Effect of Inhomogeneous Broadening in Ultraviolet III-Nitride Light-Emitting Diodes
Abstract
:1. Introduction
2. Results
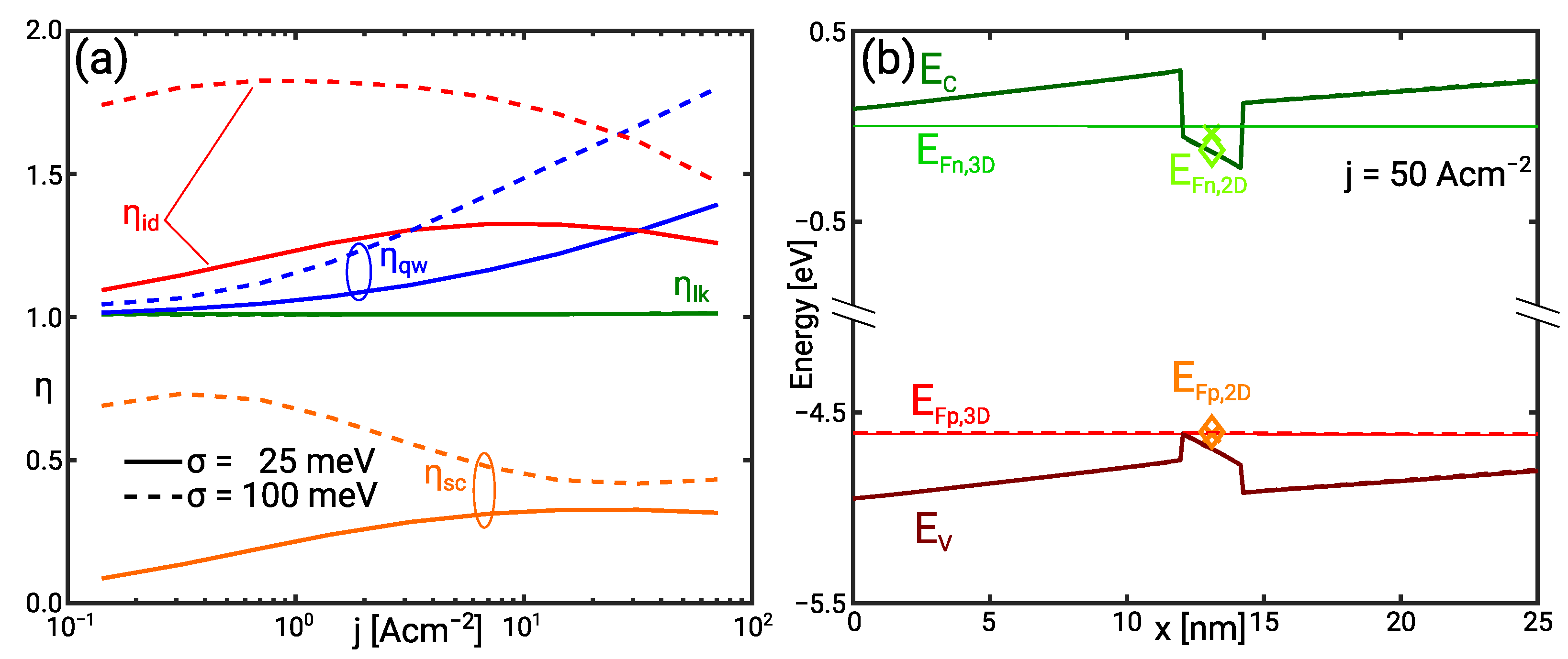
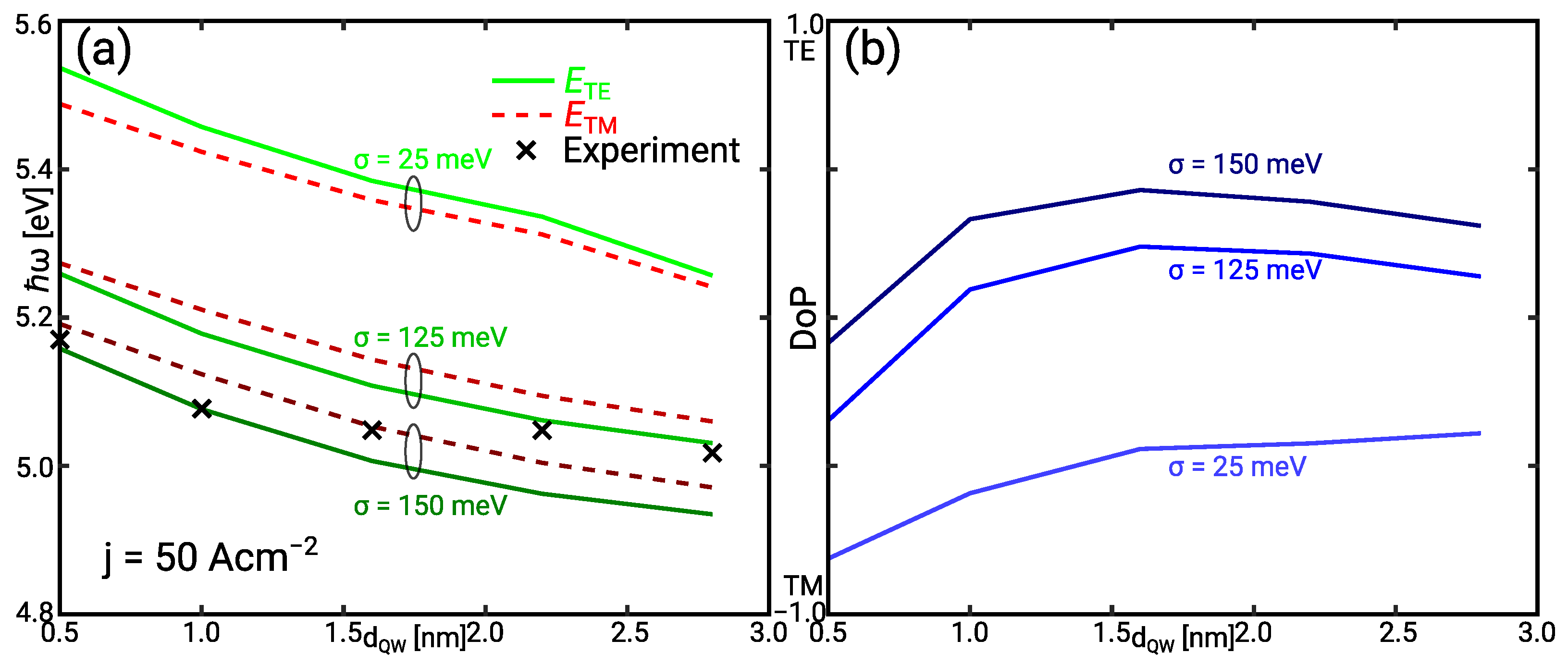
2.1. Single Quantum Well
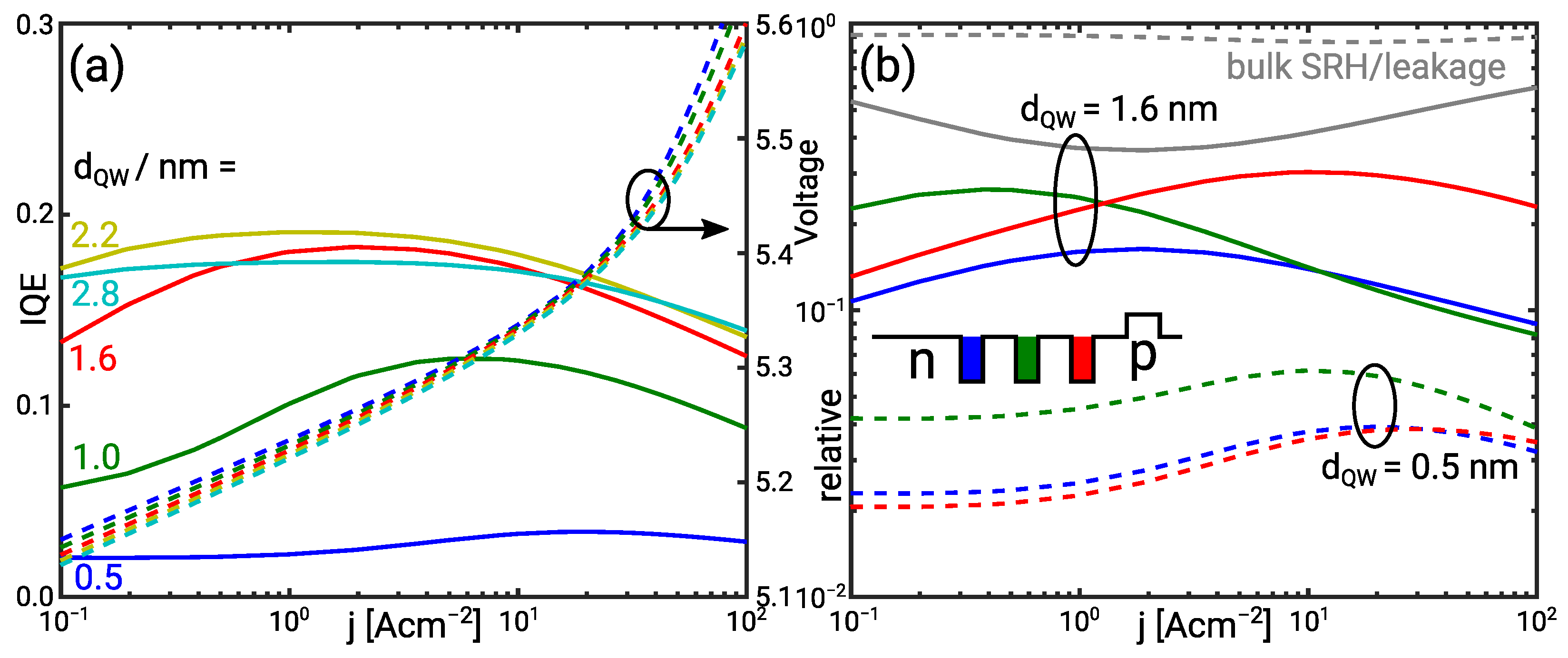
2.2. Multi-Quantum Well
3. Discussion
4. Materials and Methods
4.1. Carrier Transport Model
4.2. Inhomogeneous Broadening Model
4.3. Equivalent Circuit
5. Conclusions
Author Contributions
Funding
Institutional Review Board Statement
Informed Consent Statement
Data Availability Statement
Conflicts of Interest
References
- Nakamura, S. Current status of GaN-based solid-state lighting. MRS Bull. 2009, 34, 101–107. [Google Scholar] [CrossRef]
- Hurni, C.A.; David, A.; Cich, M.J.; Aldaz, R.I.; Ellis, B.; Huang, K.; Tyagi, A.; Delille, R.A.; Craven, M.D.; Steranka, F.M.; et al. Bulk GaN flip-chip violet light-emitting diodes with optimized efficiency for high-power operation. Appl. Phys. Lett. 2015, 106, 031101. [Google Scholar] [CrossRef]
- Lee, H.E.; Choi, J.; Lee, S.H.; Jeong, M.; Shin, J.H.; Joe, D.J.; Kim, D.; Kim, C.W.; Park, J.H.; Lee, J.H.; et al. Monolithic Flexible Vertical GaN Light-Emitting Diodes for a Transparent Wireless Brain Optical Stimulator. Adv. Mater. 2018, 30, 1800649. [Google Scholar] [CrossRef] [PubMed]
- Huang, J.; Hu, Z.; Gao, X.; Xu, Y.; Wang, L. Unidirectional-emitting GaN-based micro-LED for 3D display. Opt. Lett. 2021, 46, 3476. [Google Scholar] [CrossRef]
- Kneissl, M.; Seong, T.Y.; Han, J.; Amano, H. The emergence and prospects of deep-ultraviolet light-emitting diode technologies. Nat. Photonics 2019, 13, 233–244. [Google Scholar] [CrossRef]
- Amano, H.; Collazo, R.; De Santi, C.; Einfeldt, S.; Funato, M.; Glaab, J.; Hagedorn, S.; Hirano, A.; Hirayama, H.; Ishii, R.; et al. The 2020 UV emitter roadmap. J. Phys. D Appl. Phys. 2020, 53, 503001. [Google Scholar] [CrossRef]
