Inverse 3D Printing with Variations of the Strand Width of the Resulting Scaffolds for Bone Replacement
Abstract
1. Introduction
2. Materials and Methods
2.1. Sample Manufacturing
2.2. Sample Characterization
2.2.1. Dimensions
2.2.2. Surface Roughness
2.2.3. Mechanical Testing
2.2.4. Microstructure and Elemental Analysis
2.3. Biocompatibility
Live/Dead Assay
2.4. Incubation in Simulated Body Fluid (SBF)
2.5. Statistics
3. Results
3.1. Sample Characterization
3.1.1. Dimension
3.1.2. Microstructure and Elemental Analysis
3.1.3. Surface Roughness
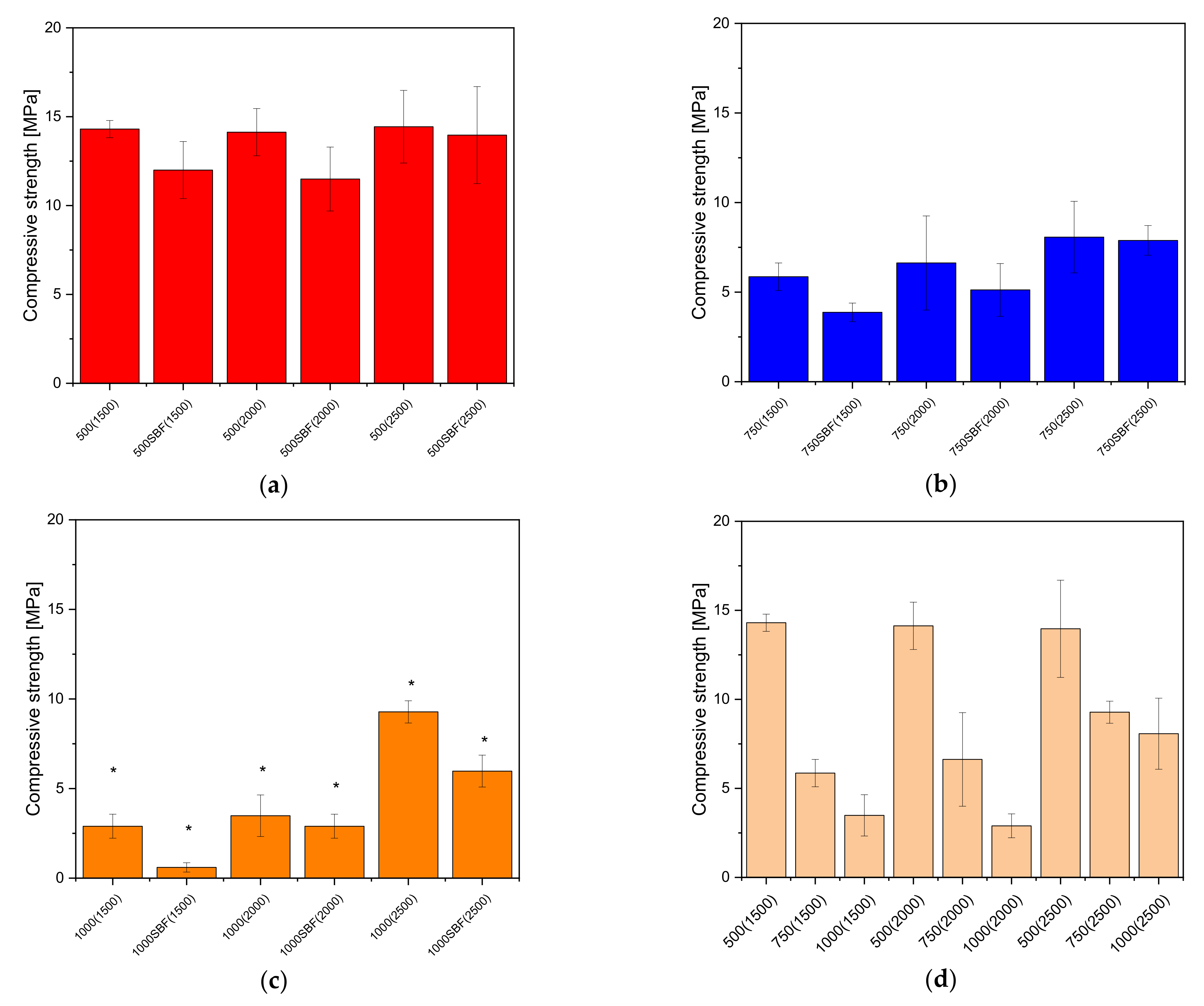
3.1.4. Mechanical Testings
3.2. Biocompatibility
Live/Dead Assay
4. Discussion
4.1. Sample Characterization
4.1.1. Dimensions
4.1.2. Surface Roughness
4.1.3. Mechanical Testing
4.2. Biocompatibility
5. Conclusions
Author Contributions
Funding
Institutional Review Board Statement
Informed Consent Statement
Data Availability Statement
Acknowledgments
Conflicts of Interest
Appendix A


References
- Bose, S.; Roy, M.; Bandyopadhyay, A. Recent advances in bone tissue engineering scaffolds. Trends Biotechnol. 2012, 30, 546–554. [Google Scholar] [CrossRef]
- Destatis. Gesundheit—Fallpauschalenbezogene Krankenhausstatistik (drg-statistik) Operationen und Prozeduren der Vollstationären Patientinnen und Patienten in Krankenhäusern (4-steller); Statistisches Bundesamt (Destatis): Wiesbaden, Germany, 2020.
- Destatis. Gesundheit—Fallpauschalenbezogene Krankenhausstatistik (drg-statistik) Operationen und Prozeduren der Vollstationären Patientinnen und Patienten in Krankenhäusern (4-steller); Statistisches Bundesamt (Destatis): Wiesbaden, Germany, 2005.
- Affatato, S.; Jaber, S.A.; Taddei, P. Ceramics for hip joint replacement. In Biomaterials in Clinical Practice: Advances in Clinical Research and Medical Devices; Zivic, F., Affatato, S., Trajanovic, M., Schnabelrauch, M., Grujovic, N., Choy, K.L., Eds.; Springer International Publishing: Cham, Switzerland, 2018; pp. 167–181. [Google Scholar] [CrossRef]
- Von Schewelov, T.; Sanzén, L.; Önsten, I.; Carlsson, Å.; Besjakov, J. Total hip replacement with a zirconium oxide ceramic femoral head. J. Bone Jt. Surg. Br. Vol. 2005, 87, 1631–1635. [Google Scholar] [CrossRef] [PubMed][Green Version]
- Riedel, C.; Wendler, M.; Belli, R.; Petschelt, A.; Lohbauer, U. In vitro lifetime of zirconium dioxide-based crowns veneered using rapid layer technology. Eur. J. Oral Sci. 2019, 127, 179–186. [Google Scholar] [CrossRef] [PubMed]
- Lakshmi, T.; Krishnan, V. Bioglass: A novel biocompatible innovation. J. Adv. Pharm. Technol. Res. 2013, 4, 78–83. [Google Scholar] [CrossRef]
