Experimental Investigation on Dynamic Tensile Behaviors of Engineered Cementitious Composites Reinforced with Steel Grid and Fibers
Abstract
:1. Introduction
2. Experimental Program
2.1. Raw Materials and Mixture Proportion
2.2. Specimen Preparation and Test Set-Up
3. Results and Discussion
3.1. Dynamic Tensile Test Results of the Steel Grid-PVA-ECC
3.1.1. Failure Patterns
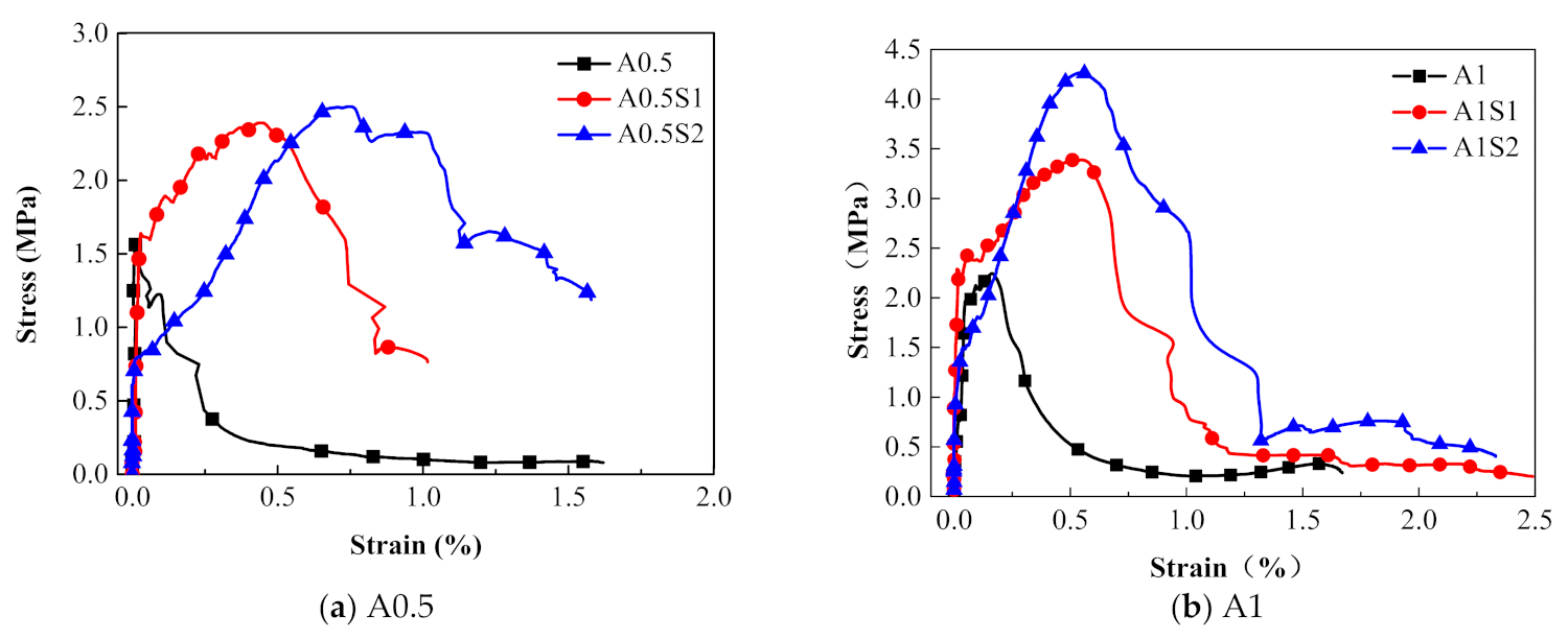
3.1.2. Effect of the Volume Contents of PVA Fiber
3.1.3. Effect of the Number of Steel Grid Layer
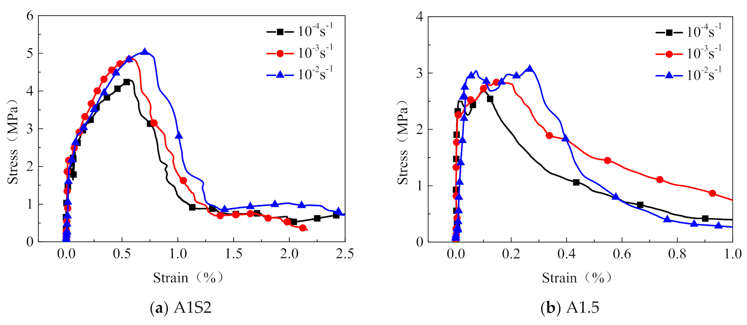
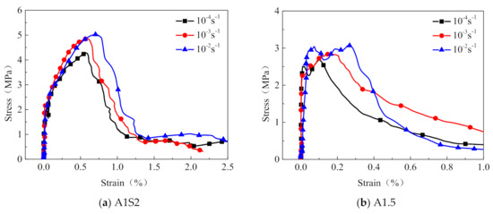
3.1.4. Effect of Tensile Strain Rate
3.2. Dynamic Tensile Test Results of the Steel Grid-KEVLAR-ECC
3.2.1. Failure Patterns
- (1)
- Some grease exists on the surface of the KEVLAR fiber. They can be cleaned out by alcohol. The KEVLAR fibers are agglomerated when mixing with alcohol.