- Piprek, J. Efficiency droop in nitride-based light-emitting diodes. Phys. Status Solidi 2010, 207, 2217–2225. [Google Scholar] [CrossRef]
- Kioupakis, E.; Rinke, P.; Delaney, K.T.; Van de Walle, C.G. Indirect Auger recombination as a cause of efficiency droop in nitride light-emitting diodes. Appl. Phys. Lett. 2011, 98, 161107. [Google Scholar] [CrossRef] [Green Version]
- Kioupakis, E.; Yan, Q.; Van de Walle, C.G. Interplay of polarization fields and Auger recombination in the efficiency droop of nitride light-emitting diodes. Appl. Phys. Lett. 2012, 101, 231107. [Google Scholar] [CrossRef] [Green Version]
- Römer, F.; Witzigmann, B. Effect of Auger recombination and leakage on the droop in InGaN/GaN quantum well LEDs. Opt. Express 2014, 22, A1440. [Google Scholar] [CrossRef] [Green Version]
- Witzigmann, B.; Römer, F.; Martens, M.; Kuhn, C.; Wernicke, T.; Kneissl, M. Calculation of optical gain in AlGaN quantum wells for ultraviolet emission. AIP Adv. 2020, 10, 095307. [Google Scholar] [CrossRef]
- Ambacher, O.; Majewski, J.; Miskys, C.; Link, A.; Hermann, M.; Eickhoff, M.; Stutzmann, M.; Bernardini, F.; Fiorentini, V.; Tilak, V.; et al. Pyroelectric properties of Al(In)GaN/GaN hetero- and quantum well structures. J. Phys. Condens. Matter 2002, 14, 3399–3434. [Google Scholar] [CrossRef]
- Nam, K.B.; Nakarmi, M.L.; Li, J.; Lin, J.Y.; Jiang, H.X. Mg acceptor level in AlN probed by deep ultraviolet photoluminescence. Appl. Phys. Lett. 2003, 83, 878. [Google Scholar] [CrossRef]
- Rigutti, L.; Mancini, L.; Lefebvre, W.; Houard, J.; Hernàndez-Maldonado, D.; Di Russo, E.; Giraud, E.; Butté, R.; Carlin, J.F.; Grandjean, N.; et al. Statistical nanoscale study of localised radiative transitions in GaN/AlGaN quantum wells and AlGaN epitaxial layers. Semicond. Sci. Technol. 2016, 31, 095009. [Google Scholar] [CrossRef]
