Adsorption of Pb(II) from Aqueous Solution by Mussel Shell-Based Adsorbent: Preparation, Characterization, and Adsorption Performance
Abstract
1. Introduction
2. Materials and Methods
2.1. Chemical Reagents
2.2. Preparation of Calcined Shell Powder
2.3. Characterization of the Calcined Shell Powder
2.4. Adsorption of Pb(II)
2.5. Desorption Studies
2.6. Standard Deviation Calculations
3. Results and Discussion
3.1. Characterization
3.1.1. FTIR Analysis
3.1.2. DSC Analysis
3.1.3. XRD Analysis
3.1.4. SEM Analysis
3.1.5. XPS Analysis
3.1.6. BET Analysis
3.2. Adsorption Testing
3.2.1. pH
3.2.2. Adsorbent Dosage
3.2.3. Comparison of the Adsorption Performance before and after Calcination
3.2.4. Adsorbent Action Time and Kinetics
3.2.5. Temperature and Thermodynamics
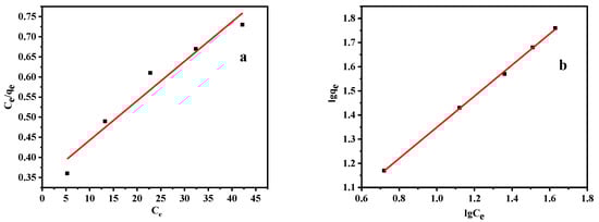
3.2.6. Initial Pb(II) Concentration and Isothermal Models
3.2.7. Desorption Studies
3.2.8. Comparison with Other Adsorbents
4. Conclusions
Author Contributions
Funding
Conflicts of Interest
References
- Nordey, T.; Ochieng, J.; Ernest, Z.; Mlowe, N.; Mosha, I.; Fernandes, P. Is vegetable cultivation under low tunnels a profitable alternative to pesticide use? The case of cabbage cultivation in northern Tanzania. Crop. Prot. 2020, 134, 105169. [Google Scholar] [CrossRef]
- Huang, L.; Wang, Q.; Zhou, Q.; Ma, L.; Wu, Y.; Liu, Q.; Wang, S.; Feng, Y. Cadmium uptake from soil and transport by leafy vegetables: A meta-analysis. Environ. Pollut. 2020, 264, 114677. [Google Scholar] [CrossRef]
- Kadirvelu, K.; Thamaraiselvi, K.; Namasivayam, C. Removal of heavy metals from industrial wastewaters by adsorption onto activated carbon prepared from an agricultural solid waste. Bioresour. Technol. 2001, 76, 63–65. [Google Scholar] [CrossRef]
- Durkee, J.; Bartrem, C.; Möller, G. Legacy lead arsenate soil contamination at childcare centers in the Yakima Valley, Central Washington, USA. Chemosphere 2017, 168, 1126–1135. [Google Scholar] [CrossRef]
- Cao, H.; Chen, J.; Zhang, J.; Zhang, H.; Qiao, L.; Men, Y. Heavy metals in rice and garden vegetables and their potential health risks to inhabitants in the vicinity of an industrial zone in Jiangsu, China. J. Environ. Sci. 2010, 22, 1792–1799. [Google Scholar] [CrossRef]
- Rathinam, K.; Jayaram, P.; Sankaran, M. Synthesis and characterization of magnetic chitin composite and its application towards the uptake of Pb(II) and Cd(II) ions from aqueous solution. Environ. Prog. Sustain. Energy 2019, 38, S288–S297. [Google Scholar] [CrossRef]
- Ling, L.-L.; Liu, W.-J.; Zhang, S.; Jiang, H. Magnesium oxide embedded nitrogen self-doped biochar composites: Fast and high-efficiency adsorption of heavy metals in an aqueous solution. Environ. Sci. Technol. 2017, 51, 10081–10089. [Google Scholar] [CrossRef]