- (2)
- When the specimen was fabricated, the fresh ECC mixtures were cast into steel molds. The steel grid needs to be embedded in the mold in advance. The space for the casting of the ECC mixture was limited. It was difficult for the ECC mixtures being cast into the bottom of steel mold. This leads to an inhomogeneous distribution of the KEVLAR fiber in the ECC matrix.
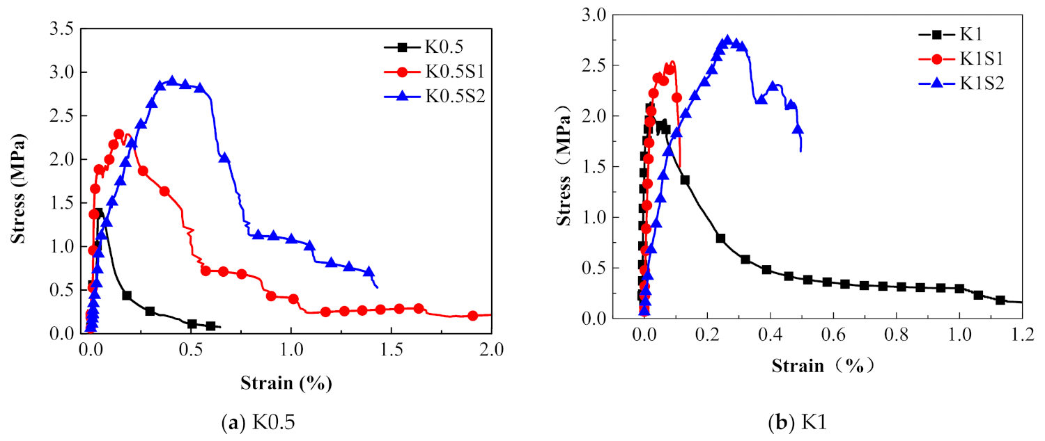
3.2.2. Effect of the Volume Contents of KEVLAR Fiber
3.2.3. Effect of the Number of Steel Grid Layer
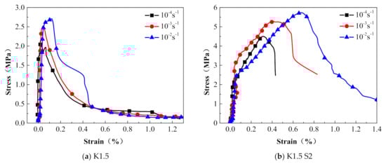
3.2.4. Effect of the Strain Rate
3.3. Comparison of Dynamic Tensile Behaviors of PVA and KEVLAR Fiber Reinforced ECC
4. Conclusions
- (1)
- Under dynamic tensile loads, the PVA-ECC reveals a ductile and multi-cracking failure behavior. The more obvious multi-cracking phenomenon can be observed with the increase of the PVA fiber volume fraction. The multi-cracking failure behavior is weakened for the steel grid-PVA-ECC. On the whole, the steel grid-KEVLAR-ECC displays a brittle failure behavior under the dynamic tensile loading. The multi-crack phenomenon cannot be obviously observed even for the specimens with a relatively high-volume fraction of KEVLAR fiber.
- (2)
- The addition of PVA fiber and KEVLAR fiber can improve the tensile peak stress of the ECC matrix. The PVA-ECC reveals more obvious strain hardening behavior under dynamic tensile loading with the increase of fiber volume content. There is an optimum fiber volume content for the fiber-reinforced ECC from the consideration of the energy dissipation capacity. The optimum fiber volume content is 1.5% for the PVA-ECC and the KEVLAR-ECC.
- (3)
- The addition of steel grid can improve the tensile strength and the energy dissipation performance of the ECC matrix. With the increase of the number of steel grid layers, the tensile peak stress and the energy absorption are enhanced for both the PVA-ECC and the KEVLAR-ECC.
- (4)
- The steel grid-PVA-ECC and the steel grid-KEVLAR-ECC each display the strain rate effect during dynamic tensile loadings. On the whole, the peak stress and the ultimate strain of the two types of ECC will be enhanced with the increase of the tensile strain rate.
- (5)
- For the same fiber volume content, the KEVLAR-ECC can supply a higher tensile strength than can the PVA-ECC. However, the PVA-ECC reveals more prominent deformation capacity and energy dissipation performance than the KEVLAR-ECC.