- Roble, A.A.; Patra, S.K.; Massabuau, F.; Frentrup, M.; Leontiadou, M.A.; Dawson, P.; Kappers, M.J.; Oliver, R.A.; Graham, D.M.; Schulz, S. Impact of alloy fluctuations and Coulomb effects on the electronic and optical properties of c-plane GaN/AlGaN quantum wells. Sci. Rep. 2019, 9, 18862. [Google Scholar] [CrossRef]
- Schulz, S.; Caro, M.A.; Coughlan, C.; O’Reilly, E.P. Atomistic analysis of the impact of alloy and well-width fluctuations on the electronic and optical properties of InGaN/GaN quantum wells. Phys. Rev. B 2015, 91, 035439. [Google Scholar] [CrossRef] [Green Version]
- López, M.; Pecchia, A.; Auf der Maur, M.; Sacconi, F.; Penazzi, G.; Di Carlo, A. Atomistic simulations of InGaN/GaN random alloy quantum well LEDs. Phys. Status Solidi C 2014, 11, 632–634. [Google Scholar] [CrossRef]
- Auf Der Maur, M.; Pecchia, A.; Penazzi, G.; Rodrigues, W.; Di Carlo, A. Efficiency Drop in Green InGaN/GaN Light Emitting Diodes: The Role of Random Alloy Fluctuations. Phys. Rev. Lett. 2016, 116, 1–5. [Google Scholar] [CrossRef] [Green Version]
- O’Donovan, M.; Luisier, M.; O’Reilly, E.P.; Schulz, S. Impact of random alloy fluctuations on inter-well transport in InGaN/GaN multi-quantum well systems: An atomistic non-equilibrium Green’s function study. J. Phys. Condens. Matter 2021, 33, 045302. [Google Scholar] [CrossRef]
- Filoche, M.; Piccardo, M.; Wu, Y.R.; Li, C.K.; Weisbuch, C.; Mayboroda, S. Localization landscape theory of disorder in semiconductors. I. Theory and modeling. Phys. Rev. B 2017, 95, 144204. [Google Scholar] [CrossRef] [Green Version]
- Piccardo, M.; Li, C.K.; Wu, Y.R.; Speck, J.S.; Bonef, B.; Farrell, R.M.; Filoche, M.; Martinelli, L.; Peretti, J.; Weisbuch, C. Localization landscape theory of disorder in semiconductors. II. Urbach tails of disordered quantum well layers. Phys. Rev. B 2017, 95, 144205. [Google Scholar] [CrossRef] [Green Version]