- Wang, N.; Xu, X.; Li, H.; Zhai, J.; Yuan, L.; Zhang, K.; Yu, H. Preparation and application of a xanthate-modified thiourea chitosan sponge for the removal of PB(II) from aqueous solutions. Ind. Eng. Chem. Res. 2016, 55, 4960–4968. [Google Scholar] [CrossRef]
- Luo, J.; Sun, M.; Ritt, C.; Liu, X.; Pei, Y.; Crittenden, J.C.; Elimelech, M. Tuning Pb(II) adsorption from aqueous solutions on Ultrathin Iron Oxychloride (FeOCl) nanosheets. Environ. Sci. Technol. 2019, 53, 2075–2085. [Google Scholar] [CrossRef] [PubMed]
- Tudor, H.E.A.; Gryte, C.C.; Harris, C.C. Seashells: Detoxifying agents for metal-contaminated waters. Water, Air Soil Pollut. 2006, 173, 209–242. [Google Scholar] [CrossRef]
- Barros, M.C.; Bello, P.M.; Bao, M.; Torrado, J.J. From waste to commodity: Transforming shells into high purity calcium carbonate. J. Clean. Prod. 2009, 17, 400–407. [Google Scholar] [CrossRef]
- Mo, K.H.; Alengaram, U.J.; Jumaat, M.Z.; Lee, S.C.; Goh, W.I.; Yuen, C.W. Recycling of seashell waste in concrete: A review. Constr. Build. Mater. 2018, 162, 751–764. [Google Scholar] [CrossRef]
- Murphy, J.N.; Schneider, C.M.; Hawboldt, K.; Kerton, F.M. Hard to soft: Biogenic absorbent sponge-like material from waste mussel shells. Matter 2020, 3, 2029–2041. [Google Scholar] [CrossRef]
- Conde-Cid, M.; Fernández-Calviño, D.; Núñez-Delgado, A.; Fernández-Sanjurjo, M.; Arias-Estévez, M.; Álvarez-Rodríguez, E. Influence of mussel shell, oak ash and pine bark on the adsorption and desorption of sulfonamides in agricultural soils. J. Environ. Manag. 2020, 261, 110221. [Google Scholar] [CrossRef]
- Conde-Cid, M.; Ferreira-Coelho, G.; Arias-Estévez, M.; Álvarez-Esmorís, C.; Nóvoa-Muñoz, J.C.; Núñez-Delgado, A.; Fernández-Sanjurjo, M.J.; Álvarez-Rodríguez, E. Competitive adsorption/desorption of tetracycline, oxytetracycline and chlortetracycline on pine bark, oak ash and mussel shell. J. Environ. Manag. 2019, 250, 109509. [Google Scholar] [CrossRef]
- Peña-Rodríguez, S.; Fernández-Calviño, D.; Nóvoa-Muñoz, J.C.; Arias-Estévez, M.; Núñez-Delgado, A.; Fernández-Sanjurjo, M.J.; Álvarez-Rodríguez, E. Kinetics of Hg(II) adsorption and desorption in calcined mussel shells. J. Hazard. Mater. 2010, 180, 622–627. [Google Scholar] [CrossRef]
- Osorio-López, C.; Seco-Reigosa, N.; Garrido-Rodríguez, B.; Cutillas-Barreiro, L.; Arias-Estévez, M.; Fernández-Sanjurjo, M.J.; Álvarez-Rodríguez, E.; Núñez-Delgado, A. As(V) adsorption on forest and vineyard soils and pyritic material with or without mussel shell: Kinetics and fractionation. J. Taiwan Inst. Chem. Eng. 2014, 45, 1007–1014. [Google Scholar] [CrossRef]
- Abeynaike, A.; Wang, L.; Jones, M.I.; Patterson, D.A. Pyrolysed powdered mussel shells for eutrophication control: Effect of particle size and powder concentration on the mechanism and extent of phosphate removal. Asia-Pac. J. Chem. Eng. 2011, 6, 231–243. [Google Scholar] [CrossRef]
