Hydrothermal Synthesis of Nanocrystalline ZrO2-8Y2O3-xLn2O3 Powders (Ln = La, Gd, Nd, Sm): Crystalline Structure, Thermal and Dielectric Properties
Abstract
1. Introduction
2. Materials and Methods
2.1. Hydrothermal Synthesis
2.2. Characterization Methods
3. Results
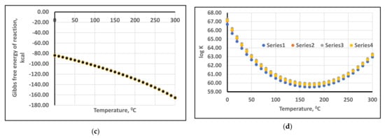
3.1. Chemical Analysis
3.2. XRD Analysis
3.3. SEM Analysis
3.4. DSC Analysis
3.5. Thermal Conductivity
3.6. Impedance Spectroscopy
4. Discussions
5. Conclusions
Author Contributions
Funding
Institutional Review Board Statement
Informed Consent Statement
Data Availability Statement
Acknowledgments
Conflicts of Interest
References
- Madhusudhanaa, H.C.; Shobhadevic, S.N.; Nagabhushanad, B.M.; Krishnad, R.H.; Murugendrappae, M.V.; Nagabhushanaf, H. Structural Characterization and Dielectric studies of Gd doped ZrO2 nano crystals Synthesized by Solution combustion method. Mater. Today Proc. 2018, 5, 21195–21204. [Google Scholar] [CrossRef]
- Zirconium Dioxide (Zirconia): Properties, Production and Applications. Available online: https://matmatch.com/learn/material/zirconium-dioxide-zirconia (accessed on 25 November 2021).
- Miura, N.; Sato, T.; Anggraini, S.A.; Ikeda, H.; Zhuiykov, S. A review of mixed-potential type zirconia-based gas sensors. Ionics 2014, 20, 901–925. [Google Scholar] [CrossRef]
- Hao, S.J.; Wang, C.; Liu, T.L.; Mao, Z.M.; Mao, Z.Q.; Wang, J.L. Fabrication of nanoscale yttria stabilized zirconia for solid oxide fuel cell. Int. J. Hydrogen Energy 2017, 42, 29949–29959. [Google Scholar] [CrossRef]
- Kauppi, E.I.; Honkala, K.; Krause, A.O.I.; Kanervo, J.M.; Lefferts, L. ZrO2 Acting as a Redox Catalyst. Top. Catal. 2016, 59, 823–832. [Google Scholar] [CrossRef]
- Fan, W.; Bai, Y.; Wang, Y.; He, T.; Gao, Y.; Zhang, Y.; Zhong, X.; Li, B.; Chang, Z.; Ma, Y. Microstructural design and thermal cycling performance of a novel layer-gradient nanostructured Sc2O3eY2O3 co-stabilized ZrO2 thermal barrier coating. J. Alloys Compd. 2020, 829, 154525. [Google Scholar] [CrossRef]
- Savin, A.; Craus, M.L.; Turchenko, V.; Bruma, A.; Dubos, P.A.; Malo, S.; Konstantinova, T.E.; Burkhovetsky, V.V. Monitoring Techniques of Cerium Stabilized Zirconia for Medical Prosthesis. Appl. Sci. 2015, 5, 1665–1682. [Google Scholar] [CrossRef]
- Huang, R.; Yan, X.; Ye, S.; Kashtiban, R.; Beanland, R.; Morgan, K.A.; Charlton, M.D.B.; Groot, C.H. Compliance-Free ZrO2/ZrO2-x/ZrO2 Resistive Memory with Controllable Interfacial Multistate Switching Behaviour. Nanoscale Res. Lett. 2017, 12, 384. [Google Scholar] [CrossRef]
- Bahamiriana, M.; Hadavib, S.M.M.; Farvizia, M.; Rahimipoura, M.R.; Keyvanic, A. Phase stability of ZrO2 9.5Y2O3 5.6Yb2O3 5.2Gd2O3 compound at 1100 °C and 1300 °C for advanced TBC applications. Ceram. Int. 2019, 45, 7344–7350. [Google Scholar] [CrossRef]
- Tanzi, M.C.; Farè, S.; Candiani, G. Chapter 4—Biomaterials and Applications Foundations of Biomaterials. In Foundations of Biomaterials Engineering; Elsevier: Milano, Italy, 2019; pp. 199–287. [Google Scholar]