- Magri, A.M.P.; Chaves, M.D.; Bello, L.; Crovace, M.C.; Rennó, A.C.M. Use of biosilicate to treat bone defects due to periapical disease: A case report. Case Rep. Dent. Health Curr. Res. 2017, 3, 127. [Google Scholar] [CrossRef]
- Neelakantan, P.; Berger, T.; Primus, C.; Shemesh, H.; Wesselink, P.R. Acidic and alkaline chemicals’ influence on a tricalcium silicate-based dental biomaterial. J. Biomed. Mater. B 2019, 107, 377–387. [Google Scholar] [CrossRef]
- Zhang, Y.; Shen, L.; Wang, P.; Xi, W.; Yu, Z.; Huang, X.; Wang, X.; Shou, D. Treatment with vancomycin loaded calcium sulphate and autogenous bone in an improved rabbit model of bone infection. JoVE 2019, 145. [Google Scholar] [CrossRef]
- Bohner, M.; Galea, L.; Doebelin, N. Calcium phosphate bone graft substitutes: Failures and hopes. J. Eur. Ceram. Soc. 2012, 32, 2663–2671. [Google Scholar] [CrossRef]
- Bohner, M. Calcium orthophosphates in medicine: From ceramics to calcium phosphate cements. Injury 2000, 31, 37–47. [Google Scholar] [CrossRef]
- Gaasbeek, R.D.A.; Toonen, H.G.; van Heerwaarden, R.J.; Buma, P. Mechanism of bone incorporation of β-tcp bone substitute in open wedge tibial osteotomy in patients. Biomaterials 2005, 26, 6713–6719. [Google Scholar] [CrossRef]
- Rogers-Foy, J.M.; Powers, D.L.; Brosnan, D.A.; Barefoot, S.F.; Friedman, R.J.; LaBerge, M. Hydroxyapatite composites designed for antibiotic drug delivery and bone reconstruction: A caprine model. J. Investig. Surg. 1999, 12, 263–275. [Google Scholar] [CrossRef] [PubMed]
- Mayr, H.O.; Hube, R.; Bernstein, A.; Seibt, A.B.; Hein, W.; von Eisenhart-Rothe, R. Beta-tricalcium phosphate plugs for press-fit fixation in acl reconstruction—A mechanical analysis in bovine bone. Knee 2007, 14, 239–244. [Google Scholar] [CrossRef] [PubMed]
- Tanaka, T.; Komaki, H.; Chazono, M.; Kitasato, S.; Kakuta, A.; Akiyama, S.; Marumo, K. Basic research and clinical application of beta-tricalcium phosphate (β-tcp). Morphologie 2017, 101, 164–172. [Google Scholar] [CrossRef] [PubMed]
- Sánchez-Salcedo, S.; Nieto, A.; Vallet-Regí, M. Hydroxyapatite/[beta]-tricalcium phosphate/agarose macroporous scaffolds for bone tissue engineering. Chem. Eng. J. 2008, 137, 62–71. [Google Scholar] [CrossRef]
- Peter, B.; Pioletti, D.P.; Laïb, S.; Bujoli, B.; Pilet, P.; Janvier, P.; Guicheux, J.; Zambelli, P.Y.; Bouler, J.M.; Gauthier, O. Calcium phosphate drug delivery system: Influence of local zoledronate release on bone implant osteointegration. Bone 2005, 36, 52–60. [Google Scholar] [CrossRef]
