Strength and Toughness of Waste Fishing Net Fiber-Reinforced Concrete
Abstract
:1. Introduction
2. Experimental Work
2.1. Materials
2.2. Sample Preparations
3. Testing Methods
4. Results and Discussion
4.1. Compressive Strength Test
4.2. Splitting Tensile Strength Test
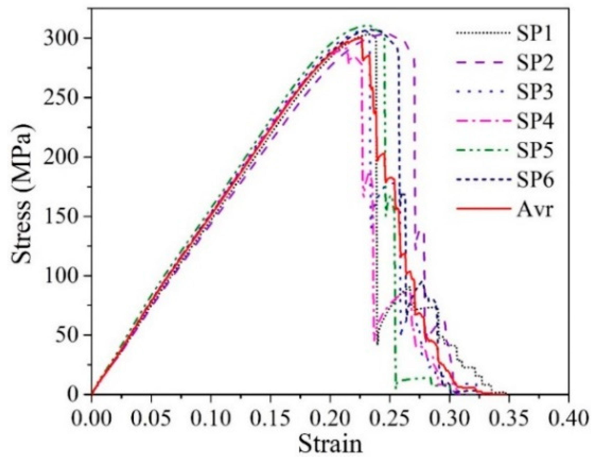
4.3. Biaxial Flexure Test
4.4. Ductility Number
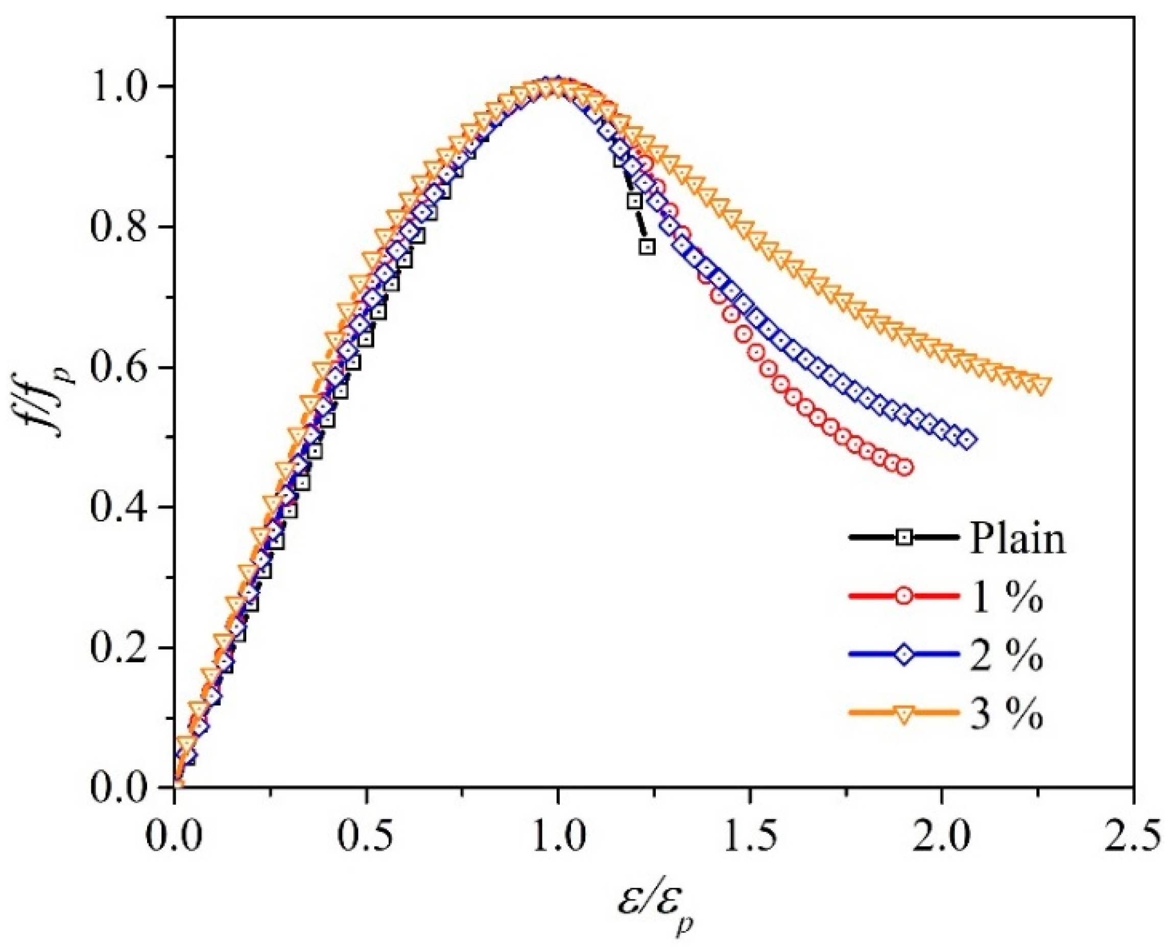
4.5. Optimization of WFN Fiber Proportion
5. Conclusions
- The addition of WFN fibers reduced the workability of concrete, and the slump of the 1% WFN fiber-reinforced concrete sample was acceptable as compared with those of the 2 and 3% WFN fiber-reinforced concrete samples.
- Corresponding to an increase in the fiber proportions, the changes in the mechanical properties of the WFN fiber-reinforced concrete are as follows: According to the compression test, the compressive strength decreased slightly while the strain and toughness increased. According to the splitting tensile strength outcomes, an improvement in the tensile property and post-cracking behavior of concrete was observed. From the biaxial flexural test, the biaxial tensile stress and toughness improved significantly. On the basis of the findings from the experimental work, the WFN fibers showed their benefits in crack arresting, and thus improved the post-cracking behavior and transformed concrete from a brittle to a quasi-brittle material.
- On the basis of the normalized analysis, the optimal proportion of 1% WFN fibers is proposed by considering the changes in the decrease in compressive strength and the increase in splitting tensile strength and toughness among the three surveyed proportions. However, the proportions of 1% and 2% are recommended for practical applications owing to their structural requirements. In addition, further studies on detailed proportions of fiber content from 1 to 2% are necessary to find the best performance of WFN fiber-reinforced concrete material.
- The fiber utilized in this study was a recycled product from the WFN. Thus, the environmental benefits are very clear. In addition, the fiber production process does not consume any energy and releases toxic waste or exhaust. Collection, classification, washing, and cutting into desired sizes are all requirements of the production process. However, for practical applications, the demands for WFN fiber pretreatment, cutting technology, and optimal mixing design technology are necessary. Hence, these subjects will be studied in detail in the future.
