Cutting Tests of the Outer Layer of Material Using Onion as an Example
Abstract
1. Introduction
2. Materials and Methods
- material feed rate vp,
- depth of external shell incisions dn,
- number of air nozzles for de-scaling nd,
- distance of the air nozzles from the material hd, and
- pressure of the air supply to the de-scaling assembly p.
- effectiveness of the machine’s operation Se.
- The material feeding speed vp was defined as the linear speed of the conveyor delivering the onion to the end-cutting zone and cutting the outer layer. This speed was converted into a unit (m·s−1) on the basis of the pre-set rotational speed of the propulsion engine and the values of the transmission ratios. However, in the presentation and elaboration of the results, this amount is provided in units of pieces/min.
- The depth of cuts in the outer layer (scales) dn (mm) were determined as the depth of penetration of the material-cutting knives; this can be adjusted by changing the position of the knife penetration stops.
- The number of air nozzles removing the cut material (scales) nd (pcs.) defines the number of active nozzles involved in the process of removing the scales from the onion with compressed air; the design of the machine allows for the use of one to four air nozzles.
- The distance of the air nozzles from the material dn (mm) was defined as the distance between their tips and the surface of the rotating and conveying rollers, which, after considering the diameter of the material to be cut, indirectly determines the distance of the nozzle tip from the surface of the onion.
- The pressure of the air that supplies the shell-removal system p (bar) was measured as the air pressure at the entrance to the pneumatic system.
- The knives for peeling the onion ends are mounted in a way that allows continuous change of their spacing, which, in combination with the copying system, allows changing the cutting line depending on the size of the material. Consequently, the material does not require any initial, manual selection and is fed automatically from the hopper.