- Hesaraki, S.; Zamanian, A.; Khorami, M. Nano-structured apatite granules as drug delivery device for bone infection treatments. J. Aust. Ceram. Soc. 2011, 47, 32–36. [Google Scholar]
- Seidenstuecker, M.; Ruehe, J.; Suedkamp, N.P.; Serr, A.; Wittmer, A.; Bohner, M.; Bernstein, A.; Mayr, H.O. Composite material consisting of microporous β-tcp ceramic and alginate for delayed release of antibiotics. Acta Biomater. 2017, 433–446. [Google Scholar] [CrossRef]
- Wada, S.; Kitamura, N.; Nonoyama, T.; Kiyama, R.; Kurokawa, T.; Gong, J.P.; Yasuda, K. Hydroxyapatite-coated double network hydrogel directly bondable to the bone: Biological and biomechanical evaluations of the bonding property in an osteochondral defect. Acta Biomater. 2016, 44, 125–134. [Google Scholar] [CrossRef]
- David, G. Chapter 35—Collagen-based 3d structures—Versatile, efficient materials for biomedical applications. In Biopolymer-Based Formulations; Pal, K., Banerjee, I., Sarkar, P., Kim, D., Deng, W.-P., Dubey, N.K., Majumder, K., Eds.; Elsevier: Amsterdam, The Netherlands, 2020; pp. 881–906. [Google Scholar] [CrossRef]
- Parenteau-Bareil, R.; Gauvin, R.; Berthod, F. Collagen-based biomaterials for tissue engineering applications. Materials 2010, 3, 1863–1887. [Google Scholar] [CrossRef]
- Vorndran, E.; Geffers, M.; Ewald, A.; Lemm, M.; Nies, B.; Gbureck, U. Ready-to-use injectable calcium phosphate bone cement paste as drug carrier. Acta Biomater. 2013, 9, 9558–9567. [Google Scholar] [CrossRef]
- Vorndran, E.; Moseke, C.; Gbureck, U. 3d printing of ceramic implants. MRS Bull. 2015, 40, 127–136. [Google Scholar] [CrossRef]
- Salgado, A.J.; Coutinho, O.P.; Reis, R.L. Bone tissue engineering: State of the art and future trends. Macromol. Biosci. 2004, 4, 743–765. [Google Scholar] [CrossRef] [PubMed]
- Mohanty, S.; Sanger, K.; Heiskanen, A.; Trifol, J.; Szabo, P.; Dufva, M.; Emnéus, J.; Wolff, A. Fabrication of scalable tissue engineering scaffolds with dual-pore microarchitecture by combining 3d printing and particle leaching. Mater. Sci. Eng. C 2016, 61, 180–189. [Google Scholar] [CrossRef] [PubMed]
- Epple, M. Biomaterialien und Biomineralisation; Teubner: Wiesbaden, Germany, 2003; ISBN 3-519-00354-6. [Google Scholar]
- Du, X.; Fu, S.; Zhu, Y. 3d printing of ceramic-based scaffolds for bone tissue engineering: An overview. J. Mater. Chem. B 2018, 6, 4397–4412. [Google Scholar] [CrossRef] [PubMed]