Author Contributions
Funding
Institutional Review Board Statement
Informed Consent Statement
Data Availability Statement
Conflicts of Interest
References
- United Nations Environment Programme. 2020 Global Status Report for Buildings and Construction: Towards a Zero-Emission, Efficient and Resilient Buildings and Construction Sector; United Nations Environment Programme: Nairobi, Kenya, 2020. [Google Scholar]
- The Pew Charitable Trusts and SYSTEMIQ. Breaking the Plastic Wave: A Comprehensive Assessment of Pathways towards Stopping Ocean Plastic Pollution; SYSTEMIQ Ltd.: London, UK; Munich, Germany; Jakarta, Indonesia, 2020. [Google Scholar]
- Siddique, R.; Khatib, J.; Kaur, I. Use of recycled plastic in concrete: A review. Waste Manag. 2008, 28, 1835–1852. [Google Scholar] [CrossRef]
- Ahmed, H.U.; Faraj, R.H.; Hilal, N.; Mohammed, A.A.; Sherwani, A.F.H. Use of recycled fibers in concrete composites: A systematic comprehensive review. Compos. Part B Eng. 2021, 215, 108769. [Google Scholar] [CrossRef]
- Merli, R.; Preziosi, M.; Acampora, A.; Lucchetti, M.C.; Petrucci, E. Recycled Fibers in Reinforced Concrete: A systematic literature review. J. Clean. Prod. 2019, 248, 119207. [Google Scholar] [CrossRef]
- Tuladhar, R.; Yin, S. Use of Recycled Plastics in Eco-efficient Concrete; Woodhead Publishing: Cambridge, UK, 2019; pp. 441–460. [Google Scholar] [CrossRef]
- Nguyen, T.N.M.; Yoo, D.; Kim, J.J. Cementitious Material Reinforced by Carbon Nanotube-Nylon 66 Hybrid Nanofibers: Mechanical strength and microstructure analysis. Mater. Today Commun. 2020, 23, 100845. [Google Scholar] [CrossRef]
- Nguyen, T.N.M.; Moon, J.; Kim, J.J. Microstructure and mechanical properties of hardened cement paste including Nylon 66 nanofibers. Constr. Build. Mater. 2020, 232, 117–132. [Google Scholar] [CrossRef]
- Nguyen, T.N.M.; Lee, D.H.; Kim, J.J. Effect of Electrospun Nanofiber Additive on Selected Mechanical Properties of Hardened Cement Paste. Appl. Sci. 2020, 10, 7504. [Google Scholar] [CrossRef]
- Kim, J.J.; Nguyen, T.N.M.; Nguyen, X.T.; Ta, D.H. Reinforcing Cementitious Material Using Singlewalled Carbon Nanotube—Nylon 66 Nanofibers. Transp. Commun. Sci. J. 2020, 71, 46–55. [Google Scholar] [CrossRef]
- Song, P.S.; Hwang, S.; Sheu, B.C. Strength properties of nylon- and polypropylene fibre reinforced concretes. Cem. Concr. Res. 2005, 35, 1546–1550. [Google Scholar] [CrossRef]
- Nili, M.; Afroughsabet, V. The effects of silica fume and polypropylene fibres on the impact resistance and mechanical properties of concrete. Constr. Build. Mater. 2010, 24, 927–933. [Google Scholar] [CrossRef]
- Karahan, O.; Atiş, C.D. The durability properties of polypropylene fiber reinforced fly ash concrete. Mate. Design 2011, 32, 1044–1049. [Google Scholar] [CrossRef]
- Park, J.K.; Kim, D.J.; Kim, M.O. Mechanical behavior of waste fishing net fiber-reinforced cementitious composites subjected to direct tension. J. Build. Eng. 2021, 33, 101622. [Google Scholar] [CrossRef]