Author Contributions
Funding
Institutional Review Board Statement
Informed Consent Statement
Data Availability Statement
Conflicts of Interest
Appendix A




References
- Ahmed, I.; Rahman, M.H.; Seraj, S.M.; Hoque, A.M. Performance of plain concrete runway pavement. J. Perform. Constr. Facil. 1998, 12, 145–152. [Google Scholar] [CrossRef]
- Smith, K.D.; Roesler, J.R. Review of Fatigue Models for Concrete Airfield Pavement Design. In Proceedings of the Airfield Pavements Specialty Conference, Las Vegas, NV, USA, 21–24 September 2003; pp. 231–258. [Google Scholar] [CrossRef]
- Giussani, F.; Mola, F. Durable concrete pavements: The reconstruction of runway head 36r of milano linate international airport. Constr. Build. Mater. 2012, 34, 352–361. [Google Scholar] [CrossRef]
- Scheffler, C.; Zhandarov, S.; MaDer, E. Alkali resistant glass fiber reinforced concrete: Pull-out investigation of interphase behavior under quasi-static and high rate loading. Cem. Concr. Compos. 2017, 84, 19–27. [Google Scholar] [CrossRef]
- Liu, G.J.; Bai, E.L.; Xu, J.Y.; Yang, N.; Wang, T.J. Dynamic compressive mechanical properties of carbon fiber-reinforced polymer concrete with different polymer-cement ratios at high strain rates. Constr. Build. Mater. 2020, 261, 119995. [Google Scholar] [CrossRef]
- Cao, S.; Hou, X.; Rong, Q.; Zheng, W.; Abid, M.; Li, G. Effect of specimen size on dynamic compressive properties of ber-reinforced reactive powder concrete at high strain rates. Constr. Build. Mater. 2018, 194, 71–82. [Google Scholar] [CrossRef]
- Hou, X.; Cao, S.; Zheng, W.; Rong, Q.; Li, G. Experimental study on dynamic compressive properties of fiber-reinforced reactive powder concrete at high strain rates. Eng. Struct. 2018, 169, 119–130. [Google Scholar] [CrossRef]
- Li, N.; Jin, Z.; Long, G.; Chen, L.; Fu, Q. Impact resistance of steel fiber-reinforced self-compacting concrete (SCC) at high strain rates. J. Build. Eng. 2021, 38, 102212. [Google Scholar] [CrossRef]
- Pajak, M.; Janiszewski, J.; Kruszka, L. Laboratory investigation on the influence of high compressive strain rates on the hybrid fibre reinforced self-compacting concrete. Constr. Build. Mater. 2019, 227, 116687.1–116687.15. [Google Scholar] [CrossRef]
- Ngo, T.T.; Park, J.K.; Kim, D.J. Loading rate effect on crack velocity in ultra-high-performance fiber-reinforced concrete. Constr. Build. Mater. 2019, 197, 548–558. [Google Scholar] [CrossRef]
- Wang, S.; Zhang, M.H.; Quek, S.T. Mechanical behavior of fiber-reinforced high-strength concrete subjected to high strain-rate compressive loading-sciencedirect. Constr. Build. Mater. 2012, 31, 1–11. [Google Scholar] [CrossRef]
- Tran, N.T.; Kim, D.J. Synergistic response of blending fibers in ultra-high-performance concrete under high rate tensile loads. Cem. Concr. Compos. 2017, 78, 132–145. [Google Scholar] [CrossRef]
- Lei, Y.; Lin, X.; Li, H.; Gravina, R.J. A new constitutive model for steel fibre reinforced concrete subjected to dynamic loads. Compos. Struct. 2019, 221, 110849. [Google Scholar] [CrossRef]
- Chen, M.; Zhong, H.; Wang, H.; Zhang, M. Behaviour of recycled tyre polymer fibre reinforced concrete under dynamic splitting tension. Cem. Concr. Compos. 2020, 114, 103764. [Google Scholar] [CrossRef]
- Xin, L.; Wei, S.; Chan, S. Characteristics of high-performance steel fiber-reinforced concrete subject to high velocity impact. Cem. Concr. Res. 2000, 30, 907–914. [Google Scholar] [CrossRef]
- Su, H.; Xu, J. Dynamic compressive behavior of ceramic fiber reinforced concrete under impact load. Constr. Build. Mater. 2013, 45, 306–313. [Google Scholar] [CrossRef]
- Fan, F.; Xu, J.; Bai, E.; He, Q. Experimental study on impact-mechanics properties of basalt fibre reinforced concrete. Adv. Mater. Res. 2011, 168–170, 1910–1914. [Google Scholar] [CrossRef]