- Seidenstuecker, M.; Kerr, L.; Bernstein, A.; Mayr, H.; Suedkamp, N.; Gadow, R.; Krieg, P.; Hernandez Latorre, S.; Thomann, R.; Syrowatka, F.; et al. 3d powder printed bioglass and β-tricalcium phosphate bone scaffolds. Materials 2018, 11, 13. [Google Scholar] [CrossRef] [PubMed]
- Liao, H.-T.; Lee, M.-Y.; Tsai, W.-W.; Wang, H.-C.; Lu, W.-C. Osteogenesis of adipose-derived stem cells on polycaprolactone–β-tricalcium phosphate scaffold fabricated via selective laser sintering and surface coating with collagen type i. J. Tissue Eng. Regen. Med. 2016, 10, E337–E353. [Google Scholar] [CrossRef]
- Crump, S.S. Apparatus and Method for Creating Three-Dimensional Objects. U.S. Patent 5,121,329, 30 October 1989. [Google Scholar]
- Wang, X.; Jiang, M.; Zhou, Z.; Gou, J.; Hui, D. 3d printing of polymer matrix composites: A review and prospective. Compos. Part. B Eng. 2017, 110, 442–458. [Google Scholar] [CrossRef]
- Bose, S.; Vahabzadeh, S.; Bandyopadhyay, A. Bone tissue engineering using 3d printing. Mater. Today 2013, 16, 496–504. [Google Scholar] [CrossRef]
- Trombetta, R.; Inzana, J.A.; Schwarz, E.M.; Kates, S.L.; Awad, H.A. 3d printing of calcium phosphate ceramics for bone tissue engineering and drug delivery. Ann. Biomed. Eng. 2017, 45, 23–44. [Google Scholar] [CrossRef]
- Eom, J.-H.; Kim, Y.-W.; Raju, S. Processing and properties of macroporous silicon carbide ceramics: A review. J. Asian Ceram. Soc. 2013, 1, 220–242. [Google Scholar] [CrossRef]
- Bergmann, C.; Lindner, M.; Zhang, W.; Koczur, K.; Kirsten, A.; Telle, R.; Fischer, H. 3d printing of bone substitute implants using calcium phosphate and bioactive glasses. J. Eur. Ceram. Soc. 2010, 30, 2563–2567. [Google Scholar] [CrossRef]
- Moore, W.R.; Graves, S.E.; Bain, G.I. Synthetic bone graft substitutes. ANZ J. Surg. 2001, 71, 354–361. [Google Scholar] [CrossRef] [PubMed]
- Seidenstuecker, M.; Lange, S.; Esslinger, S.; Latorre, S.H.; Krastev, R.; Gadow, R.; Mayr, H.O.; Bernstein, A. Inversely 3d-printed β-tcp scaffolds for bone replacement. Materials 2019, 12, 3417. [Google Scholar] [CrossRef] [PubMed]
- Esslinger, S.; Gadow, R. Additive manufacturing of bioceramic scaffolds by combination of fdm and slip casting. J. Eur. Ceram. Soc. 2020, 40, 3707–3713. [Google Scholar] [CrossRef]
- Esslinger, S. Additive Fertigung Bioaktiver Keramiken zur Herstellung von Knochenersatzstrukturen; Shaker: Stuttgart, Germany, 2020; ISBN 978-3844075519. [Google Scholar]
- Bose, S.; Tarafder, S. Calcium phosphate ceramic systems in growth factor and drug delivery for bone tissue engineering: A review. Acta Biomater. 2012, 8, 1401–1421. [Google Scholar] [CrossRef]