- The scales are cut by one or two pairs of knives. Their activation depends on the type of the material to be cut in order to ensure the required quality of the final product.
- The system of blowing off the cut surface layer elements (scales) was designed with the possibility of adjustment and adaptation by changing the distance of nozzles from the cut material, as well as the number of active nozzles. In addition, an oscillating movement of the nozzle assembly was applied, which enables more efficient operation of the cleaning unit.
- The machine is equipped with an optical system manufactured by Sick, which enables the assessment of peeling efficiency and material cleanliness.
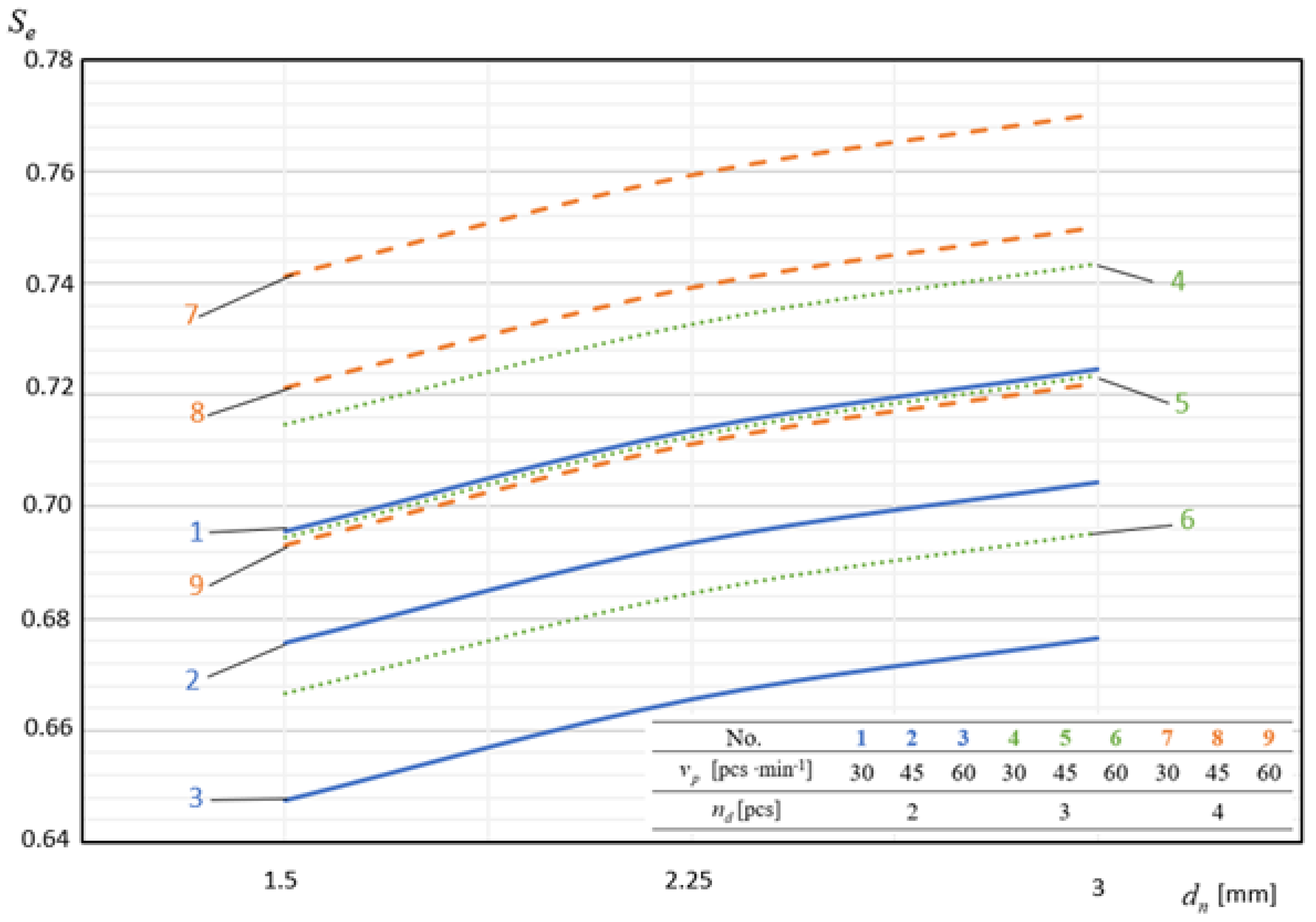
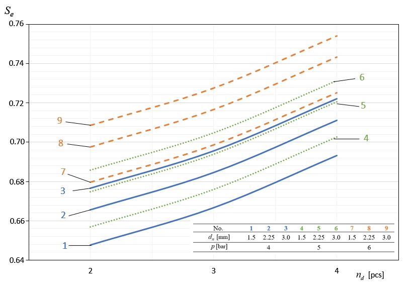
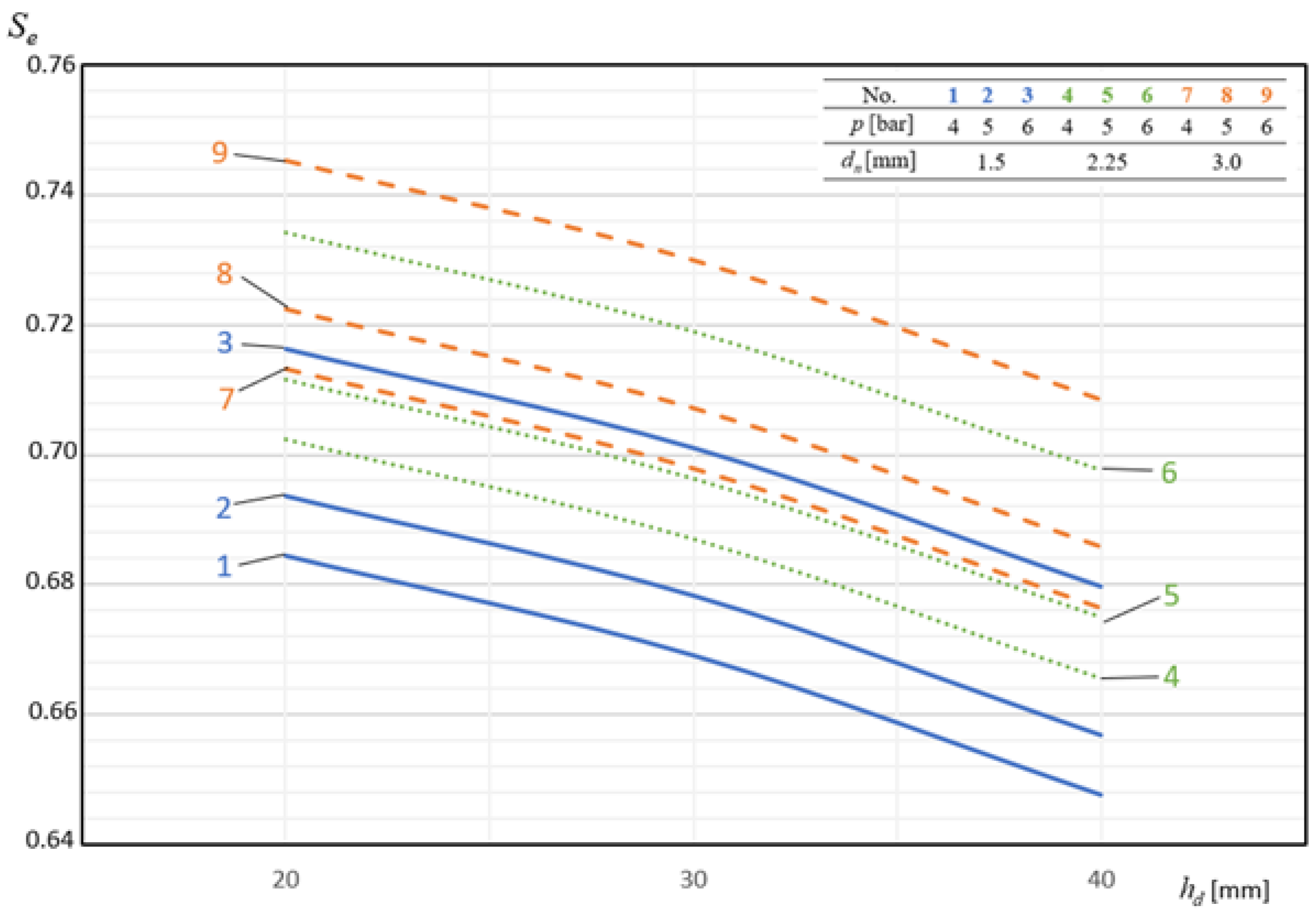
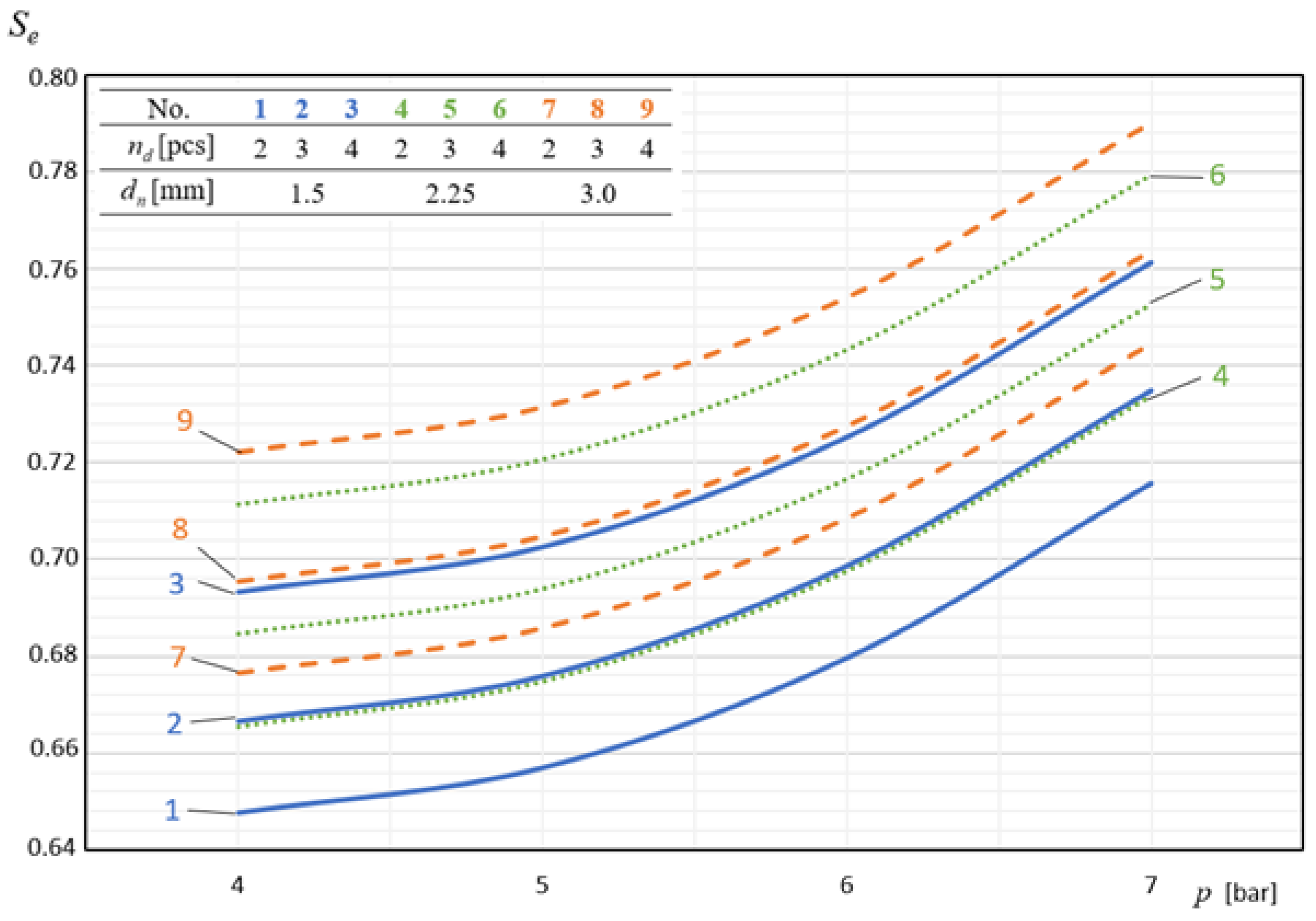
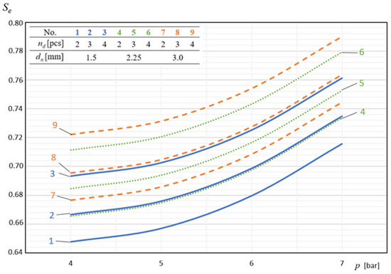
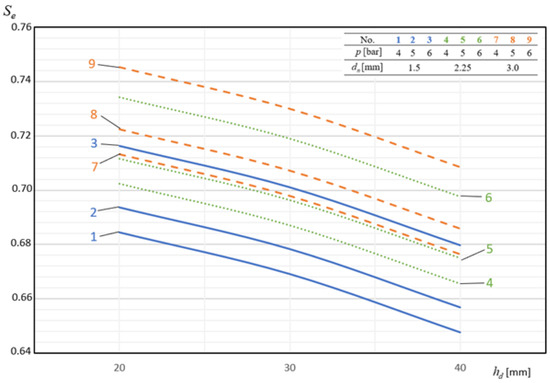
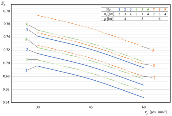
3. Results
- All 11 regression coefficients were determined and their significance was analysed at the significance level α = 0.05 by determining the tkr value from the Student’s t distribution for 324-11-1 degrees of freedom,
- Expressions containing structural parameters not statistically significant were eliminated,
- The regression equation was modified by the least statistically significant terms and the analysis of the regression coefficients was repeated until all the structural parameters of the equation satisfied the significance condition,
- The final equation of the multivariate regression function was defined,