- Drdlová, M.; Sviták, O.; Pracha, V. Slurry infiltrated fibre concrete with waste steel fibres from tires - the behaviour under static and dynamic load. Mater. Sci. Forum. 2017, 908, 76–82. [Google Scholar] [CrossRef]
- Wang, Z.L.; Liu, Y.S.; Shen, R.F. Stress–strain relationship of steel fiber-reinforced concrete under dynamic compression. Constr. Build. Mater. 2008, 22, 811–819. [Google Scholar] [CrossRef]
- Lepech, M.D.; Li, V.C. Sustainable pavement overlays using engineered cementitious composites. Int. J. Pave. Res. Technol. 2010, 3, 241–250. [Google Scholar] [CrossRef]
- Lepech, M.D.; Keoleian, G.; Li, V.C. Design of green engineered cementitious composites for pavement overlay applications. In Life-Cycle Civil Engineering; CRC Press: Boca Raton, FL, USA, 2011; pp. 837–842. [Google Scholar] [CrossRef] [Green Version]
- Wu, C. Impact fatigue behaviour of GFRP mesh reinforced engineered cementitious composites for runway pavement. Constr. Build. Mater. 2019, 230, 116898. [Google Scholar] [CrossRef]
- Qian, S.Z.; Li, V.C.; Zhang, H.; Keoleian, G.A. Life cycle analysis of pavement overlays made with engineered cementitious composites. Cem. Concr. Compos. 2013, 35, 78–88. [Google Scholar] [CrossRef]
- Ma, H.; Zhang, Z. Paving an engineered cementitious composite (ECC) overlay on concrete airfield pavement for reflective cracking resistance. Constr. Build. Mater. 2020, 252, 119048. [Google Scholar] [CrossRef]
- Yucel, H.E.; Jashami, H.; Sahmaran, M.; Guler, M.; Yaman, I.O. Thin ECC overlay systems for rehabilitation of rigid concrete pavements. Mag. Concr. Res. 2013, 65, 108–120. [Google Scholar] [CrossRef]
- Mechtcherine, V.; Millon, O.; Butler, M.; Thoma, K. Mechanical behaviour of strain hardening cement-based composites under impact loading. Cem. Concr. Compos. 2011, 33, 2930–2937. [Google Scholar] [CrossRef]
- Li, V.C. On Engineered Cementitious Composites (ECC). J. Adv. Concr. Technol. 2003, 1, 215–230. [Google Scholar] [CrossRef] [Green Version]
- Li, V.C. Tailoring ECC for special attributes: A review. Int. J. Concr. Struct. Mater. 2012, 6, 135–144. [Google Scholar] [CrossRef] [Green Version]
- Li, V.C.; Wang, S.; Wu, C. Tensile strain-hardening behavior of polyvinyl alcohol engineered cementitious composite (PVA-ECC). Mater. J. 2001, 98, 483–492. [Google Scholar] [CrossRef]
- Lin, J.; Song, Y.; Xie, Z.; Guo, Y.; Wei, X. Static and dynamic mechanical behavior of engineered cementitious composites with pp and PVA fibers. J. Build. Eng. 2019, 29, 101097. [Google Scholar] [CrossRef]
- Yu, K.; Yu, J.; Lu, Z. Mechanical Characteristics of Ultra High Performance Strain Hardening Cementitious Composites. In International Conference on Strain Hardening Cement-Based Composites; Springer: Dordrecht, The Netherlands, 2017; pp. 230–237. [Google Scholar] [CrossRef]
- Zhang, D.; Yu, J.; Wu, H.; Jaworska, B.; Li, V. Discontinuous micro-fibers as intrinsic reinforcement for ductile engineered cementitious composites (ECC). Compos. Part B Eng. 2020, 184, 107741. [Google Scholar] [CrossRef]
- Mechtcherine, V.; Michel, A.; Liebscher, M.; Schneider, K.; Großmann, C. Mineral impregnated carbon fiber composites as novel reinforcement for concrete construction: Material and automation perspectives. Autom. Constr. 2020, 110, 103002. [Google Scholar] [CrossRef]
- Vantadori, S.; Carpinteri, A.; Głowacka, K.; Greco, F.; Osiecki, T.; Ronchei, C.; Zanichelli, A. Fracture toughness characterisation of a glass fibre-reinforced plastic composite. Fatigue Fract. Eng. Mater. Struct. 2020, 44, 3–13. [Google Scholar] [CrossRef]
- Khandelwal, S.; Rhee, K.Y. Recent advances in basalt-fiber-reinforced composites: Tailoring the fiber-matrix interface. Compos. Part B Eng. 2020, 192, 108011. [Google Scholar] [CrossRef]