- Klarner, M. 3d-Pulverdruck von Calciumphosphat-Keramiken mit Polymeren und Anorganischen Bindersystemen Polymer and Inorganic 3d-Rapid Prototyping systems to Build Calciumphospate-Ceramics. Ph.D. Thesis, Julius-Maximilians-Universität, Würzburg, Germany, 2009. [Google Scholar]
- Faigle, G.; Bernstein, A.; Suedkamp, N.P.; Mayr, H.O.; Peters, F.; Huebner, W.D.; Seidenstuecker, M. Release behavior of van from four types of cap-ceramic granules using various loading methods at two different degrees of acidity. J. Mater. Sci. Mater. Med. 2017, 29, 12. [Google Scholar] [CrossRef]
- Seidenstuecker, M.; Mrestani, Y.; Neubert, R.H.H.; Bernstein, A.; Mayr, H.O. Release kinetics and antibacterial efficacy of microporous β-tcp coatings. J. Nanomater. 2013, 2013, 8. [Google Scholar] [CrossRef]
- Kissling, S.; Seidenstuecker, M.; Pilz, I.H.; Suedkamp, N.P.; Mayr, H.O.; Bernstein, A. Sustained release of rhbmp-2 from microporous tricalciumphosphate using hydrogels as a carrier. BMC Biotechnol. 2016, 16, 44. [Google Scholar] [CrossRef]
- Jalota, S.; Bhaduri, S.B.; Tas, A.C. Using a synthetic body fluid (sbf) solution of 27 mm HCO3− to make bone substitutes more osteointegrative. Mater. Sci. Eng. C 2008, 28, 129–140. [Google Scholar] [CrossRef]
- Tsuchida, T.; Kubo, J.; Yoshioka, T.; Sakuma, S.; Takeguchi, T.; Ueda, W. Reaction of ethanol over hydroxyapatite affected by ca/p ratio of catalyst. J. Catal. 2008, 259, 183–189. [Google Scholar] [CrossRef]
- Mehdikhani, B.; Borhani, G.H. Densification and mechanical behavior of β-tricalcium phosphate bioceramics. Int. Lett. Chem. Phys. Astron. 2014, 36, 37–49. [Google Scholar] [CrossRef]
- Khiri, M.Z.A.; Matori, K.A.; Zaid, M.H.M.; Abdullah, C.A.C.; Zainuddin, N.; Alibe, I.M.; Rahman, N.A.A.; Wahab, S.A.A.; Azman, A.Z.K.; Effendy, N. Crystallization behavior of low-cost biphasic hydroxyapatite/β-tricalcium phosphate ceramic at high sintering temperatures derived from high potential calcium waste sources. Results Phys. 2019, 12, 638–644. [Google Scholar] [CrossRef]
- Bose, S.; Darsell, J.; Kintner, M.; Hosick, H.; Bandyopadhyay, A. Pore size and pore volume effects on alumina and tcp ceramic scaffolds. Mater. Sci. Eng. C 2003, 23, 479–486. [Google Scholar] [CrossRef]
- Olszta, M.J.; Cheng, X.; Jee, S.S.; Kumar, R.; Kim, Y.-Y.; Kaufman, M.J.; Douglas, E.P.; Gower, L.B. Bone structure and formation: A new perspective. Mater. Sci. Eng. Rep. 2007, 58, 77–116. [Google Scholar] [CrossRef]
- Zhang, X.; Jiang, F.; Groth, T.; Vecchio, K.S. Preparation, characterization and mechanical performance of dense β-tcp ceramics with/without magnesium substitution. J. Mater. Sci. Mater. Med. 2008, 19, 3063–3070. [Google Scholar] [CrossRef]