- Farid, S.B.H. 1—Overview. In Bioceramics: For Materials Science and Engineering; Elsevier: Amsterdam, The Netherlands, 2019; pp. 1–37. [Google Scholar]
- Farid, S.B.H. 2—Structure, microstructure, and properties of bioceramics. In Bioceramics: For Materials Science and Engineering; Elsevier: Amsterdam, The Netherlands, 2019; pp. 39–76. [Google Scholar]
- Stevens, R.; Magnesium Electron Ltd. Zirconia and Zirconia Ceramics, 2nd ed.; Magnesium Elektron: Twickenham, UK, 1986. [Google Scholar]
- Castro, J.; Nafsin, N. Direct measurements of quasi-zero grain boundary energies in ceramics. J. Mater. Res. 2017, 32, 166. [Google Scholar]
- Komine, S.; Imure, T.; Iguchi, E. Co-doping effects on crystal structure and electric conduction in ((Y0.75La0.25)1-xGd)0.18Zr0.82O2_δ). Solid State Ion. 2005, 176, 2535–2543. [Google Scholar] [CrossRef]
- Mikhailov, D.A.; Orlova, A.I.; Malanina, N.V.; Nokhrin, A.V.; Potanina, E.A.; Chuvil’deev, V.N.; Boldin, M.S.; Sakharov, N.V.; Belkin, O.A.; Kalenova, M.Y.; et al. A study of fine-grained ceramics based on complex oxides ZrO2-Ln2O3 (Ln= Sm, Yb) obtained by Spark Plasma Sintering for inert matrix fuel. Ceram. Int. 2018, 44, 18595–18608. [Google Scholar] [CrossRef]
- Dragut, D.V.; Badilita, V.; Motoc, A.M.; Piticescu, R.R.; Zhao, J.; Hijji, H.; Conte, L. Thermal stability and field assisted sintering of cerium-doped YSZ ceramic nanoparticles obtained via a hydrothermal process. Manuf. Rev. 2017, 4, 11. [Google Scholar] [CrossRef]
- Zhang, Y.-W.; Yan, Z.-G.; Liao, F.-H.; Liao, C.-S.; Yan, C.-H. Citrate gel synthesis and characterization of (ZrO2)0.85(REO1.5)0.15 (RE = Y, Sc) solid solutions. Mat. Res. Bull. 2004, 39, 1763–1777. [Google Scholar] [CrossRef]
- Song, Y.Q.; Liu, H.M.; He, D.H. Effects of hydrothermal conditions of ZrO2 on catalyst properties and catalytic performances of Ni/ZrO2 in the partial oxidation of methane. Energy Fuels 2010, 24, 2817–2824. [Google Scholar] [CrossRef]
- Zhang, J.; Li, W.; Tanji, T. Synthesis of zirconia oxide (ZrO2) nanofibers on zirconnia substrates by ultrasonic spray pyrolysis. Mater. Sci. Appl. 2014, 5, 193. [Google Scholar]
- Lan, L.; Chen, S.; Cao, Y.; Zhao, M.; Gong, M.; Chen, Y. Preparation of ceria-zirconia by modified coprecipitation method and its supported Pd-only three-way catalyst. J. Colloid Interface Sci. 2015, 450, 404–416. [Google Scholar] [CrossRef]
- Fenech, J.; Dalbin, M.; Barnabe, A.; Bonino, J.P.; Ansar, F. Sol–gel processing and characterization of (RE-Y)-zirconia powders for thermal barrier coatings, Sol–gel processing and characterization of (RE-Y)-zirconia powders for thermal barrier coatings. Powder Technol. 2011, 208, 480–487. [Google Scholar] [CrossRef][Green Version]
- Gnanamoorthi, K.; Balakrishnan, M.; Mariappan, R.; Kumar, E.R. Effect of Ce doping on microstructural, morphological and optical properties of ZrO2 nanoparticles. Mater. Sci. Semicond. Process. 2015, 30, 518–526. [Google Scholar] [CrossRef]