- A test of the adequacy of the function for the obtained regression equation was conducted by performing the F-Snedecor significance test at the assumed confidence level of α = 0.05, verifying the hypotheses on the adequacy of the model by comparing the variance in the approximation errors with the variance in the measurement inaccuracy of the variable determined.
4. Conclusions
Author Contributions
Funding
Institutional Review Board Statement
Informed Consent Statement
Data Availability Statement
Conflicts of Interest
References
- McCallum, J.; Clarke, A.; Pither-Joyce, M.; Shaw, M.; Butler, R.; Brash, D.; Scheffer, J.; Sims, I.; Van Heusden, S.; Shigyo, M.; et al. Genetic mapping of a major gene affecting onion bulb fructan content. Theor. Appl. Genet. 2006, 112, 958–967. [Google Scholar] [CrossRef] [PubMed]
- Ladyzynska, A.P.J. Chemistry and Physiology of Fruits and Vegetables; PWRiL: Warsaw, Poland, 1995. [Google Scholar]
- Grzelak, K. Onion as a Source of Prebiotics in Autumn-Winter Period. Food Sci. Technol. Qual. 2006, 13, 67–75. [Google Scholar]
- Central Statistical Office—Statistics Poland, Agriculture Department. Production of Agricultural and Horticultural Crops in 2018; Department of Statistical Publications: Warsaw, Poland, 2019. [Google Scholar]
- Zastempowski, M.; Bochat, A. Research Issues in the Process of Cutting Straw into Pieces. Sustainability 2020, 12, 6167. [Google Scholar] [CrossRef]
- Zastempowski, M.; Bochat, A. Impact of design and parameters of the drum cutting assembly operation on non-uniformity of biomass length cutting. Przem. Chem. 2020, 99, 457–461. [Google Scholar]
- Bochat, A.; Zastempowski, M. Comparative Study of Rape Straw Cutting with Two Drum Cutting Assemblies. Trans. ASABE 2020, 63, 345–350. [Google Scholar] [CrossRef]
- Bochat, A.; Zastempowski, M. Modelling of the grain materials ’shredding process for the purposes of the beater shredders’ designing. In Proceedings of the MATEC Web of Conferences; EDP Sciences: Les Ulis, France, 2018; Volume 182, p. 02002. [Google Scholar]