- Ghanem, S.Y.; Bowling, J.; Sun, Z. Mechanical Properties of Hybrid Synthetic Fiber Reinforced Self- Consolidating Concrete. Compos. Part C Open Access 2021, 5, 100154. [Google Scholar] [CrossRef]
- Kazmi, S.M.S.; Munir, M.J.; Wu, Y.-F.; Patnaikuni, I.; Zhou, Y.; Xing, F. Axial stress-strain behavior of macro-synthetic fiber reinforced recycled aggregate concrete. Cem. Concr. Comps. 2019, 97, 341–356. [Google Scholar] [CrossRef]
- Zhang, H.; Sarker, P.K.; Wang, Q.; He, B.; Jiang, Z. Strength and toughness of ambient-cured geopolymer concrete containing virgin and recycled fibres in mono and hybrid combinations. Constr. Build. Mater. 2021, 304, 124649. [Google Scholar] [CrossRef]
- Ochi, T.; Okubo, S.; Fukui, K. Development of recycled PET fiber and its application as concrete-reinforcing fiber. Cem. Concr. Comps. 2007, 29, 448–455. [Google Scholar] [CrossRef]
- Kim, J.J.; Park, C.G.; Lee, S.W.; Lee, S.W.; Won, J.P. Effects of the geometry of recycled PET fiber reinforcement on shrinkage cracking of cement-based composites. Compos. Part B Eng. 2008, 39, 442–450. [Google Scholar] [CrossRef]
- Pan, Z.; Wu, C.; Liu, J.; Wang, W.; Liu, J. Study on mechanical properties of costeffective polyvinyl alcohol engineered cementitious composites (PVA-ECC). Constr. Build. Mater. 2015, 78, 397–404. [Google Scholar] [CrossRef]
- Curosu, I.; Liebscher, M.; Mechtcherine, V.; Bellmann, C.; Michel, S. Tensile behavior of high-strength strain-hardening cement-based composites (HS-SHCC) made with high-performance polyethylene, aramid and PBO fibers. Cem. Concr. Res. 2017, 98, 71–81. [Google Scholar] [CrossRef]
- Zhou, S.; Xie, L.; Jia, Y.; Wang, C. Review of Cementitious Composites Containing Polyethylene Fibers as Repairing Materials. Polymers 2020, 12, 2624. [Google Scholar] [CrossRef]
- Pešić, N.; Živanović, S.; Garcia, R.; Papastergiou, P. Mechanical properties of concrete reinforced with recycled HDPE plastic fibres. Constr. Build. Mater. 2016, 115, 362–370. [Google Scholar] [CrossRef] [Green Version]
- Kim, S.B.; Yi, N.H.; Kim, H.Y.; Kim, J.; Song, Y. Material and structural performance evaluation of recycled PET fiber reinforced concrete. Cem. Concr. Comps. 2010, 32, 232–240. [Google Scholar] [CrossRef]
- Lu, C.; Yu, J.; Leung, C.K.Y. Tensile performance and impact resistance of strain hardening cementitious composites (SHCC) with recycled fibers. Constr. Build. Mater. 2018, 171, 566–576. [Google Scholar] [CrossRef]
- Tran, T.N.H.; Puttiwongrak, A.; Pongsopha, P.; Intarabut, D.; Jamsawang, P.; Sukontasukkul, P. Microparticle filtration ability of pervious concrete mixed with recycled synthetic fibers. Constr. Build. Mater. 2021, 270, 121807. [Google Scholar] [CrossRef]
- Orasutthikul, S.; Unno, D.; Yokota, H. Effectiveness of recycled nylon fiber from waste fishing net with respect to fiber reinforced mortar. Constr. Build. Mater. 2017, 146, 594–602. [Google Scholar] [CrossRef] [Green Version]
- Spadea, S.; Farina, I.; Carrafiello, A.; Fraternali, F. Recycled nylon fibers as cement mortar reinforcement. Construction Build. Mater. 2015, 80, 200–209. [Google Scholar] [CrossRef] [Green Version]