- Li, H.Y.; Zhang, H.Y.; Pan, L.; Chen, T.; Xia, M.S. Preparation of bio-filler from mussel shell by means of mechanochemistry and its surface properties. J. Func. Mater. 2012, 43, 1519–1523. [Google Scholar]
- DiLoreto, Z.; Weber, P.; Weisener, C. Solid phase characterization and metal deportment in a mussel shell bioreactor for the treatment of AMD, Stockton Coal Mine, New Zealand. Appl. Geochem. 2016, 67, 133–143. [Google Scholar] [CrossRef]
- Wang, N.; Jin, R.-N.; Omer, A.; Ouyang, X.-K. Adsorption of Pb(II) from fish sauce using carboxylated cellulose nanocrystal: Isotherm, kinetics, and thermodynamic studies. Int. J. Biol. Macromol. 2017, 102, 232–240. [Google Scholar] [CrossRef]
- Seco-Reigosa, N.; Cutillas-Barreiro, L.; Nóvoa-Muñoz, J.C.; Arias-Estévez, M.; Álvarez-Rodríguez, E.; Fernández-Sanjurjo, M.J.; Núñez-Delgado, A. Adsorption, desorption and fractionation of As(V) on untreated and mussel shell-treated granitic material. Solid Earth 2015, 6, 337–346. [Google Scholar] [CrossRef]
- Hossain, A.; Bhattacharyya, S.R.; Aditya, G. Biosorption of cadmium by waste shell dust of fresh water mussel mamellidens marginalis: Implications for metal bioremediation. ACS Sustain. Chem. Eng. 2014, 3, 1–8. [Google Scholar] [CrossRef]
- Singh, M.; Kumar, S.V.; Waghmare, S.A.; Sabale, P. Aragonite–vaterite–calcite: Polymorphs of CaCO3 in 7th century CE lime plasters of Alampur group of temples, India. Constr. Build. Mater. 2016, 112, 386–397. [Google Scholar] [CrossRef]
- Martínez-García, C.; González-Fonteboa, B.; Carro-López, D.; Pérez-Ordóñez, J.L. Mussel shells: A canning industry by-product converted into a bio-based insulation material. J. Clean. Prod. 2020, 269, 122343. [Google Scholar] [CrossRef]
- Krutof, A.; Bamdad, H.; Hawboldt, K.; MacQuarrie, S. Co-pyrolysis of softwood with waste mussel shells: Biochar analysis. Fuel 2020, 282, 118792. [Google Scholar] [CrossRef]
- El Haddad, M.; Regti, A.; Slimani, R.; Lazar, S. Assessment of the biosorption kinetic and thermodynamic for the removal of safranin dye from aqueous solutions using calcined mussel shells. J. Ind. Eng. Chem. 2014, 20, 717–724. [Google Scholar] [CrossRef]
- Irfan Suprajaa, P.; Praveen, R.; Reddy, B. Microwave-assisted one-step synthesis of nanohydroxyapetite from fish bones and mussel shells. Mater. Lett. 2021, 282, 128685. [Google Scholar] [CrossRef]
- Addadi, L.; Joester, D.; Nudelman, F.; Weiner, S. Mollusk shell formation: A source of new concepts for understanding biomineralization processes. Chem. Eur. J. 2006, 12, 980–987. [Google Scholar] [CrossRef]
- Basu, A.; Behera, S.S.; Dash, S.; Banerjee, S.; Sarkar, S.; Mohanty, C.K.; Dhal, N.K.; Parhi, P.K.; Tripathy, S.K. A study on removal of Cr(III) from aqueous solution using biomass of Cymbopogon flexuosus immobilized in sodium alginate beads and its use as hydrogenation catalyst. J. Taiwan Inst. Chem. Eng. 2019, 102, 118–132. [Google Scholar] [CrossRef]