- Li, C.K.; Piccardo, M.; Lu, L.S.; Mayboroda, S.; Martinelli, L.; Peretti, J.; Speck, J.S.; Weisbuch, C.; Filoche, M.; Wu, Y.R. Localization landscape theory of disorder in semiconductors. III. Application to carrier transport and recombination in light emitting diodes. Phys. Rev. B 2017, 95, 144206. [Google Scholar] [CrossRef] [Green Version]
- Mounir, C.; Schwarz, U.T.; Koslow, I.L.; Kneissl, M.; Wernicke, T.; Schimpke, T.; Strassburg, M. Impact of inhomogeneous broadening on optical polarization of high-inclination semipolar and nonpolar InxGa1-x N/GaN quantum wells. Phys. Rev. B 2016, 93, 235314. [Google Scholar] [CrossRef]
- Römer, F.; Witzigmann, B. Signature of the ideality factor in III-nitride multi quantum well light emitting diodes. Opt. Quantum Electron. 2018, 50, 425. [Google Scholar] [CrossRef]
- Reich, C.; Guttmann, M.; Feneberg, M.; Wernicke, T.; Mehnke, F.; Kuhn, C.; Rass, J.; Lapeyrade, M.; Einfeldt, S.; Knauer, A.; et al. Strongly transverse-electric-polarized emission from deep ultraviolet AlGaN quantum well light emitting diodes. Appl. Phys. Lett. 2015, 107, 142101. [Google Scholar] [CrossRef]
- Zhang, J.; Zhao, H.; Tansu, N. Effect of crystal-field split-off hole and heavy-hole bands crossover on gain characteristics of high Al-content AlGaN quantum well lasers. Appl. Phys. Lett. 2010, 97, 111105. [Google Scholar] [CrossRef] [Green Version]
- Witzigmann, B.; Römer, F.; Wernicke, T.; Guttmann, M.; Kneissl, M.; Susilo, N. Inhomogeneous spectral broadening in deep ultraviolet light emitting diodes. In Physics and Simulation of Optoelectronic Devices XXVII; Osiński, M., Arakawa, Y., Witzigmann, B., Eds.; SPIE: San Francisco, CA, USA, 2019; Volume 10912, p. 12. [Google Scholar] [CrossRef]
- Römer, F.; Witzigmann, B. Luminescence distribution in the multi-quantum well region of III-nitride light emitting diodes. Proc. SPIE 2017, 10124, 101240Y. [Google Scholar] [CrossRef]
- Scheibenzuber, W.; Schwarz, U.; Veprek, R.; Witzigmann, B.; Hangleiter, A. Calculation of optical eigenmodes and gain in semipolar and nonpolar InGaN/GaN laser diodes. Phys. Rev. B 2009, 80, 115320. [Google Scholar] [CrossRef]