- Madhavi, T.C.; Raju, L.S.; Mathur, D. Polypropylene fiber reinforced concrete—A review. Int. J. Emerg. Technol. Adv. Eng. 2014, 4, 114–119. [Google Scholar]
- Ottosen, L.M.; Svensson, S.J.; Bertelsen, I.M.G. In Discarded nylon fishing nets as fibre reinforcement in cement mortar. In Proceeding of the 15th International Conference on Urban Regeneration and Sustainability, Online, 5–7 October 2021. [Google Scholar] [CrossRef]
- Srimahachota, T.; Yokota, H.; Akira, Y. Recycled Nylon Fiber from Waste Fishing Nets as Reinforcement in Polymer Cement Mortar for the Repair of Corroded RC Beams. Materials 2020, 13, 4276. [Google Scholar] [CrossRef] [PubMed]
- Truong, V.D.; Kim, M.O.; Kim, D.J. Feasibility study on use of waste fishing nets as continuous reinforcements in cement-based matrix. Constr. Build. Mater. 2021, 269, 121314. [Google Scholar] [CrossRef]
- ASTM C39/C39M-21. Standard Test Method for Compressive Strength of Cylindrical Concrete Specimens; ASTM International: West Conshehoken, PA, USA, 2021. [Google Scholar]
- ASTM C496/C496M-17. Standard Test Method for Splitting Tensile Strength of Cylindrical Concrete Specimens; ASTM International: West Conshehoken, PA, USA, 2017. [Google Scholar]
- ASTM C1550-20. Standard Test Method for Flexural Toughness of Fiber Reinforced Concrete (Using Centrally Loaded Round Panel); ASTM International: West Conshehoken, PA, USA, 2020. [Google Scholar]
- Rostami, R.; Zarrebini, M.; Mandegari, M.; Mostofinejad, D.; Abtahi, S.M. A review on performance of polyester fibers in alkaline and cementitious composites environments. Constr. Build. Mater. 2020, 241, 117998. [Google Scholar] [CrossRef]
- ASTM C143/C143M-20. Standard Test Method for Slump of Hydraulic-Cement Concrete; ASTM International: West Conshehoken, PA, USA, 2020. [Google Scholar]
- ASTM C192/C192M-19. Standard Practice for Making and Curing Concrete Test Specimens in the Laboratory; ASTM International: West Conshehoken, PA, USA, 2019. [Google Scholar]
- Kim, J.; Kim, D.J.; Zi, G. Improvement of the biaxial flexure test method for concrete. Cem. Concr. Comps. 2013, 37, 154–160. [Google Scholar] [CrossRef]
- Zi, G.; Oh, H.; Park, S.-K. A novel indirect tensile test method to measure the biaxial tensile strength of concretes and other quasibrittle materials. Cem. Concr. Res. 2008, 38, 751–756. [Google Scholar] [CrossRef]
- Yoo, D.-Y.; Zi, G.; Kang, S.-T.; Yoon, Y.-S. Biaxial flexural behavior of ultra-high-performance fiber-reinforced concrete with different fiber lengths and placement methods. Cem. Concr. Comps. 2015, 63, 51–66. [Google Scholar] [CrossRef]
- Timoshenko, S.P.; Woinowsky-Krieger, S. Theory of Plates and Shells, 2nd ed.; McGraw-Hill Press: New York, NY, USA, 1959. [Google Scholar]
- Boulekbache, B.; Hamrat, M.; Chemrouk, M.; Amziane, S. Flowability of fibre-reinforced concrete and its effect on the mechanical properties of the material. Constr. Build. Mater. 2010, 24, 1664–1671. [Google Scholar] [CrossRef]
- Palmquist, S.M.; Kintzel, E.; Andrew, K. Scanning electron microscopy to examine concrete with carbon nanofibers. In Proceedings of the 5th Pan American Conference for NDT, Cancun, NM, USA, 2–6 October 2011. [Google Scholar]