- Ravichandran, A.T.; Pushpa, K.C.S.; Ravichandran, K.; Karthika, K.; Nagabhushana, B.M.; Mantha, S.; Swaminathan, K. Effect of Al doping on the structural and optical properties of ZrO2 nanopowders synthesized using solution combustion method. Superlattices Microstruct. 2014, 75, 533–542. [Google Scholar] [CrossRef]
- Saha, S.; Nandy, A.; Meikap, A.K.; Pradhan, S.K. Electric modulus formalism and electrical transport property of ball mill synthesized nanocrystalline Mn doped ZrO2 solid solution. Physica B 2015, 479, 67–73. [Google Scholar] [CrossRef]
- Gupta, V.K.; Khamparia, S.; Tyagi, I.; Jaspal, D.; Malviya, A. Decolorization of mixture of dyes: A critical review Global. J. Environ. Sci. Manag. 2015, 1, 71–94. [Google Scholar]
- Bhat, P.B.; Bhat, B.R. Nano Fe3O4@APTES@ Ni (OH)2 as a catalyst for alcohol oxidation. New J. Chem. 2015, 39, 273–278. [Google Scholar] [CrossRef]
- Abhudhahir, M.H.S.; Kandasamy, J. Photocatalytic effect of manganese doped WO3 and the effect of dopants on degradation of methylene blue. J. Mater. Sci. Mater. Electron. 2015, 26, 8307–8314. [Google Scholar] [CrossRef]
- Byrappa, K.; Yoshimura, M. Handbook of Hydrothermal Technology, 2nd ed.; Elsevier: Amsterdam, The Netherlands, 2012. [Google Scholar]
- Segal, D. Chemical Synthesis of Advanced Ceramic Materials; Cambridge University Press: Cambridge, UK, 1989. [Google Scholar]
- Ozgurluk, Y.; Doleker, K.M.; Karaoglanli, A.C. Hot corrosion behavior of YSZ, Gd2Zr2O7 and YSZ/Gd2Zr2O7 thermal barrier coatings exposed to molten sulfate and vanadate salt. Appl. Surf. Sci. 2018, 438, 96–113. [Google Scholar] [CrossRef]
- Yang, L.; Zhu, C.; Sheng, Y.; Nian, H.; Li, Q.; Song, P.; Lu, W.; Yang, J.; Liu, B. Investigation of mechanical and thermal properties of rare earth pyrochlore oxides by first-principles calculations. J. Am. Ceram. Soc. 2019, 102, 2830–2840. [Google Scholar] [CrossRef]
- Chen, Z. Global rare earth resources and scenarios of future rare earth industry. J. Rare Earths 2011, 29, 1. [Google Scholar] [CrossRef]
- Goodenough, K.M.; Schilling, J.; Jonsson, E.; Kalvig, P.; Charles, N.; Tuduri, J.; Deady, E.A.; Sadeghi, M.; Schiellerup, H.; Müller, A.; et al. Europe’s rare earth element resource potential: An overview of REE metallogenetic provinces and their geodynamic setting. Ore Geol. Rev. 2016, 72, 838–856. [Google Scholar] [CrossRef]
- Damen, M. Four EU Scenarios for Governance in a Post-COVID-19 World: Lessons from Natural Resources Management; European Parliament: Brussels, Belgium, 2020. [Google Scholar]
- European Commission. Report on Critical Raw Materials and the Circular Economy; European Commission: Brussels, Belgium, 2017. [Google Scholar]
- Wang, J.; Guo, M.; Liu, M.; Wei, X. Long-term outlook for global rare earth production. Resour. Policy 2020, 65, 101569. [Google Scholar] [CrossRef]
- Don’t Panic about Rare Earth Elements. Available online: https://www.scientificamerican.com/article/dont-panic-about-rare-earth-elements/ (accessed on 10 November 2021).