- Jmerik, V.N.; Shubina, T.V.; Mizerov, A.M.; Belyaev, K.G.; Sakharov, A.V.; Zamoryanskaya, M.V.; Sitnikova, A.A.; Davydov, V.Y.; Kop’ev, P.S.; Lutsenko, E.V.; et al. AlGaN quantum well structures for deep-UV LEDs grown by plasma-assisted MBE using sub-monolayer digital-alloying technique. J. Cryst. Growth 2009, 311, 2080–2083. [Google Scholar] [CrossRef]
- Brochen, S.; Brault, J.; Chenot, S.; Dussaigne, A.; Leroux, M.; Damilano, B. Dependence of the Mg-related acceptor ionization energy with the acceptor concentration in p-type GaN layers grown by molecular beam epitaxy. Appl. Phys. Lett. 2013, 103, 032102. [Google Scholar] [CrossRef]
- Muhin, A.; Guttmann, M.; Kuhn, C.; Mickein, E.; Aparici, J.R.; Ziffer, E.; Susilo, N.; Sulmoni, L.; Wernicke, T.; Kneissl, M. Vertical conductivity and Poole–Frenkel-ionization of Mg acceptors in AlGaN short-period superlattices with high Al mole fraction. Appl. Phys. Lett. 2020, 117, 252101. [Google Scholar] [CrossRef]
- Zakheim, D.A.; Pavluchenko, A.S.; Bauman, D.A.; Bulashevich, K.A.; Khokhlev, O.V.; Karpov, S.Y. Efficiency droop suppression in InGaN-based blue LEDs: Experiment and numerical modelling. Phys. Status Solidi Appl. Mater. Sci. 2012, 209, 456–460. [Google Scholar] [CrossRef]
- Guttmann, M.; Mehnke, F.; Belde, B.; Wolf, F.; Reich, C.; Sulmoni, L.; Wernicke, T.; Kneissl, M. Optical light polarization and light extraction efficiency of AlGaN-based LEDs emitting between 264 and 220 nm. Jpn. J. Appl. Phys. 2019, 58, SCCB20. [Google Scholar] [CrossRef]
- Kuokstis, E.; Sun, W.H.; Shatalov, M.; Yang, J.W.; Khan, M.A. Role of alloy fluctuations in photoluminescence dynamics of AlGaN epilayers. Appl. Phys. Lett. 2006, 88, 2004–2007. [Google Scholar] [CrossRef]
- Wu, C.K.; Li, C.K.; Wu, Y.R. Percolation transport study in nitride based LED by considering the random alloy fluctuation. J. Comput. Electron. 2015, 14, 416–424. [Google Scholar] [CrossRef]