- Du, D.D.; Wang, J. Research on mechanics properties of crop stalks: A review. Int. J. Agric. Biol. Eng. 2016, 9, 10–19. [Google Scholar]
- Igathinathane, C.; Pordesimo, L.; Schilling, M.; Columbus, E. Fast and simple measurement of cutting energy requirement of plant stalk and prediction model development. Ind. Crop. Prod. 2011, 33, 518–523. [Google Scholar] [CrossRef]
- Lisowski, A.; Klonowski, J.; Sypula, M.; Chlebowski, J.; Kostyra, K.; Nowakowski, T.; Struzyk, A.; Swietochowski, A.; Dabrowska, M.; Piatek, M.; et al. Energy of feeding and chopping of biomass processing in the working units of forage harvester and energy balance of methane production from selected energy plants species. Biomass Bioenergy 2019, 128, 128. [Google Scholar] [CrossRef]
- Kruszelnicka, W.; Kasner, R.; Baldowska-Witos, P.; Flizikowski, J.; Tomporowski, A. The Integrated Energy Consumption Index for Energy Biomass Grinding Technology Assessment. Energies 2020, 13, 1417. [Google Scholar] [CrossRef]
- Tomporowski, A.; Flizikowski, J.; Al-Zubiedy, A. An active monitoring of biomaterials grinding. Przem. Chem. 2018, 97, 250–257. [Google Scholar]
- Azura Osman, N.N.M.S.; Ramli, A. The Development and Evaluation of Onion Peeling Machine for SMEs Industry. Politek. Kolej Komuniti J. Eng. Technol. 2020, 5, 106–118. [Google Scholar]
- El-Ghobashy, H.; Bhansawi, A.; Ali, S.A.; Afify, M.T.; Emara, Z. Development and Evaluation of an Onion Peeling Machine. Misr J. Agric. Eng. 2012, 29, 663–682. [Google Scholar] [CrossRef]
- Ravichandran, P.A.; Sathish Kumar, C.S.; Sakthivel, A.; Thenralarasu, S. Design and fabrication of automatic onion peeling and cutting machine. Int. J. Sci. Technol. Res. 2019, 8, 2067–2070. [Google Scholar]
- Bochat, A. Theory and Construction of Cutting Units of Agricultural Machines; UTP, Ed.; UTP University of Science and Technology: Bydgoszcz, Poland, 2010. [Google Scholar]













| Independent Variables | Values of Independent Variables | |||