- Van Gosen, B.S.; Verplanck, P.L.; Seal, R.R., II; Long, K.R.; Gambogi, J.O. Rare-earth elements. In Critical Mineral Resources of the United States—Economic and Environmental Geology and Prospects for Future Supply; Schulz, K.J., DeYoung, J.H., Jr., Seal, R.R., II, Dwight, C.B., Eds.; U.S. Geological Survey: Reston, VA, USA, 2017. [Google Scholar]
- Critical Materials Rare Earths Supply Chain: A Situational White Paper; U.S. Department of Energy, Office of Energy Eficiency & Renewable Energy: Washingtone, DC, USA, 2020.
- Rare Earth Reserves Worldwide as of 2020, by Country. 2021. Available online: https://www.statista.com/statistics/277268/rare-earth-reserves-by-country/ (accessed on 10 November 2021).
- China’s Rare-Earth Dominance Is a Security Risk for NATO and Western Supply-Chain Resilience. 2021. Available online: https://icds.ee/en/chinas-rare-earth-dominance-is-a-security-risk-for-nato-and-western-supply-chain-resilience/ (accessed on 10 November 2021).
- Communication from the Commission to the European Parliament, the Council, the European Economic and Social Committee and the Committee of the Regions. Available online: https://eur-lex.europa.eu/legal-content/EN/ALL/?uri=CELEX%3A52012DC0673 (accessed on 10 November 2021).
- Mekala, R.; Deepa, B.; Rajendran, V. Preparation. characterization and antibacterial property of rare earth (Dy and Ce) doping on ZrO2 nanoparticles prepared by co-precipitation method. Mater. Today Proc. 2018, 5, 8837–8843. [Google Scholar] [CrossRef]
- Guo, L.; Li, M.; Ye, F. Phase stabilityandthermalconductivityof RE2O3 (RE¼La. Nd, Gd, Yb) and Yb2O3 co-doped Y2O3 stabilized ZrO2 ceramics. Ceram. Int. 2016, 42, 7360–7365. [Google Scholar] [CrossRef]
- Mercer, C.; Williams, J.R.; Clarke, D.R.; Evans, A.G. On a ferroelastic mechanism governing the toughness of metastable tetragonal-prime (t’) yttria-stabilized zirconia. Proc. R. Soc. A 2007, 463, 1393–1408. [Google Scholar] [CrossRef]
- Chen, C.; Liang, T.; Guo, Y.; Chena, X.; Man, Q.; Zhang, X.; Zeng, J.; Ji, V. Effect of scandia content on the hot corrosion behavior of Sc2O3 and Y2O3 co-doped ZrO2 in Na2SO4 + V2O5 molten salts at 1000 °C. Corros. Sci. 2019, 158, 108094. [Google Scholar] [CrossRef]
- Pitek, F.M.; Levi, C.G. Opportunities for TBCs in the ZrO2–YO1.5–TaO2.5 system. Surf. Coat. Technol. 2007, 201, 6044–6050. [Google Scholar] [CrossRef]
- Sun, L.; Guon, H.; Peng, H.; Gong, S.; Xu, H. Influence of partial substitution of Sc2O3 with Gd2O3 on thephase stability andthermalconductivityof Sc2O3-doped ZrO2. Ceram. Int. 2013, 39, 3447–3451. [Google Scholar] [CrossRef]
