Correction: Lange et al. Performance of a Piezoelectric Energy Harvesting System for an Energy-Autonomous Instrumented Total Hip Replacement: Experimental and Numerical Evaluation. Materials 2021, 14, 5151
Error in Figure
Text Correction
Appendix A
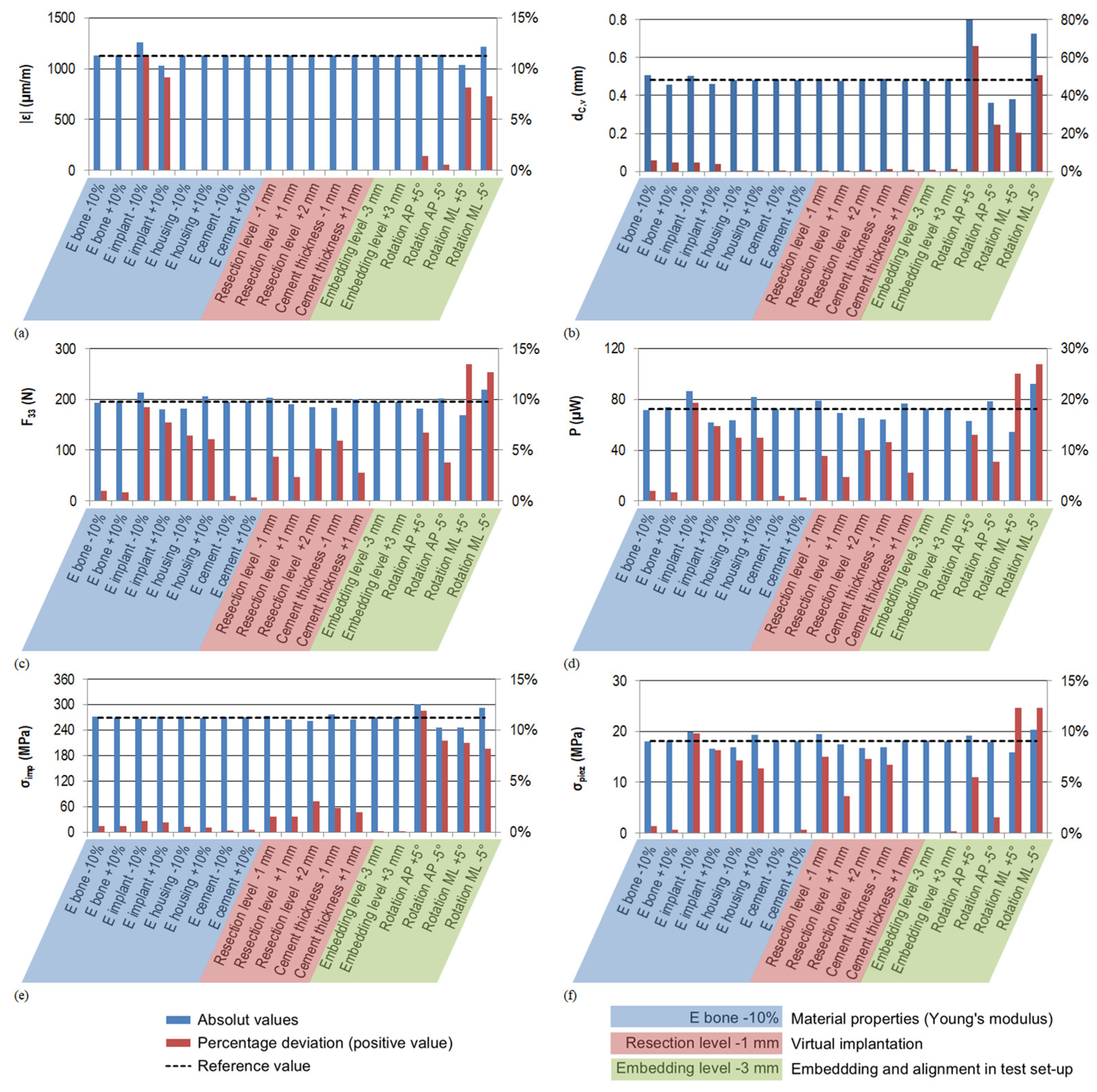
Appendix A.1. Sensitvity Analysis

Appendix A.2. Model Calibration


Reference
- Lange, H.-E.; Arbeiter, N.; Bader, R.; Kluess, D. Performance of a Piezoelectric Energy Harvesting System for an Energy-Autonomous Instrumented Total Hip Replacement: Experimental and Numerical Evaluation. Materials 2021, 14, 5151. [Google Scholar] [CrossRef]

Publisher’s Note: MDPI stays neutral with regard to jurisdictional claims in published maps and institutional affiliations. |
© 2021 by the authors. Licensee MDPI, Basel, Switzerland. This article is an open access article distributed under the terms and conditions of the Creative Commons Attribution (CC BY) license (https://creativecommons.org/licenses/by/4.0/).
Share and Cite
Lange, H.-E.; Arbeiter, N.; Bader, R.; Kluess, D. Correction: Lange et al. Performance of a Piezoelectric Energy Harvesting System for an Energy-Autonomous Instrumented Total Hip Replacement: Experimental and Numerical Evaluation. Materials 2021, 14, 5151. Materials 2021, 14, 7693. https://doi.org/10.3390/ma14247693
Lange H-E, Arbeiter N, Bader R, Kluess D. Correction: Lange et al. Performance of a Piezoelectric Energy Harvesting System for an Energy-Autonomous Instrumented Total Hip Replacement: Experimental and Numerical Evaluation. Materials 2021, 14, 5151. Materials. 2021; 14(24):7693. https://doi.org/10.3390/ma14247693
Chicago/Turabian StyleLange, Hans-E., Nils Arbeiter, Rainer Bader, and Daniel Kluess. 2021. "Correction: Lange et al. Performance of a Piezoelectric Energy Harvesting System for an Energy-Autonomous Instrumented Total Hip Replacement: Experimental and Numerical Evaluation. Materials 2021, 14, 5151" Materials 14, no. 24: 7693. https://doi.org/10.3390/ma14247693
APA StyleLange, H.-E., Arbeiter, N., Bader, R., & Kluess, D. (2021). Correction: Lange et al. Performance of a Piezoelectric Energy Harvesting System for an Energy-Autonomous Instrumented Total Hip Replacement: Experimental and Numerical Evaluation. Materials 2021, 14, 5151. Materials, 14(24), 7693. https://doi.org/10.3390/ma14247693

