | 1.2 ± 0.2 | 4.7 ± 0.4 | 1.9 ± 0.0 | |
| C2H&AH | − | 1.2 ± 0.2 | 1.4 ± 0.3 | 2.3 ± 0.3 |
| + | 0.9 ± 0.1 | 1.1 ± 0.2 | 2.8 ± 0.3 | |
| CAm&AH | − | 2.1 ± 0.4 | 2.7 ± 0.6 | 3.7 ± 0.7 |
| + | 3.8 ± 0.5 | 2.9 ± 0.4 | 2.0 ± 0.1 | |
| C1H&AAm | − | 4.0 ± 0.7 | 5.0 ± 0.4 | 7.0 ± 0.8 |
| + | 5.0 ± 0.2 | 3.0 ± 0.2 | 6.6 ± 0.4 | |
| C2H&AAm | − | 2.6 ± 0.4 | 1.7 ± 0.4 | 4.9 ± 0.6 |
| + | 2.6 ± 0.5 | 2.9 ± 0.5 | 5.9 ± 0.8 | |
| CAm&AAm | − | 3.9 ± 0.8 | 5.9 ± 1.2 | 3.1 ± 1.0 |
| + | 3.3 ± 0.5 | 4.3 ± 0.6 | 7.0 ± 1.1 |
| PA→ PC↓ | Property | AH | AAm |
|---|---|---|---|
| C1H | thickness | thin | thin |
| growth type | exponential | exponential/linear | |
| wettability | fairly hydrophilic/hydrophilic | fairly hydrophilic | |
| roughness | smooth to medium rough | moderately rough to very rough | |
| C2H | thickness | thick | medium |
| growth type | exponential | exponential/linear | |
| wettability | very hydrophilic | fairly hydrophilic | |
| roughness | smooth | smooth to rough | |
| CAm | thickness | thick | medium |
| growth type | exponential | linear | |
| wettability | hydrophobic/fairly hydrophilic | hydrophobic to very hydrophobic | |
| roughness | smooth | rough |
Publisher’s Note: MDPI stays neutral with regard to jurisdictional claims in published maps and institutional affiliations. |
© 2021 by the authors. Licensee MDPI, Basel, Switzerland. This article is an open access article distributed under the terms and conditions of the Creative Commons Attribution (CC BY) license (https://creativecommons.org/licenses/by/4.0/).
Share and Cite
Ciejka, J.; Grzybala, M.; Gut, A.; Szuwarzynski, M.; Pyrc, K.; Nowakowska, M.; Szczubiałka, K. Tuning the Surface Properties of Poly(Allylamine Hydrochloride)-Based Multilayer Films. Materials 2021, 14, 2361. https://doi.org/10.3390/ma14092361
Ciejka J, Grzybala M, Gut A, Szuwarzynski M, Pyrc K, Nowakowska M, Szczubiałka K. Tuning the Surface Properties of Poly(Allylamine Hydrochloride)-Based Multilayer Films. Materials. 2021; 14(9):2361. https://doi.org/10.3390/ma14092361
Chicago/Turabian StyleCiejka, Justyna, Michal Grzybala, Arkadiusz Gut, Michal Szuwarzynski, Krzysztof Pyrc, Maria Nowakowska, and Krzysztof Szczubiałka. 2021. "Tuning the Surface Properties of Poly(Allylamine Hydrochloride)-Based Multilayer Films" Materials 14, no. 9: 2361. https://doi.org/10.3390/ma14092361
APA StyleCiejka, J., Grzybala, M., Gut, A., Szuwarzynski, M., Pyrc, K., Nowakowska, M., & Szczubiałka, K. (2021). Tuning the Surface Properties of Poly(Allylamine Hydrochloride)-Based Multilayer Films. Materials, 14(9), 2361. https://doi.org/10.3390/ma14092361