- Rostami, R.; Zarrebini, M.; Sanginabadi, K.; Mostofinejad, D.; Abtahi, S.M.; Hossein, F.H. An investigation into influence of physical and chemical surface modification of macro-polypropylene fibers on properties of cementitious composites. Constr. Build. Mater. 2020, 244, 118340. [Google Scholar] [CrossRef]
- Wei, H.; Liu, T.; Zhou, A.; Zou, D.; Liu, Y. Multiscale insights on enhancing tensile properties of ultra-high performance cementitious composite with hybrid steel and polymeric fibers. J. Mater. Res. Technol. 2021, 14, 743–753. [Google Scholar] [CrossRef]
- Wang, Y.; Liu, F.; Yu, J.; Dong, F.; Ye, J. Effect of polyethylene fiber content on physical and mechanical properties of engineered cementitious composites. Constr. Build. Mater. 2020, 251, 118917. [Google Scholar] [CrossRef]
- Özkan, S.; Demir, F. The hybrid effects of PVA fiber and basalt fiber on mechanical performance of cost effective hybrid cementitious composites. Constr. Build. Mater. 2020, 263, 120564. [Google Scholar] [CrossRef]
- Adesina, A. Performance of cementitious composites reinforced with chopped basalt fibres—An overview. Constr. Build. Mater. 2021, 266, 120970. [Google Scholar] [CrossRef]
- Yu, K.; Ding, Y.; Liu, J.; Bai, Y. Energy dissipation characteristics of all-grade polyethylene fiber-reinforced engineered cementitious composites (PE-ECC). Cem. Concr. Compos. 2020, 106, 103459. [Google Scholar] [CrossRef]
- Yoo, D.; Taekgeun, O.; Kang, M.; Kim, M.; Choi, H. Enhanced tensile ductility and sustainability of high-strength strain-hardening cementitious composites using waste cement kiln dust and oxidized polyethylene fibers. Cem. Concr. Compos. 2021, 120, 104030. [Google Scholar] [CrossRef]
- Liu, T.; Yang, Y.; Chen, Z.; Li, Y.; Bai, R. Optimization of fiber volume fraction to enhance reinforcing efficiency in hybrid fiber reinforced strain hardening cementitious composite. Cem. Concr. Compos. 2020, 113, 103704. [Google Scholar] [CrossRef]
- Huang, B.; Weng, K.; Zhu, J.; Xiang, Y.; Dai, J.; Li, V.C. Engineered/strain-hardening cementitious composites (ECC/SHCC) with an ultra-high compressive strength over 210 MPa. Comp. Commun. 2021, 26, 100775. [Google Scholar] [CrossRef]
- Yu, K.; Li, L.; Yu, J.; Wang, Y.; Ye, J.; Xu, Q. Direct tensile properties of engineered cementitious composites: A review. Constr. Build. Mater. 2018, 165, 346–362. [Google Scholar] [CrossRef]
- Mechtcherine, V.; Silva, F.; Butler, M.; Mobasher, B.; Mader, E.; Zhu, D.; Gao, S. Behaviour of strain-hardening cement-based composites under high strain rates. J. Adv. Concr. Technol. 2011, 9, 51–62. [Google Scholar] [CrossRef] [Green Version]
- Ahmed, A.; Rahman, M.Z.; Ou, Y.; Liu, S.; Mobasher, B.; Guo, S.; Zhu, D. A review on the tensile behavior of fiber-reinforced polymer composites under varying strain rates and temperatures. Constr. Build. Mater. 2021, 294, 123565. [Google Scholar] [CrossRef]
- Tran, T.K.; Kim, D.J. Investigating Direct Tensile Behavior of High Performance Fiber Reinforced Cementitious Composites at High Strain Rates. Cem. Concr. Res. 2013, 50, 62–73. [Google Scholar] [CrossRef]
- Drdlová, M.; Cechmánek, R. Comparison of tensile behaviour of polypropylene, aramid and carbon fibre reinforced cementitious composite at high strain rate loading. Procedia Struct. Integr. 2018, 13, 1731–1738. [Google Scholar] [CrossRef]
- Kim, H.; Kim, G.; Lee, S.; Son, M.; Choe, G.; Nam, J. Strain rate effects on the compressive and tensile behavior of bundle-type polyamide fiber-reinforced cementitious composites. Compos. B 2019, 160, 50–65. [Google Scholar] [CrossRef]
- Daskiran, M.M.; Daskiran, E.G.; Gencoglu, M. Mechanical and durability performance of textile reinforced cementitious composite panels. Constr. Build. Mater. 2020, 264, 120224. [Google Scholar] [CrossRef]