- Timoshenko, S.P.; Gere, J.M. Mechanics of Materials; PWS-Kent Publishing: Boston, MA, USA, 1984. [Google Scholar]
- Choi, Y.; Yuan, R.L. Experimental relationship between splitting tensile strength and compressive strength of GFRC and PFRC. Cem. Concr. Res. 2005, 35, 1587–1591. [Google Scholar] [CrossRef]
- Nataraja, M.C.; Dhang, N.; Gupta, A.P. Splitting tensile strength of SFRC. Indian Concr. J. 2001, 75, 287–290. [Google Scholar]
- Naaman, A.E.; Reinhardt, H.W. Proposed classification of HPFRC composites based on their tensile response. Mater. Struct. 2006, 39, 547–555. [Google Scholar] [CrossRef]
- Deng, Z.; Shi, F.; Yin, S.; Tuladhar, R. Characterisation of macro polyolefin fibre reinforcement in concrete through round determinate panel test. Constr. Build. Mater. 2016, 121, 229–235. [Google Scholar] [CrossRef]
- Kim, J.J.; Taha, M.M.R. Time-dependent reliability analysis of masonry panels under high permanent compressive stresses. In Proceedings of the 11th Canadian Masonry Symposium, Toronto, ON, Canada, 31 May–3 June 2009. [Google Scholar]
- Yew, M.K.; Mahmud, H.B.; Shafigh, P.; Ang, B.C.; Yew, M.C. Effects of polypropylene twisted bundle fibers on the mechanical properties of high-strength oil palm shell lightweight concrete. Mater. Struct. 2016, 49, 1221–1233. [Google Scholar] [CrossRef]
- Wang, D.; Ju, Y.; Shen, H.; Xu, L. Mechanical properties of high performance concrete reinforced with basalt fiber and polypropylene fiber. Constr. Build. Mater. 2019, 197, 464–473. [Google Scholar] [CrossRef]














| Notation | Filament Diameter (mm) | Number of Filaments | Section Area (mm2) | Length (mm) | Tensile Strength (MPa) | Density (g/cm3) |
|---|---|---|---|---|---|---|
| WFN | 0.23 | 42 | 1.74 | 40 | 303.81 | 0.95 |
| Property | WFN Fiber (Recycled Polyethylene (R-PE) Fiber) | Commercial PE Fiber [36] | R-Nylon Fiber [28] | R-Polypropylene (PP) Fiber [17] | R-Polyethylene Terephthalate (PET) Fiber [24] |
|---|---|---|---|---|---|
| Tensile strength (MPa) | 303.8 | 400 | 348 | 400 | 420.7 |
| Notation | Water-to-Cement Ratio (W/C) (%) | Cement Type I (kg) | Water (kg) | Coarse Aggregate (4–20 mm) (kg) | Fine Aggregate (0–4 mm) (kg) | WFN Fiber (V%) | Slump (cm) |
|---|---|---|---|---|---|---|---|
| Plain 1% 2% 3% | 0.45 | 455.3 | 202.9 | 1178.9 | 503.7 | 0 1 2 3 | 11 9 6 4 |
| CaO | Al2O3 | SiO2 | SO3 | MgO | Fe2O3 | Ig. Loss | Specific Surface Area (cm2/g) | Compressive Strength, 28-Day (MPa) |
|---|---|---|---|---|---|---|---|---|
| 61.33 | 6.40 | 21.01 | 2.30 | 3.02 | 3.12 | 1.40 | 2800 | 36 |
| Test | Geometry | Dimensions (mm2) | Number of Samples | Notation |
|---|---|---|---|---|
| Compressive strength | Cylinder | D100 × 200 | 3 | Plain |
| 3 | 1% | |||
| 3 | 2% | |||
| 3 | 3% | |||
| Splitting tensile strength | Cylinder | D100 × 200 | 3 | Plain |
| 3 | 1% | |||
| 3 | 2% | |||
| 3 | 3% | |||
| Biaxial flexural strength | Round panel | D420 × 48 | 3 | 1% |
| 3 | 2% | |||
| 3 | 3% |
| Compressive Strength (MPa) | Toughness (J/m3) | Splitting Tensile Strength (MPa) | |