- Auf der Maur, M.; Galler, B.; Pietzonka, I.; Strassburg, M.; Lugauer, H.; Di Carlo, A. Trap-assisted tunneling in InGaN/GaN single-quantum-well light-emitting diodes. Appl. Phys. Lett. 2014, 105, 133504. [Google Scholar] [CrossRef]
- Karpov, S.Y.; Makarov, Y.N. Dislocation effect on light emission efficiency in gallium nitride. Appl. Phys. Lett. 2003, 81, 4721–4723. [Google Scholar] [CrossRef]
- Browne, D.A.; Fireman, M.N.; Mazumder, B.; Kuritzky, L.Y.; Wu, Y.R.; Speck, J.S. Vertical transport through AlGaN barriers in heterostructures grown by ammonia molecular beam epitaxy and metalorganic chemical vapor deposition. Semicond. Sci. Technol. 2017, 32, 025010. [Google Scholar] [CrossRef]
- Piprek, J.; Li, S. Electron leakage effects on GaN-based light-emitting diodes. Opt. Quantum Electron. 2010, 42, 89–95. [Google Scholar] [CrossRef]
- Kivisaari, P.; Oksanen, J.; Tulkki, J. Polarization doping and the efficiency of III-nitride optoelectronic devices. Appl. Phys. Lett. 2013, 103, 211118. [Google Scholar] [CrossRef]
- Kantner, M.; Mittnenzweig, M.; Koprucki, T. Hybrid quantum-classical modeling of quantum dot devices. Phys. Rev. B 2017, 96, 205301. [Google Scholar] [CrossRef] [Green Version]
- Baraff, G. Semiclassical description of electron transport in semiconductor quantum-well devices. Phys. Rev. B 1997, 55, 10745. [Google Scholar] [CrossRef]
- Shedbalkar, A.; Andreev, Z.; Witzigmann, B. Simulation of an indium gallium nitride quantum well light-emitting diode with the non-equilibrium Green’s function method. Phys. Status Solidi 2016, 253, 158–163. [Google Scholar] [CrossRef]
- Shedbalkar, A.; Witzigmann, B. Non equilibrium Green’s function quantum transport for green multi-quantum well nitride light emitting diodes. Opt. Quantum Electron. 2018, 50, 1–10. [Google Scholar] [CrossRef]