- Tekin, K. Hydrothermal conversion of russian olive seeds into crude bio-oil using a CaO catalyst derived from waste mussel shells. Energy Fuels 2015, 29, 4382–4392. [Google Scholar] [CrossRef]
- Gopi, S.; Subramanian, V.; Palanisamy, K. Aragonite–calcite–vaterite: A temperature influenced sequential polymorphic transformation of CaCO3 in the presence of DTPA. Mater. Res. Bull. 2013, 48, 1906–1912. [Google Scholar] [CrossRef]
- Papadopoulos, P.; Rowell, D.L. The reactions of cadmium with calcium carbonate surfaces. J. Soil Sci. 2010, 39, 23–36. [Google Scholar] [CrossRef]
- Ok, Y.S.; Lim, J.E.; Moon, D.H. Geochemistry MJE and health stabilization of Pb and Cd contaminated soils and soil quality improvements using waste oyster shells. Environ. Geochem. Health 2011, 33, 83–91. [Google Scholar] [CrossRef] [PubMed]
- Al-Ghouti, M.A.; Da’ana, D.A. Guidelines for the use and interpretation of adsorption isotherm models: A review. J. Hazard. Mater. 2020, 393, 122383. [Google Scholar] [CrossRef] [PubMed]
- Baraka, A.; Hatem, H.; Mamdouh, I.; Zaki, A. Alkaline treatment of seashells and its use for the removal of Cu(II) from aqueous solution. Desalination Water Treat. 2010, 16, 74–82. [Google Scholar] [CrossRef]
- Seco-Reigosa, N.; Peña-Rodríguez, S.; Nóvoa-Muñoz, J.C.; Arias-Estévez, M.; Fernández-Sanjurjo, M.J.; Álvarez-Rodríguez, E.; Núñez-Delgado, A. Arsenic, chromium and mercury removal using mussel shell ash or a sludge/ashes waste mixture. Environ. Sci. Pollut. Res. 2012, 20, 2670–2678. [Google Scholar] [CrossRef] [PubMed]
- Vimonses, V.; Lei, S.; Jin, B.; Chow, C.W.; Saint, C. Kinetic study and equilibrium isotherm analysis of Congo Red adsorption by clay materials. Chem. Eng. J. 2009, 148, 354–364. [Google Scholar] [CrossRef]
- Lin, J.; Wang, L. Comparison between linear and non-linear forms of pseudo-first-order and pseudo-second-order adsorption kinetic models for the removal of methylene blue by activated carbon. Front. Environ. Sci. Eng. 2009, 3, 320–324. [Google Scholar] [CrossRef]
- Deng, L.; Shi, Z.; Luo, L.; Chen, S.-y.; Yang, L.-f.; Yang, X.-z.; Liu, L.-s. Adsorption of hexavalent chromium onto kaolin clay based adsorbent. J. Cent. South Univ. 2014, 21, 3918–3926. [Google Scholar] [CrossRef]
- OuYang, X.k.; Jin, R.N.; Yang, L.P.; Wen, Z.S.; Yang, L.-Y.; Wang, Y.G.; Wang, C.Y. Partially hydrolyzed bamboo (Phyllostachys heterocycla) as a porous bioadsorbent for the removal of Pb(II) from aqueous mixtures. J. Agric. Food Chem. 2014, 62, 6007–6015. [Google Scholar] [CrossRef]
- Du, Y.; Lian, F.; Zhu, L. Biosorption of divalent Pb, Cd and Zn on aragonite and calcite mollusk shells. Environ. Pollut. 2011, 159, 1763–1768. [Google Scholar] [CrossRef]
- Suteu, D.; Bilba, D.; Aflori, M.; Doroftei, F.; Lisa, G.; Badeanu, M.; Malutan, T. The seashell wastes as biosorbent for reactive dye removal from textile effluents. Clean 2011, 40, 198–205. [Google Scholar] [CrossRef]