| Pore Size (µm) | Strand Width (µm) | ||
|---|---|---|---|
| 1500 | 2000 | 2500 | |
| 500 | 500(1500) | 500(2000) | 500(2500) |
| 750 | 750(1500) | 750(2000) | 750(2500) |
| 1000 | 1000(1500) | 1000(2000) | 1000(2500) |
| Chemical Substance | Quantity (g) | Order No. Sigma Aldrich * |
|---|---|---|
| NaCl | 3.274 | S9888 |
| NaHCO3 | 1.1134 | S6014 |
| KCl | 0.187 | P3911 |
| Na2HPO4 2H2O | 0.089 | 71643 |
| MgCl2 | 0.071 | M8266 |
| CaCl2 2H2O | 0.184 | 223506 |
| Na2SO4 | 0.0355 | 239313 |
| (CH2OH)3CNH2 | 3.0285 | T1378 |
| 1M HCl solution | until pH 7.4 | 1090571000 ** |
| Sample | Width (mm) | Height (mm) |
|---|---|---|
| 500(1500) | 13.1 ± 0.2 | 5.6 ± 0.4 |
| 750(1500) | 13.3 ± 0.1 | 6.4 ± 0.3 |
| 1000(1500) | 14.7 ± 0.1 | 8.1 ± 0.5 |
| 500(2000) | 13.2 ± 0.2 | 5.4 ± 0.1 |
| 750(2000) | 14.1 ± 0.1 | 8.1 ± 0.1 |
| 1000(2000) | 15.3 ± 0.1 | 10.8 ± 0.1 |
| 500(2500) | 15.6 ± 0.2 | 5.7 ± 0.1 |
| 750(2500) | 17.3 ± 0.5 | 8.3 ± 0.2 |
| 1000(2500) | 17.5 ± 0.5 | 9.1 ± 0.3 |
| Sample | Dimensions (µm) | Macro Porosity (%) | Mean Sinter Shrinking (%) | |
|---|---|---|---|---|
| Pore Size | Strand Width | |||
| 500(1500) | 456.8 ± 33.7 | 1384.0 ± 40 | 21.57 | 8.3 ± 0.8 |
| 500(2000) | 388.0 ± 27.2 | 1544.0 ± 42.4 | 11.62 | 22.6 ± 0.3 |
| 500(2500) | 481.3 ± 30.0 | 2144.0 ± 12.7 | 14.90 | 9.0 ± 7.4 |
| 750(1500) | 733.3 ± 78.7 | 1241.0 ± 10 | 22.05 | 9.7 ± 10.6 |
| 750(2000) | 740.0 ± 11.3 | 1494.5 ± 17.7 | 26.37 | 13.3 ± 16.9 |
| 750(2500) | 675.0 ± 12.5 | 2255.0 ± 15.6 | 17.45 | 9.9 ± 0.1 |
| 1000(1500) | 914.5 ± 2.1 | 1298.0 ± 45.3 | 23.65 | 11.0 ± 3.5 |
| 1000(2000) | 864.5 ± 41.7 | 1498.7 ± 66.7 | 24.88 | 19.3 ± 8.1 |
| 1000(2500) | 870 ± 42.4 | 2290.5 ± 10.6 | 26.14 | 10.7 ± 9.3 |
| Elements | Atom % |
|---|---|
| C | 8.8 |
| O | 58.5 |
| P | 13.1 |
| Ca | 19.6 |
| Sample | Day 3 | Day 7 | Day 10 | |||
|---|---|---|---|---|---|---|
| Living | Dead | Living | Dead | Living | Dead | |
| 500(1500) | Cells/mm2 | |||||
| Outer Surface | 36 ± 33 | 21 ± 1 | 180 ± 33 | 16 ± 8 | 308 ± 69 | 26 ± 6 |
| Inner Surface | 35 ± 12 | 5 ± 4 | 121 ± 20 | 11 ± 8 | 164 ± 40 | 10 ± 4 |
| 750(1500) | ||||||
| Outer Surface | 32 ± 9 | 12 ± 4 | 197 ± 124 | 12 ± 8 | 262 ± 139 | 19 ± 8 |
| Inner Surface | 49 ± 17 | 3 ± 2 | 200 ± 84 | 10 ± 4 | 218 ± 99 | 52 ± 23 |
| 1000(1500) | ||||||
| Outer Surface | 27 ± 2 | 5 ± 5 | 225 ± 139 | 11 ± 9 | 265 ± 61 | 16 ± 11 |
| Inner Surface | 54 ± 11 | 2 ± 1 | 226 ± 141 | 40 ± 22 | 223 ± 44 | 40 ± 11 |