|---|---|---|---|---|
| x1 | x2 | x3 | x4 | |
| Material feeding speed vp (pcs./min) | 30 | 45 | 60 | |
| Depth of external shell cuts dn (mm) | 1.5 | 1.25 | 3 | |
| Number of air nozzles nd (pcs.) | 2 | 3 | 4 | |
| Distance of the air nozzles from the material hd (mm) | 20 | 30 | 40 | |
| Air pressure of scale remover p (bar) | 4 | 5 | 6 | 7 |
| Regression Coefficient | Regression Coefficient Value | Standard Deviation of the Regression Coefficient | Significance Test | |
|---|---|---|---|---|
| t | tkr | |||
| a1 | 0.7851 | 0.0230 | 34.13 | - |
| a3 | 0.0475 | 0.0113 | 4.20 | - |
| a6 | −0.0510 | 0.0073 | 6.97 | - |
| a7 | 0.0000 | 0.0000 | 29.74 | 1.98 |
| a8 | −0.0063 | 0.0025 | 2.51 | - |
| a9 | 0.0038 | 0.0001 | 28.57 | - |
| a10 | 3.06 × 10−5 | 1.35 × 10−6 | 22.73 | - |
| a11 | 0.0067 | 0.0007 | 10.11 | - |
| Residual standard deviation | 0.119 | F | Fkr | |
| Multidimensional correlation coefficient | 0.9636 | 587.47 | 1.82 | |
| (bar) | ||||||||
|---|---|---|---|---|---|---|---|---|
| 30 | 20 | 4 | 1.5 | 0.7557 | 2.25 | 0.7717 | 3 | 0.7843 |
| 5 | 0.7663 | 0.7825 | 0.7953 | |||||
| 6 | 0.7884 | 0.8051 | 0.8183 | |||||
| 7 | 0.8268 | 0.8443 | 0.8581 | |||||
| 30 | 4 | 0.7462 | 0.7597 | 0.7674 | ||||
| 5 | 0.7566 | 0.7703 | 0.7782 | |||||
| 6 | 0.7785 | 0.7926 | 0.8007 | |||||
| 7 | 0.8164 | 0.8311 | 0.8396 | |||||
| 40 | 4 | 0.726 | 0.7345 | 0.7443 | ||||
| 5 | 0.7362 | 0.7448 | 0.7548 | |||||
| 6 | 0.7575 | 0.7663 | 0.7766 | |||||
| 7 | 0.7944 | 0.8036 | 0.8144 | |||||
| 45 | 20 | 4 | 1.5 | 0.7238 | 2.25 | 0.7452 | 3 | 0.7575 |
| 5 | 0.7339 | 0.7556 | 0.7681 | |||||
| 6 | 0.7552 | 0.7774 | 0.7903 | |||||
| 7 | 0.7919 | 0.8153 | 0.8287 | |||||
| 30 | 4 | 0.7125 | 0.7335 | 0.7456 | ||||
| 5 | 0.7225 | 0.7438 | 0.7561 | |||||
| 6 | 0.7434 | 0.7653 | 0.7779 | |||||
| 7 | 0.7795 | 0.8026 | 0.8158 | |||||
| 40 | 4 | 0.6911 | 0.7069 | 0.7255 | ||||
| 5 | 0.7008 | 0.7168 | 0.7357 | |||||