- Song, X.; Xie, M.; Mub, R.; Zhou, F.; Jia, G.; An, S. Influence of the partial substitution of Y2O3 with Ln2O3 (Ln = Nd, Sm, Gd) on the phase structure and thermophysical properties of ZrO2–Nb2O5–Y2O3 ceramics. Acta Mater. 2011, 59, 3895–3902. [Google Scholar] [CrossRef]
- Wang, Y.; Chen, L.; Feng, J. Impact of ZrO2 alloying on thermo-mechanical properties of Gd3NbO7. Ceram. Int. 2020, 46, 6174–6181. [Google Scholar] [CrossRef]
- Hirano, M.; Dozono, H. Luminescent nanocrystals in the rare-earth niobate-zirconia system formed via hydrothermal method. J. Solid State Chem. 2013, 204, 335–340. [Google Scholar] [CrossRef]
- Torres, J.G.; Montes, E.; Guzmán Olguín, J.C.; Sánchez Guzmán, D.; López Esquivel, R.I.; Martín, I.R.; Guzmán Mendoza, J. Upconversion emission of ZrO2 nanoparticles doped with erbium (Er3+) and ytterbium (Yb3+), synthesized by hydrothermal route. Ceram. Int. 2018, 44, 154–157. [Google Scholar] [CrossRef]
- Ramos-Guerra, A.I.; Martínez-Merlín, I.; Falcony, C. The role of the stabilizing agent on the structural and luminescent properties of hydrothermally synthesized ZrO2:Tb3+ phosphors. Ceram. Int. 2018, 44, 13744–13749. [Google Scholar] [CrossRef]
- Gionco, C.; Hernández, S.; Castellino, M.; Gadhi, T.A.; Muñoz-Tabares, J.A.; Cerrato, E.; Tagliaferro, A.; Russo, N.; Paganini, M.C. Synthesis and characterization of Ce and Er dopedZrO2 nanoparticles as solar light driven photocatalysts. J. Alloys Compd. 2019, 775, 896–904. [Google Scholar] [CrossRef]
- Song, J.; Zhang, H.; Feng, Z.; Zhang, J.; Chen, F.; Long, Z.; Huang, X. Controllable preparation of 5 mol% Y2O3-stabilized tetragonal ZrO2 by hydrothermal method. J. Alloys Compd. 2020, 856, 156766. [Google Scholar] [CrossRef]
- Hui, Y.; Zhao, S.; Xu, J.; Zhu, L.; Zhou, X.; Zou, B.; Wang, Y.; Cao, X. Doping concentration of Eu3+ as a fluorescence probe for phase transformation of zirconia. J. Rare Earths 2015, 33, 717. [Google Scholar] [CrossRef]
- Hernández, S.; Gionco, C.; Husak, T.; Castellino, M.; Muñoz-Tabares, J.A.; Tolod, K.R.; Giamello, E.; Paganini, M.C.; Russo, N. Insights Into the Sunlight-Driven Water Oxidation by Ce and Er-Doped ZrO2. Front. Chem. 2018, 6, 368. [Google Scholar] [CrossRef]
- Bugrov, A.N.; Rodionov, I.A.; Zvereva, I.A. Photocatalytic activity and luminescent properties of Y, Eu, Tb, Sm and Er-doped ZrO2 nanoparticles obtained by hydrothermal method. Int. J. Nanotechnol. 2016, 13, 147–157. [Google Scholar] [CrossRef]
- Oerlikon Metco Thermal Spray Materials Guide, April 2017, Datasheet DSMTS-0047.5—8% YSZ Agglomerated and Sintered Powders ©2017 Oerlikon Metco. Available online: https://www.oerlikon.com (accessed on 16 November 2021).