- Ferrara, G.; Pepe, M.; Martinelli, E.; Filho, R. Tensile behavior of flax textile reinforced lime-mortar: Influence of reinforcement amount and textile impregnation. Cem. Concr. Compos. 2021, 119, 103984. [Google Scholar] [CrossRef]
- Dnmez, D.; Dnmez, A.A.; Genolu, M. Mechanical response of textile reinforced cementitious composite tubes under monotonic and cyclic loadings. Constr. Build. Mater. 2020, 251, 118963. [Google Scholar] [CrossRef]
- Saidi, M.; Gabor, A. Experimental analysis and analytical modelling of the textile/matrix interface shear stress in textile reinforced cementitious matrix composites. Compos. Part A Appl. Sci. Manuf. 2020, 135, 105961. [Google Scholar] [CrossRef]
- Truong, V.D.; Dong, J.K. A review paper on direct tensile behavior and test methods of textile reinforced cementitious composites. Comp. Struct. 2021, 263, 113661. [Google Scholar] [CrossRef]
- Saidi, M.; Gabor, A. Experimental analysis of the tensile behaviour of textile reinforced cementitious matrix composites using distributed fibre optic sensing (DFOS) technology. Constr. Build. Mater. 2020, 230, 117027.1–117027.15. [Google Scholar] [CrossRef]
- Abdesssemed, M.; Kenai, S.; Bali, A. Experimental and numerical analysis of the behavior of an airport pavement reinforced by geogrids. Constr. Build. Mater. 2015, 94, 547–554. [Google Scholar] [CrossRef]
- John, S.K.; Nadir, Y.; Girija, K.; Giriprasad, S. Tensile behaviour of glass fibre textile reinforced mortar with fine aggregate partially replaced by fly ash. Mater. Today Proc. 2020, 27, 144–149. [Google Scholar] [CrossRef]
- Al-Gemeel, A.N.; Zhuge, Y.; Youssf, O. Experimental Investigation of Basalt Textile Reinforced Engineered Cementitious Composite under Apparent Hoop Tensile Loading. J. Build. Eng. 2019, 23, 270–279. [Google Scholar] [CrossRef]
- Li, B.; Xiong, H.; Jiang, J.; Dou, X. Tensile Behavior of Basalt Textile Grid Reinforced Engineering Cementitious Composite. Compos. Part B Eng. 2019, 156, 185–200. [Google Scholar] [CrossRef]
- Shamseldein, A.; ELgabbas, F.; Elshafie, H. Tensile behavior of basalt textile-reinforced mortar (BTRM). Ain Shams Eng. J. 2021. [Google Scholar] [CrossRef]
- Dong, Z.; Deng, M.; Zhang, C.; Zhang, Y.; Sun, H. Tensile behavior of glass textile reinforced mortar (TRM) added with short PVA fibers-sciencedirect. Constr. Build. Mater. 2020, 260, 119897. [Google Scholar] [CrossRef]
- Deng, M.; Dong, Z.; Zhang, C. Experimental investigation on tensile behavior of carbon textile reinforced mortar (TRM) added with short polyvinyl alcohol (PVA) fibers. Constr. Build. Mater. 2019, 235, 117801. [Google Scholar] [CrossRef]
- Halvaei, M.; Jamshidi, M.; Latifi, M.; Ejtemaei, M. Experimental investigation and modelling of flexural properties of carbon textile reinforced concrete. Constr. Build. Mater. 2020, 262, 120877. [Google Scholar] [CrossRef]
- Zhu, Z.; Wang, W.; Harries, K.; Zheng, Y. Uniaxial Tensile Stress-Strain Behavior of Carbon-Fiber Grid-Reinforced Engineered Cementitious Composites. J. Comp. Constr. 2018, 22, 163–176. [Google Scholar] [CrossRef]
- Kalaimathi, R.P.T.; Balaji, S. A review paper on mechanical properties of flexural and impact test on textile reinforced engineered cementitious composites. Mater. Today Proc. 2021, 9, 443. [Google Scholar] [CrossRef]
- Daskiran, E.G.; Daskiran, M.M.; Gencoglu, M. Experimental investigation on impact strength of AR Glass, Basalt and PVA textile reinforced cementitious composites. Eur. J. Environ. Civ. Eng. 2020, 1–20. [Google Scholar] [CrossRef]
- Li, L.; Liu, W.; Wu, J.; Wu, W.; Wu, M. Experimental investigation on the quasi-static tensile capacity of engineered cementitious composites reinforced with steel grid and fibers. Materials 2019, 12, 2666. [Google Scholar] [CrossRef] [PubMed] [Green Version]