- Park, S.H.; Chuang, S.L. Crystal-orientation effects on the piezoelectric field and electronic properties of strained wurtzite semiconductors. Phys. Rev. B 1999, 59, 4725–4737. [Google Scholar] [CrossRef]
- Sabathil, M.; Laubsch, A.; Linder, N. Self-consistent modeling of resonant PL in InGaN SQW LED-structure. In Light-Emitting Diodes: Research, Manufacturing, and Applications XI; Streubel, K.P., Jeon, H., Eds.; SPIE: San Jose, CA, USA, 2007; Volume 6486, p. 64860V. [Google Scholar] [CrossRef]
- Ferry, D.; Ramey, S.; Shifren, L.; Akis, R. The Effective Potential in Device Modeling: The Good, the Bad and the Ugly. J. Comput. Electron. 2002, 1, 59–65. [Google Scholar] [CrossRef]











Publisher’s Note: MDPI stays neutral with regard to jurisdictional claims in published maps and institutional affiliations. |
© 2021 by the authors. Licensee MDPI, Basel, Switzerland. This article is an open access article distributed under the terms and conditions of the Creative Commons Attribution (CC BY) license (https://creativecommons.org/licenses/by/4.0/).
Share and Cite
Römer, F.; Guttmann, M.; Wernicke, T.; Kneissl, M.; Witzigmann, B. Effect of Inhomogeneous Broadening in Ultraviolet III-Nitride Light-Emitting Diodes. Materials 2021, 14, 7890. https://doi.org/10.3390/ma14247890
Römer F, Guttmann M, Wernicke T, Kneissl M, Witzigmann B. Effect of Inhomogeneous Broadening in Ultraviolet III-Nitride Light-Emitting Diodes. Materials. 2021; 14(24):7890. https://doi.org/10.3390/ma14247890
Chicago/Turabian StyleRömer, Friedhard, Martin Guttmann, Tim Wernicke, Michael Kneissl, and Bernd Witzigmann. 2021. "Effect of Inhomogeneous Broadening in Ultraviolet III-Nitride Light-Emitting Diodes" Materials 14, no. 24: 7890. https://doi.org/10.3390/ma14247890
APA StyleRömer, F., Guttmann, M., Wernicke, T., Kneissl, M., & Witzigmann, B. (2021). Effect of Inhomogeneous Broadening in Ultraviolet III-Nitride Light-Emitting Diodes. Materials, 14(24), 7890. https://doi.org/10.3390/ma14247890