- Khan, M.R.; Rahman, M.M.; Mozumder, M.S.I.; Uddin, M.J.; Islam, M.A. Adsorption behavior of reactive dye from aqueous phase on activated Carbon. Polish J. Chem. 2009, 83, 1365–1378. [Google Scholar]
- Liu, C.; Jin, R.-N.; Ouyang, X.-K.; Wang, Y.-G. Adsorption behavior of carboxylated cellulose nanocrystal—polyethyleneimine composite for removal of Cr(VI) ions. Appl. Surf. Sci. 2017, 408, 77–87. [Google Scholar] [CrossRef]
- Wang, N.; Ouyang, X.-K.; Yang, L.-Y.; Omer, A.M. Fabrication of a magnetic cellulose nanocrystal/Metal–organic framework composite for removal of pb(II) From water. ACS Sustain. Chem. Eng. 2017, 5, 10447–10458. [Google Scholar] [CrossRef]
- Papadimitriou, C.; Krey, G.; Stamatis, N.; Kallianiotis, A. The use of waste mussel shells for the adsorption of dyes and heavy metals. J. Chem. Technol. Biotechnol. 2017, 92, 1943–1947. [Google Scholar] [CrossRef]
- Peña-Rodríguez, S.; Bermúdez-Couso, A.; Nóvoa-Muñoz, J.C.; Arias-Estévez, M.; Fernández-Sanjurjo, M.J.; Álvarez-Rodríguez, E.; Núñez-Delgado, A. Mercury removal using ground and calcined mussel shell. J. Environ. Sci. 2013, 25, 2476–2486. [Google Scholar] [CrossRef]
- Kwon, H.-B.; Lee, C.-W.; Jun, B.-S.; Yun, J.-D.; Weon, S.-Y.; Koopman, B. Recycling waste oyster shells for eutrophication control. Resour. Conserv. Recycl. 2004, 41, 75–82. [Google Scholar] [CrossRef]
- Huang, G.; Wang, D.; Ma, S.; Chen, J.; Jiang, L.; Wang, P. A new, low-cost adsorbent: Preparation, characterization, and adsorption behavior of Pb(II) and Cu(II). J. Colloid Interface Sci. 2015, 445, 294–302. [Google Scholar] [CrossRef]
- Iconaru, S.L.; Motelica-Heino, M.; Guegan, R.; Beuran, M.; Costescu, A.; Predoi, D. Adsorption of Pb (II) Ions onto hydroxyapatite nanopowders in aqueous solutions. Materials 2018, 11, 2204. [Google Scholar] [CrossRef] [PubMed]
- Bartczak, P.; Klapiszewski, Ł.; Wysokowski, M.; Majchrzak, I.; Czernicka, W.; Piasecki, A.; Ehrlich, H.; Jesionowski, T. Treatment of model solutions and wastewater containing selected hazardous metal ions using a chitin/lignin hybrid material as an effective sorbent. J. Environ. Manag. 2017, 204, 300–310. [Google Scholar] [CrossRef] [PubMed]
- Dong, Y.; Lin, H. Competitive adsorption of Pb(II) and Zn(II) from aqueous solution by modified beer lees in a fixed bed column. PSEP 2017, 111, 263–269. [Google Scholar] [CrossRef]
- Chwastowski, J.; Bradło, D.; Żukowski, W. Adsorption of cadmium, manganese and lead ions from aqueous solutions using spent coffee grounds and biochar produced by its pyrolysis in the fluidized bed reactor. Materials 2020, 13, 2782. [Google Scholar] [CrossRef]
- Faisal, A.A.; Al-Wakel, S.F.; Assi, H.A.; Naji, L.A.; Naushad, M. Waterworks sludge-filter sand permeable reactive barrier for removal of toxic lead ions from contaminated groundwater. J. Water Process. Eng. 2020, 33, 101112. [Google Scholar] [CrossRef]