- Rao, P.; Singh, Y.; Das, S. Tensile properties of wire and fibre reinforced cementitious matrix composites for strengthening of masonry. Structures 2020, 23, 164–179. [Google Scholar] [CrossRef]


























| Specific Surface Area (m2/kg) | Initial Concreting Time (min) | Ultimate Concreting Time (min) | Compression Strength (3 days) (MPa) | Bending Strength (3 days) (MPa) |
|---|---|---|---|---|
| 381 | 181 | 243 | 23.5 | 5.3 |
| Composition | SO3 | MgO | Chloride ion | Loss on Ignition | Slag | Plaster |
|---|---|---|---|---|---|---|
| Content (%) | 2.37 | 4.20 | 0.019 | 3.2 | 12 | 4 |
| Diameter (μm) | Standard Length (mm) | Tensile Strength (MPa) | Elongation Ratio (%) | Young’s Modulus(GPa) | Density (g/cm3) |
|---|---|---|---|---|---|
| 40 | 12 | 1560 | 6.5 | 41 | 1.3 |
| Breaking Strength (MPa) | Tensile Modulus (GPa) | Elongation Ratio (%) | Decomposing Temperature (°C) | Density (g/cm3) |
|---|---|---|---|---|
| 2920 | 70.5 | 3.6 | 427–482 | 1.44 |
| Cement | Silica Fume | Water | Superplasticizer |
|---|---|---|---|
| 1 | 0.11 | 0.3 | 0.013 |
| Denotation | Volume Contents of Fiber | Layer Number of Steel Grid |
|---|---|---|
| M | 0 | 0 |
| MS1 | 0 | 1 |
| MS2 | 0 | 2 |
| A0.5 | 0.5% | 0 |
| A0.5S1 | 0.5% | 1 |
| A0.5S2 | 0.5% | 2 |
| A1 | 1.0% | 0 |
| A1S1 | 1.0% | 1 |
| A1S2 | 1.0% | 2 |
| A1.5 | 1.5% | 0 |
| A1.5S1 | 1.5% | 1 |
| A1.5S2 | 1.5% | 2 |
| A2 | 2.0% | 0 |
| A2S1 | 2.0% | 1 |
| A2S2 | 2.0% | 2 |
| Denotation | Volume Contents of Fiber | Layer Number of Steel Grid |
|---|---|---|
| K0.5 | 0.5% | 0 |
| K0.5S1 | 0.5% | 1 |
| K0.5S2 | 0.5% | 2 |
| K1 | 1.0% | 0 |
| K1S1 | 1.0% | 1 |
| K1S2 | 1.0% | 2 |
| K1.5 | 1.5% | 0 |
| K1.5S1 | 1.5% | 1 |
| K1.5S2 | 1.5% | 2 |
| K2 | 2.0% | 0 |
| K2S1 | 2.0% | 1 |
| K2S2 | 2.0% | 2 |
| Specimen Type | Strain Rate (s−1) | Cracking Stress (MPa) | Peak Stress (MPa) | Ultimate Strain (%) | Energy Absorption (J/m2) |
|---|---|---|---|---|---|
| M | 10−4 | 0.83 | 0.83 | 0.01 | 2.4 × 103 |
| 10−3 | 0.68 | 0.68 | 0.01 | 1.1 × 103 | |
| 10−2 | 0.92 | 0.92 | 0.02 | 1.8 × 103 | |
| MS1 | 10−4 | 1.05 | 1.37 | 1.4 | 1.1 × 105 |
| 10−3 | 1.03 | 1.32 | 0.73 | 4.6 × 105 | |
| 10−2 | 0.75 | 1.35 | 1.23 | 7.5 × 105 | |
| MS2 | 10−4 | 0.65 | 2.42 | 0.72 | 5.0 × 105 |
| 10−3 | 0.77 | 2.41 | 0.85 | 3.7 × 105 | |
| 10−2 | 0.79 | 2.71 | 1.53 | 9.6 × 105 | |
| A0.5 | 10−4 | 1.53 | 1.53 | 0.05 | 9.1 × 104 |
| 10−3 | 1.59 | 1.59 | 0.08 | 9.5 × 104 | |
| 10−2 | 1.52 | 1.52 | 0.05 | 9.0 × 104 | |
| A0.5S1 | 10−4 | 1.57 | 2.08 | 0.35 | 1.6 × 105 |
| 10−3 | 1.63 | 2.37 | 0.48 | 4.9 × 105 | |
| 10−2 | 2.01 | 2.46 | 0.38 | 4.4 × 105 | |
| A0.5S2 | 10−4 | 3.57 | 3.57 | 0.65 | 4.7 × 105 |
| 10−3 | 3.25 | 3.27 | 0.67 | 5.8 × 105 | |
| 10−2 | 3.47 | 3.47 | 0.74 | 5.2 × 105 | |
| A1 | 10−4 | 1.80 | 2.07 | 0.3 | 1.8 × 105 |
| 10−3 | 2.22 | 2.40 | 0.24 | 1.8 × 105 | |
| 10−2 | 2.55 | 2.59 | 0.17 | 3.8 × 105 | |
| A1S1 | 10−4 | 2.35 | 3.12 | 0.91 | 4.9 × 105 |
| 10−3 | 3.06 | 3.11 | 0.82 | 5.5 × 105 | |
| 10−2 | 2.52 | 2.90 | 0.69 | 2.8 × 105 | |
| A1S2 | 10−4 | 1.7 | 3.99 | 0.72 | 8.0 × 105 |
| 10−3 | 4.2 | 4.21 | 0.69 | 1.0 × 106 | |
| 10−2 | 4.37 | 4.37 | 0.82 | 1.4 × 106 | |
| A1.5 | 10−4 | 2.48 | 2.57 | 0.3 | 7.7 × 105 |
| 10−3 | 2.74 | 2.83 | 0.4 | 7.8 × 105 | |
| 10−2 | 2.91 | 3.04 | 0.32 | 6.6 × 105 | |
| A1.5S1 | 10−4 | 3.96 | 3.96 | 1 | 1.2 × 105 |
| 10−3 | 3.76 | 3.76 | 0.53 | 6.1 × 105 | |
| 10−2 | 4.52 | 4.52 | 0.78 | 1.6 × 105 | |
| A1.5S2 | 10−4 | 4.28 | 4.41 | 0.54 | 4.5 × 105 |
| 10−3 | 4.90 | 4.90 | 0.72 | 8.7 × 105 | |
| 10−2 | 4.99 | 4.99 | 0.90 | 9.4 × 105 | |
| A2 | 10−4 | 2.80 | 2.80 | 0.44 | 8.0 × 105 |
| 10−3 | 2.95 | 2.95 | 0.10 | 2.2 × 105 | |
| 10−2 | 3.14 | 3.14 | 0.11 | 1.8 × 105 | |
| A2S1 | 10−4 | 4.35 | 4.35 | 0.8 | 5.2 × 105 |