|---|---|---|---|
| Plain | 43.18 (0.7541) | 81,865.03 (1741.742) | 3.77 (0.0668) |
| 1% | 41.60 (0.4140) | 162,535.6 (5517.159) | 4.01 (0.5284) |
| 2% | 40.42 (1.4626) | 170,329.7 (2242.645) | 4.42 (0.1491) |
| 3% | 37.83 (1.2981) | 188,193.8 (2975.436) | 4.44 (0.0611) |
| Present Work | Zhang et al. [17] | Kim et al. [24] | Ghanem et al. [15] | |
|---|---|---|---|---|
| Fiber | WFN Fiber | R-PP Fiber | R-PET Fiber | Marco PP Fiber |
| Reduction (%) | 4 | 7.1 | 10 | 21.8 |
| Unit | 1% | 2% | 3% | ||
|---|---|---|---|---|---|
| LOP | PLOP | kN | 10.43 (0.896) | 9.87 (0.208) | 9.27 (0.513) |
| ffLOP | MPa | 4.3 (0.369) | 4.07 (0.086) | 3.82 (0.211) | |
| δLOP | mm | 1.93 (0.153) | 1.97 (0.058) | 1.9 | |
| TLOP | J | 7.11 (0.895) | 6.25 (0.701) | 5.1 (0.212) | |
| L/160 | P2.5 | kN | 11.07 (2.084) | 13.37 (3.066) | 13.27 (1.012) |
| δ2.5 | mm | 2.5 | 2.5 | 2.5 | |
| T2.5 | J | 12.48 (0.75) | 12.08 (0.321) | 11.39 (0.242) | |
| MOR | PMOR | kN | 12.6 (1.572) | 14.97 (0.907) | 16.37 (1.419) |
| ffMOR | MPa | 5.19 (0.648) | 6.17 (0.374) | 6.74 (0.585) | |
| δMOR | mm | 2.73 (0.252) | 2.73 (0.321) | 2.8 (0.1) | |
| TMOR | J | 15.16 (1.885) | 15.15 (4.289) | 15.87 (1.231) | |
| L/80 | P5 | kN | 8.13 (1.15) | 10.33 (1.25) | 12.37 (1.002) |
| δ5 | mm | 5 | 5 | 5 | |
| T5 | J | 34.57 (1.414) | 40.6 (1.611) | 44.59 (1.031) | |
| L/40 | P10 | kN | 7.23 (1.429) | 10.37 (1.258) | 12.1 (0.361) |
| δ10 | mm | 10 | 10 | 10 | |
| T10 | J | 73.73 (5.708) | 92.25 (7.595) | 106.54 (4.296) | |
| L/20 | P20 | kN | 6.8 (0.854) | 9.57 (0.416) | 11 (1.082) |
| δ20 | mm | 20 | 20 | 20 | |
| T20 | J | 143.1 (15.074) | 190.27 (14.254) | 224.67 (8.699) | |
| Plain Concrete | 1% WFN Fiber-Reinforced Concrete | 2% WFN Fiber-Reinforced Concrete | 3% WFN Fiber-Reinforced Concrete | |
|---|---|---|---|---|
| α | 1.23 | 1.90 | 2.06 | 2.26 |
| λ | 0.21 | 0.59 | 0.66 | 0.72 |
Publisher’s Note: MDPI stays neutral with regard to jurisdictional claims in published maps and institutional affiliations. |
© 2021 by the authors. Licensee MDPI, Basel, Switzerland. This article is an open access article distributed under the terms and conditions of the Creative Commons Attribution (CC BY) license (https://creativecommons.org/licenses/by/4.0/).
Share and Cite
Nguyen, T.N.M.; Han, T.H.; Park, J.K.; Kim, J.J. Strength and Toughness of Waste Fishing Net Fiber-Reinforced Concrete. Materials 2021, 14, 7381. https://doi.org/10.3390/ma14237381
Nguyen TNM, Han TH, Park JK, Kim JJ. Strength and Toughness of Waste Fishing Net Fiber-Reinforced Concrete. Materials. 2021; 14(23):7381. https://doi.org/10.3390/ma14237381
Chicago/Turabian StyleNguyen, Tri N. M., Taek Hee Han, Jun Kil Park, and Jung J. Kim. 2021. "Strength and Toughness of Waste Fishing Net Fiber-Reinforced Concrete" Materials 14, no. 23: 7381. https://doi.org/10.3390/ma14237381
APA StyleNguyen, T. N. M., Han, T. H., Park, J. K., & Kim, J. J. (2021). Strength and Toughness of Waste Fishing Net Fiber-Reinforced Concrete. Materials, 14(23), 7381. https://doi.org/10.3390/ma14237381