- Shi, Q.; Yuan, W.; Chao, X.; Zhu, Z. Phase stability, thermal conductivity and crystal growth behavior of RE2O3 (RE = La,Yb,Ce,Gd) co-doped Y2O3 stabilized ZrO2 powder. J. Sol-Gel Sci. Technol. 2017, 84, 341–348. [Google Scholar] [CrossRef]
- Apriany, K.; Permadani, I.; Syarif, G.D.; Soepriyanto, S.; Rahmawati, F. Electrical conductivity of zirconia and yttrium-doped zirconia from Indonesian local zircon as prospective material for fuel cells. IOP Conf. Ser. Mat. Sci. Eng. 2016, 107, 012023. [Google Scholar] [CrossRef]
- Piticescu, R.R.; Mony, C.; Taloi, D.; Motoc, A.; Axinte, S. Hydrothermal synthesis of zirconia nanomaterials. J. Eur. Ceram. Soc. 2001, 21, 2057–2060. [Google Scholar] [CrossRef]
- Motoc, A.M.; Valsan, S.; Slobozeanu, A.E.; Corban, M.; Valerini, D.; Prakasam, M.; Botan, M.; Dragut, V.; Vasile, B.S.; Surdu, A.V.; et al. Design, Fabrication, and Characterization of New Materials Based on Zirconia Doped with Mixed Rare Earth Ox-ides: Review and First Experimental Results. Metals 2020, 10, 746. [Google Scholar] [CrossRef]
- Kushwaha, A.K.; Mishra, S.P.; Vishwakarma, M.K.; Chauhan, S.; Jappor, H.R.; Khenata, R.; Omran, S.B. Theoretical study of thermal conductivity, mechanical, vibrational and thermodynamical properties of Ln2Zr2O7 (Ln = La, Nd, Sm, and Eu) pyrochlore. Inorg. Chem. Commun. 2021, 127, 108495. [Google Scholar] [CrossRef]
- Avila-Paredes, H.J.; Choi, K.; Chena, C.-T.; Kim, S. Dopant-concentration dependence of grain-boundary conductivity in ceria: A space-charge analysis. J. Mater. Chem. 2009, 19, 4837–4842. [Google Scholar] [CrossRef]
- Synam-Kumar, C.N.; Bauri, R.; Srinivas Reddy, G. Phase stability and conductivity of rare earth co-doped nanocrystalline zirconia electrolytes for solid oxide fuel cells. J. Alloys Compd. 2020, 833, 155100. [Google Scholar] [CrossRef]












| Sample | % Dopant | Phase Composition | |||||
|---|---|---|---|---|---|---|---|
| Initial | 400 °C | 800 °C | 1000 °C | 1200 °C | 1400 °C | ||
| MxZY-La | 4 | C M | C-(ZrO2)SS 1 M-(ZrO2)SS | C-(ZrO2)SS 1 M-(ZrO2)SS | C-(ZrO2)SS 1 M-(ZrO2)SS T-(ZrO2)SS | C-(ZrO2)SS 1 M-(ZrO2)SS T-(ZrO2)SS Pyr | C-(ZrO2)SS 1 M-(ZrO2)SS T-(ZrO2)SS Pyr |
| 6 | C M | C-(ZrO2)SS 2 M-(ZrO2)SS | C-(ZrO2)SS 2 M-(ZrO2)SS | C-(ZrO2)SS 2 M-(ZrO2)SS T-(ZrO2)SS | C-(ZrO2)SS 2 M-(ZrO2)SS T-(ZrO2)SS Pyr | C-(ZrO2)SS 2 M-(ZrO2)SS T-(ZrO2)SS Pyr | |
| 8 | C M | C-(ZrO2)SS 3 M-(ZrO2)SS | C-(ZrO2)SS 3 M-(ZrO2)SS | C-(ZrO2)SS 3 M-(ZrO2)SS T-(ZrO2)SS | C-(ZrO2)SS 3 M-(ZrO2)SS T-(ZrO2)SS Pyr | C-(ZrO2)SS 3 M-(ZrO2)SS T-(ZrO2)SS Pyr | |