| 6 | 0.721 | 0.7376 | 0.757 | |||||
| 7 | 0.7561 | 0.7734 | 0.7938 | |||||
| 60 | 20 | 4 | 1.5 | 0.6965 | 2.25 | 0.7127 | 3 | 0.7252 |
| 5 | 0.7063 | 0.7226 | 0.7353 | |||||
| 6 | 0.7267 | 0.7435 | 0.7566 | |||||
| 7 | 0.7621 | 0.7797 | 0.7934 | |||||
| 30 | 4 | 0.6857 | 0.7015 | 0.7139 | ||||
| 5 | 0.6953 | 0.7114 | 0.7239 | |||||
| 6 | 0.7154 | 0.7319 | 0.7448 | |||||
| 7 | 0.7502 | 0.7675 | 0.781 | |||||
| 40 | 4 | 0.6629 | 0.6826 | 0.6924 | ||||
| 5 | 0.6722 | 0.6922 | 0.7021 | |||||
| 6 | 0.6916 | 0.7122 | 0.7224 | |||||
| 7 | 0.7253 | 0.7468 | 0.7575 |
| Dependent Variable | Independent Variables | |||||
|---|---|---|---|---|---|---|
| Name | Value | (bar) | ||||
| Effectiveness of machine operation | min = 0.645 | 60 | 1.5 | 2 | 40 | 4 |
| max = 0.780 | 30 | 3 | 4 | 20 | 7 | |
Publisher’s Note: MDPI stays neutral with regard to jurisdictional claims in published maps and institutional affiliations. |
© 2021 by the authors. Licensee MDPI, Basel, Switzerland. This article is an open access article distributed under the terms and conditions of the Creative Commons Attribution (CC BY) license (https://creativecommons.org/licenses/by/4.0/).
Share and Cite
Bochat, A.; Zastempowski, M.; Wachowicz, M. Cutting Tests of the Outer Layer of Material Using Onion as an Example. Materials 2021, 14, 2360. https://doi.org/10.3390/ma14092360
Bochat A, Zastempowski M, Wachowicz M. Cutting Tests of the Outer Layer of Material Using Onion as an Example. Materials. 2021; 14(9):2360. https://doi.org/10.3390/ma14092360
Chicago/Turabian StyleBochat, Andrzej, Marcin Zastempowski, and Marcin Wachowicz. 2021. "Cutting Tests of the Outer Layer of Material Using Onion as an Example" Materials 14, no. 9: 2360. https://doi.org/10.3390/ma14092360
APA StyleBochat, A., Zastempowski, M., & Wachowicz, M. (2021). Cutting Tests of the Outer Layer of Material Using Onion as an Example. Materials, 14(9), 2360. https://doi.org/10.3390/ma14092360