- Amro, A.N.; Abhary, M.K.; Shaikh, M.M.; Ali, S. Removal of lead and cadmium ions from aqueous solution by adsorption on a low-cost phragmites biomass. Processes 2019, 7, 406. [Google Scholar] [CrossRef]















| qe,exp | Pseudo First-Order (PFO) | Pseudo Second-Order (PSO) | ||||
|---|---|---|---|---|---|---|
| qe,cal | k1 | R2 | qe,cal | k2 | R2 | |
| 62.48 | 48.51 | 0.0054 | 0.9780 | 59.52 | 0.0168 | 0.9895 |
| Concentration (mg/L) | ΔG (kJ/mol) | ΔH (kJ/mol) | ΔS (J/mol) | |||
|---|---|---|---|---|---|---|
| T (K) | ||||||
| 293.2 | 298.2 | 303.2 | 308.2 | |||
| 100 | −0.36 | −0.81 | −1.26 | −1.70 | 25.73 | 89.06 |
| T (K) | Langmuir | Freundlich | ||||
|---|---|---|---|---|---|---|
| qmaxa | B | R2 | KF | N | R2 | |
| 298.2 | 102.04 | 0.028 | 0.9519 | 5.07 | 1.55 | 0.9992 |
| C0 | RL |
|---|---|
| 20 | 0.64 |
| 40 | 0.47 |
| 60 | 0.37 |
| 80 | 0.31 |
| 100 | 0.26 |
| Adsorbent | qm (mg g−1) | Reference |
|---|---|---|
| Sulfonated lignin | 123 | [50] |
| Hydroxyapatite nanopowders | 99.30 | [51] |
| Chitin/lignin hybrid material | 91.74 | [52] |
| Calcined mussel shells | 57.79 | This work |
| Modified beer lees | 29.6 | [53] |
| Biochar | 22.3 | [54] |
| Spent coffee grounds | 13.6 | |
| Sludge-filter sand | 20.41 | [55] |
| Phragmites biomass | 5.46 | [56] |
Publisher’s Note: MDPI stays neutral with regard to jurisdictional claims in published maps and institutional affiliations. |
© 2021 by the authors. Licensee MDPI, Basel, Switzerland. This article is an open access article distributed under the terms and conditions of the Creative Commons Attribution (CC BY) license (http://creativecommons.org/licenses/by/4.0/).
Share and Cite
Wang, Q.; Jiang, F.; Ouyang, X.-K.; Yang, L.-Y.; Wang, Y. Adsorption of Pb(II) from Aqueous Solution by Mussel Shell-Based Adsorbent: Preparation, Characterization, and Adsorption Performance. Materials 2021, 14, 741. https://doi.org/10.3390/ma14040741
Wang Q, Jiang F, Ouyang X-K, Yang L-Y, Wang Y. Adsorption of Pb(II) from Aqueous Solution by Mussel Shell-Based Adsorbent: Preparation, Characterization, and Adsorption Performance. Materials. 2021; 14(4):741. https://doi.org/10.3390/ma14040741
Chicago/Turabian StyleWang, Quan, Fangyuan Jiang, Xiao-Kun Ouyang, Li-Ye Yang, and Yangguang Wang. 2021. "Adsorption of Pb(II) from Aqueous Solution by Mussel Shell-Based Adsorbent: Preparation, Characterization, and Adsorption Performance" Materials 14, no. 4: 741. https://doi.org/10.3390/ma14040741
APA StyleWang, Q., Jiang, F., Ouyang, X.-K., Yang, L.-Y., & Wang, Y. (2021). Adsorption of Pb(II) from Aqueous Solution by Mussel Shell-Based Adsorbent: Preparation, Characterization, and Adsorption Performance. Materials, 14(4), 741. https://doi.org/10.3390/ma14040741