| MxZY-Nd | 4 | C | C-(ZrO2)Ss 4 M-(ZrO2)SS | C-(ZrO2)SS 4 M-(ZrO2)SS | C-(ZrO2)SS 4 M-(ZrO2)SS | C-(ZrO2)SS 4 | C-(ZrO2)SS 4 |
| 6 | C | C-(ZrO2)SS 5 M-(ZrO2)SS | C-(ZrO2)SS 5 M-(ZrO2)SS | C-(ZrO2)SS 5 M-(ZrO2)SS T-(ZrO2)SS | C-(ZrO2)SS 5 | C-(ZrO2)SS 5 | |
| 8 | C | C-(ZrO2)SS 6 M-(ZrO2)SS | C-(ZrO2)SS 6 M-(ZrO2)SS | C-(ZrO2)SS 6 M-(ZrO2)SS T-(ZrO2)SS | C-(ZrO2)SS 6 | C-(ZrO2)SS 6 | |
| MxZY-Sm | 4 | C M | C-(ZrO2)SS 7 M-(ZrO2)SS | C-(ZrO2)SS 7 M-(ZrO2)SS | C-(ZrO2)SS 7 M-(ZrO2)SS T-(ZrO2)SS | C-(ZrO2)SS 7 M-(ZrO2)SS T-(ZrO2)SS | C- (ZrO2)SS 7 M-(ZrO2)SS T-(ZrO2)SS |
| 6 | C M | C-(ZrO2)SS 8 M-(ZrO2)SS | C-(ZrO2)SS 8 M(ZrO2)SS | C-(ZrO2)SS 8 | C-(ZrO2)SS 8 | C-(ZrO2)SS 8 | |
| 8 | C M | C-(ZrO2)SS 9 M-(ZrO2)SS | C-(ZrO2)SS 9 M-(ZrO2)SS | C-(ZrO2)SS 9 | C-(ZrO2)SS 9 | C-(ZrO2)SS 9 | |
| MxZY-Gd | 4 | C M | C-(ZrO2)SS 10 M-(ZrO2)SS | C-(ZrO2)SS 10 M-(ZrO2)SS | C-(ZrO2)SS 10 M-(ZrO2)SS T-(ZrO2)SS | C-(ZrO2)SS 10 T-(ZrO2)SS | C-(ZrO2)SS 10 T-(ZrO2)SS |
| 6 | C M | C-(ZrO2)SS 11 M-(ZrO2)SS | C-(ZrO2)SS 11 M-(ZrO2)SS | C-(ZrO2)SS 11 M-(ZrO2)SS T-(ZrO2)SS | C-(ZrO2)SS 11 T-(ZrO2)SS | C-(ZrO2)SS 11 T-(ZrO2)SS | |
| 8 | C M | C-(ZrO2)SS 12 M-(ZrO2)SS | C-(ZrO2)SS 12 M-(ZrO2)SS | C-(ZrO2)SS 12 M-(ZrO2)SS T-(ZrO2)SS | C-(ZrO2)SS 12 | C-(ZrO2)SS 12 | |
| Sample | % Dopant | d (nm) | Sample | % Dopant | d (nm) |
|---|---|---|---|---|---|
| MxZY-La | 4 | 6 | MxZY-Sm | 4 | 5.4 |
| 6 | 7 | 6 | 5.6 | ||
| 8 | 7 | 8 | 5.1 | ||
| MxZY-Nd | 4 | 6.3 | MxZY-Gd | 4 | 5.7 |
| 6 | 6 | 6 | 5.7 | ||
| 8 | 5.7 | 8 | 5.6 |
| Sample | Concentration of Dopant (%) | |||
|---|---|---|---|---|
| 4 | 6 | 8 | ||
| MxZYLa | Initial | 2.20–42.81 nm | 2.14–14.53 nm | 1.91–24.37 nm |
| Calcined 1000 °C | 1.29–17.55 nm | 1.68–9.72 nm | 1.51–20.25 nm | |
| MxZYNd | Initial | 2.35–68.34 nm | 2.02–52.31 nm | 1.83–14.54 nm |
| Calcined 1000 °C | 1.45–14.60 nm | 1.91–12.91 nm | 1.45–14.60 nm | |
| MxZYSm | Initial | 2.65–11.49 nm | 2.05–30.48 nm | 1.62–18.73 nm |
| Calcined 1000 °C | 1.36–17.71 nm | 1.76–22.06 nm | 1.55–13.83 nm | |
| MxZYGd | Initial | 2.71–58.39 nm | 1.78–52.27 nm | 12.41–19.08 nm |
| Calcined 1000 °C | 1.26–16.96 nm | 1.35–20.69 nm | 1.52–23.3 nm | |
| Sample | H2O Loss | Total Loss | Sample | H2O Loss | Total Loss |
|---|---|---|---|---|---|
| MxZY4% La | 5.142 | 8.46 | MxZy4% Sm | 4.876 | 8.243 |
| MxZY6% La | 5.164 | 9.406 | MxZy6% Sm | 4.733 | 7.979 |
| MxZY8% La | 6.68 | 11.42 | MxZy8% Sm | 5.924 | 9.985 |
| MxZY4Nd | 4.859 | 8.168 | MxZy4% Gd | 4.095 | 8.224 |