| 10−3 | 3.78 | 3.78 | 0.44 | 8.6 × 105 | |
| 10−2 | 4.29 | 4.29 | 0.47 | 7.8 × 105 | |
| A2S2 | 10−4 | 4.96 | 4.96 | 0.82 | 9.5 × 105 |
| 10−3 | 5.23 | 5.53 | 0.61 | 1.4 × 106 | |
| 10−2 | 5.53 | 5.53 | 0.75 | 1.6 × 106 |
| Number | Strain Rate (s−1) | Cracking Stress (MPa) | Peak Stress (MPa) | Ultimate Strain (%) | Energy Absorption (J/m2) |
|---|---|---|---|---|---|
| M | 10−4 | 0.83 | 0.83 | 0.01 | 2.4 × 103 |
| 10−3 | 0.68 | 0.68 | 0.01 | 1.1 × 103 | |
| 10−2 | 0.92 | 0.92 | 0.02 | 1.0 × 103 | |
| MS1 | 10−4 | 1.05 | 1.37 | 1.4 | 1.1 × 105 |
| 10−3 | 1.03 | 1.32 | 0.73 | 4.6 × 105 | |
| 10−2 | 0.75 | 1.35 | 1.23 | 7.5 × 105 | |
| MS2 | 10−4 | 0.65 | 2.42 | 0.72 | 5.0 × 105 |
| 10−3 | 0.77 | 2.41 | 0.85 | 3.7 × 105 | |
| 10−2 | 0.79 | 2.71 | 1.53 | 9.6 × 105 | |
| K0.5 | 10−4 | 1.43 | 1.43 | 0.08 | 8.2 × 104 |
| 10−3 | 1.69 | 1.69 | 0.02 | 9.1 × 104 | |
| 10−2 | 1.55 | 1.55 | 0.1 | 1.2 × 105 | |
| K0.5S1 | 10−4 | 1.98 | 2.31 | 0.32 | 3.3 × 105 |
| 10−3 | 2.37 | 2.37 | 0.07 | 1.8 × 105 | |
| 10−2 | 2.06 | 2.06 | 0.23 | 4.7 × 105 | |
| K0.5S2 | 10−4 | 2.45 | 2.80 | 0.55 | 5.7 × 105 |
| 10−3 | 3.19 | 3.19 | 0.65 | 1.0 × 106 | |
| 10−2 | 3.37 | 3.37 | 0.60 | 1.1 × 106 | |
| K1 | 10−4 | 2.05 | 2.05 | 0.05 | 5.7 × 104 |
| 10−3 | 2.56 | 2.56 | 0.14 | 1.4 × 105 | |
| 10−2 | 2.50 | 2.50 | 0.12 | 6.3 × 104 | |
| K1S1 | 10−4 | 2.22 | 2.44 | 0.17 | 2.2 × 105 |
| 10−3 | 2.91 | 2.91 | 0.35 | 5.4 × 105 | |
| 10−2 | 3.32 | 3.32 | 0.34 | 3.4 × 105 | |
| K1S2 | 10−4 | 3.12 | 3.12 | 0.45 | 1.4 × 106 |
| 10−3 | 4.33 | 4.33 | 0.64 | 1.5 × 106 | |
| 10−2 | 4.28 | 4.28 | 0.76 | 1.1 × 106 | |
| K1.5 | 10−4 | 2.45 | 2.45 | 0.13 | 2.4 × 105 |
| 10−3 | 2.92 | 2.92 | 0.10 | 1.7 × 105 | |
| 10−2 | 2.91 | 2.91 | 0.09 | 1.9 × 105 | |
| K1.5S1 | 10−4 | 3.26 | 3.26 | 1.24 | 1.9 × 106 |
| 10−3 | 3.65 | 3.65 | 0.25 | 5.7 × 105 | |
| 10−2 | 4.38 | 4.38 | 1.06 | 1.8 × 106 | |
| K1.5S2 | 10−4 | 4.93 | 4.93 | 0.64 | 8.7 × 105 |
| 10−3 | 5.09 | 5.09 | 0.77 | 9.4 × 105 | |
| 10−2 | 6.30 | 6.30 | 0.91 | 9.0 × 105 | |
| K2 | 10−4 | 3.02 | 3.02 | 0.10 | 1.0 × 105 |
| 10−3 | 3.38 | 3.38 | 0.13 | 1.6 × 105 | |
| 10−2 | 2.82 | 2.82 | 0.12 | 8.9 × 104 | |
| K2S1 | 10−4 | 3.64 | 3.64 | 0.21 | 2.3 × 105 |
| 10−3 | 3.93 | 3.93 | 0.44 | 7.7 × 105 | |
| 10−2 | 4.65 | 4.65 | 0.77 | 1.2 × 106 | |
| K2S2 | 10−4 | 4.15 | 4.15 | 0.41 | 6.7 × 105 |
| 10−3 | 5.06 | 5.06 | 0.55 | 1.4 × 106 | |
| 10−2 | 5.11 | 5.11 | 0.21 | 5.3 × 105 |
Publisher’s Note: MDPI stays neutral with regard to jurisdictional claims in published maps and institutional affiliations. |
© 2021 by the authors. Licensee MDPI, Basel, Switzerland. This article is an open access article distributed under the terms and conditions of the Creative Commons Attribution (CC BY) license (https://creativecommons.org/licenses/by/4.0/).
Share and Cite
Li, L.; Wang, H.; Wu, J.; Li, S.; Wu, W. Experimental Investigation on Dynamic Tensile Behaviors of Engineered Cementitious Composites Reinforced with Steel Grid and Fibers. Materials 2021, 14, 7042. https://doi.org/10.3390/ma14227042
Li L, Wang H, Wu J, Li S, Wu W. Experimental Investigation on Dynamic Tensile Behaviors of Engineered Cementitious Composites Reinforced with Steel Grid and Fibers. Materials. 2021; 14(22):7042. https://doi.org/10.3390/ma14227042
Chicago/Turabian StyleLi, Liang, Hongwei Wang, Jun Wu, Shutao Li, and Wenjie Wu. 2021. "Experimental Investigation on Dynamic Tensile Behaviors of Engineered Cementitious Composites Reinforced with Steel Grid and Fibers" Materials 14, no. 22: 7042. https://doi.org/10.3390/ma14227042
APA StyleLi, L., Wang, H., Wu, J., Li, S., & Wu, W. (2021). Experimental Investigation on Dynamic Tensile Behaviors of Engineered Cementitious Composites Reinforced with Steel Grid and Fibers. Materials, 14(22), 7042. https://doi.org/10.3390/ma14227042