| 500(2000) | ||||||
| Outer Surface | 20 ± 4 | 2 ± 1 | 146 ± 121 | 26 ± 2 | 231 ± 153 | 18 ± 8 |
| Inner Surface | 56 ± 22 | 1 ± 1 | 134 ± 78 | 5 ± 1 | 151 ± 82 | 17 ± 4 |
| 750(2000) | ||||||
| Outer Surface | 71 ± 12 | 17 ± 3 | 388 ± 286 | 10 ± 4 | 441 ± 111 | 17 ± 11 |
| Inner Surface | 51 ± 28 | 1 ± 1 | 184 ± 60 | 3 ± 2 | 249 ± 140 | 12 ± 11 |
| 1000(2000) | ||||||
| Outer Surface | 63 ± 5 | 9 ± 3 | 352 ± 176 | 18 ± 12 | 479 ± 124 | 17 ± 11 |
| Inner Surface | 34 ± 10 | 1 ± 1 | 251 ± 45 | 7 ± 1 | 264 ± 83 | 6 ± 1 |
| 500(2500) | ||||||
| Outer Surface | 126 ± 59 | 10 ± 5 | 851 ± 364 | 8 ± 3 | 1861 ± 179 | 35 ± 14 |
| Inner Surface | 87 ± 40 | 1 ± 1 | 457 ± 121 | 4 ± 5 | 532 ± 142 | 10 ± 6 |
| 750(2500) | ||||||
| Outer Surface | 79 ± 51 | 5 ± 5 | 821 ± 115 | 9 ± 5 | 1803 ± 578 | 6 ± 6 |
| Inner Surface | 89 ± 19 | 2 ± 2 | 392 ± 96 | 2 ± 1 | 763 ± 372 | 5 ± 2 |
| 1000(2500) | ||||||
| Outer Surface | 105 ± 34 | 3 ± 3 | 911 ± 275 | 8 ± 3 | 1614 ± 341 | 12 ± 4 |
| Inner Surface | 176 ± 65 | 0 ± 0 | 331 ± 75 | 9 ± 8 | 471 ± 192 | 13 ± 13 |
Publisher’s Note: MDPI stays neutral with regard to jurisdictional claims in published maps and institutional affiliations. |
© 2021 by the authors. Licensee MDPI, Basel, Switzerland. This article is an open access article distributed under the terms and conditions of the Creative Commons Attribution (CC BY) license (https://creativecommons.org/licenses/by/4.0/).
Share and Cite
Seidenstuecker, M.; Schilling, P.; Ritschl, L.; Lange, S.; Schmal, H.; Bernstein, A.; Esslinger, S. Inverse 3D Printing with Variations of the Strand Width of the Resulting Scaffolds for Bone Replacement. Materials 2021, 14, 1964. https://doi.org/10.3390/ma14081964
Seidenstuecker M, Schilling P, Ritschl L, Lange S, Schmal H, Bernstein A, Esslinger S. Inverse 3D Printing with Variations of the Strand Width of the Resulting Scaffolds for Bone Replacement. Materials. 2021; 14(8):1964. https://doi.org/10.3390/ma14081964
Chicago/Turabian StyleSeidenstuecker, Michael, Pia Schilling, Lucas Ritschl, Svenja Lange, Hagen Schmal, Anke Bernstein, and Steffen Esslinger. 2021. "Inverse 3D Printing with Variations of the Strand Width of the Resulting Scaffolds for Bone Replacement" Materials 14, no. 8: 1964. https://doi.org/10.3390/ma14081964
APA StyleSeidenstuecker, M., Schilling, P., Ritschl, L., Lange, S., Schmal, H., Bernstein, A., & Esslinger, S. (2021). Inverse 3D Printing with Variations of the Strand Width of the Resulting Scaffolds for Bone Replacement. Materials, 14(8), 1964. https://doi.org/10.3390/ma14081964