| MxZY6Nd | 4.693 | 8.132 | MxZy6% Gd | 4.994 | 7.987 |
| MxZY8Nd | 6.299 | 10.233 | MxZy8% Gd | 5.295 | 8.352 |
| Sample | Th. Conductivity (W/m·K) | Th. Diffusivity (mm2/s) | Volumetric Spec. Heat (MJ/m3·K) | Spec. Heat (MJ/m3·K) |
|---|---|---|---|---|
| MxZY-6%La | 0.3049 ± 0.0079 | 0.2603 ± 0.0075 | 1.1715 ±0.0104 | 0.4048 ± 0.0036 |
| MxZY-6%Nd | 0.3276 ± 0.0004 | 0.2899 ± 0.0018 | 1.1297 ± 0.0077 | 0.3502 ± 0.0023 |
| MxZY-6%Sm | 0.3923 ± 0.0019 | 0.2766 ± 0.0053 | 1.4185 ± 0.0216 | 0.3987 ± 0.0060 |
| MxZY-6%Gd | 0.3799 ± 0.0012 | 0.2799 ± 0.0084 | 1.3577 ± 0.0379 | 0.3809 ± 0.0106 |
| Sample | Ea (eV) |
|---|---|
| MxZY-6%La | 1.12 |
| MxZY-6%Nd | 1.21 |
| MxZY-6%Sm | 1.17 |
| MxZY-6%Gd | 1.09 |
Publisher’s Note: MDPI stays neutral with regard to jurisdictional claims in published maps and institutional affiliations. |
© 2021 by the authors. Licensee MDPI, Basel, Switzerland. This article is an open access article distributed under the terms and conditions of the Creative Commons Attribution (CC BY) license (https://creativecommons.org/licenses/by/4.0/).
Share and Cite
Piticescu, R.-R.; Slobozeanu, A.E.; Valsan, S.N.; Ciobota, C.F.; Ghita, A.-N.; Motoc, A.M.; Chiriac, S.; Prakasam, M. Hydrothermal Synthesis of Nanocrystalline ZrO2-8Y2O3-xLn2O3 Powders (Ln = La, Gd, Nd, Sm): Crystalline Structure, Thermal and Dielectric Properties. Materials 2021, 14, 7432. https://doi.org/10.3390/ma14237432
Piticescu R-R, Slobozeanu AE, Valsan SN, Ciobota CF, Ghita A-N, Motoc AM, Chiriac S, Prakasam M. Hydrothermal Synthesis of Nanocrystalline ZrO2-8Y2O3-xLn2O3 Powders (Ln = La, Gd, Nd, Sm): Crystalline Structure, Thermal and Dielectric Properties. Materials. 2021; 14(23):7432. https://doi.org/10.3390/ma14237432
Chicago/Turabian StylePiticescu, Radu-Robert, Anca Elena Slobozeanu, Sorina Nicoleta Valsan, Cristina Florentina Ciobota, Andreea-Nicoleta Ghita, Adrian Mihail Motoc, Stefania Chiriac, and Mythili Prakasam. 2021. "Hydrothermal Synthesis of Nanocrystalline ZrO2-8Y2O3-xLn2O3 Powders (Ln = La, Gd, Nd, Sm): Crystalline Structure, Thermal and Dielectric Properties" Materials 14, no. 23: 7432. https://doi.org/10.3390/ma14237432
APA StylePiticescu, R.-R., Slobozeanu, A. E., Valsan, S. N., Ciobota, C. F., Ghita, A.-N., Motoc, A. M., Chiriac, S., & Prakasam, M. (2021). Hydrothermal Synthesis of Nanocrystalline ZrO2-8Y2O3-xLn2O3 Powders (Ln = La, Gd, Nd, Sm): Crystalline Structure, Thermal and Dielectric Properties. Materials, 14(23), 7432. https://doi.org/10.3390/ma14237432

