Effects of Non-Stoichiometry on the Ground State of the Frustrated System Li0.8Ni0.6Sb0.4O2
Abstract
1. Introduction
2. Experimental
3. Results
3.1. Chemisrty and Phase Relations
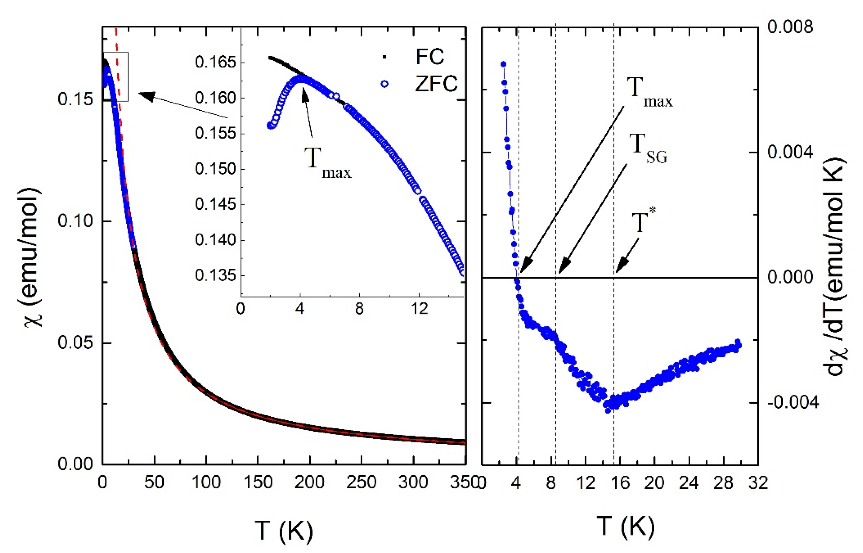
3.2. Magnetic Properties
3.3. Specific Heat Study
3.4. Nuclear Magnetic Resonance
3.4.1. 7Li NMR Spectra
3.4.2. 7Li Nuclear Relaxation Rates T1−1 and T2−1
4. Discussion
5. Conclusions
Supplementary Materials
Author Contributions
Funding
Institutional Review Board Statement
Informed Consent Statement
Data Availability Statement
Conflicts of Interest
References
- Novoselov, K.S.; Geim, A.K.; Morozov, S.V.; Jiang, D.E.; Zhang, Y.; Dubonos, S.V.; Grigorieva, I.V.; Firsov, A.A. Electric field effect in atomically thin carbon films. Science 2004, 306, 666–669. [Google Scholar] [CrossRef] [PubMed]
- Geim, A.K.; Novoselov, K.S. The rise of graphene. Nat. Mater. 2007, 6, 183–191. [Google Scholar] [CrossRef]
- Cao, G.; De-Long, L. Frontiers of 4d- and 5d-Transition Metal Oxides; World Scientific: Singapore, 2013. [Google Scholar] [CrossRef]
- Witczak-Krempa, W.; Chen, G.; Kim, Y.B.; Balents, L. Correlated quantum phenomena in the strong spin-orbit regime. Annu. Rev. Condens. Matter Phys. 2014, 5, 57–82. [Google Scholar] [CrossRef]
- Kitaev, A. Anyons in an exactly solved model and beyond. Ann. Phys. 2006, 321, 2–111. [Google Scholar] [CrossRef]
- Liu, H.; Chaloupka, J.; Khaliullin, G. Kitaev spin liquid in 3d transition metal compounds. Phys. Rev. Lett. 2020, 125, 047201. [Google Scholar] [CrossRef]
- Berezinskii, V. Destruction of long-range order in one-dimensional and two-dimensional systems having a continuous symmetry group i. classical systems. J. Exp. Theor. Phys. 1971, 32, 493–500. [Google Scholar]
- Kosterlitz, J.M.; Thouless, D.J. Ordering, metastability and phase transitions in two-dimensional systems. J. Phys. C Solid State Phys. 1973, 6, 1181–1203. [Google Scholar] [CrossRef]
- Iakovleva, M.; Janson, O.; Grafe, H.J.; Dioguardi, A.P.; Maeter, H.; Yeche, N.; Klauss, H.H.; Pascua, G.; Luetkens, H.; Möller, A.; et al. Ground state and low-temperature magnetism of the quasi-two-dimensional honeycomb compound InCu2/3V1/3O3. Phys. Rev. B 2019, 100, 144442. [Google Scholar] [CrossRef]
- Li, P.H.; Bishop, R.F.; Farnell, D.J.; Campbell, C.E. Phase diagram of a frustrated Heisenberg antiferromagnet on the honeycomb lattice: The J1-J2-J3 model. Phys. Rev. B 2012, 86, 144404. [Google Scholar] [CrossRef]
- Bramwell, S.T.; Holdsworth, P.C. Magnetization and universal subcritical behaviour in two-dimensional XY magnets. J. Phys. Condens. Matter 1993, 5, L53–L59. [Google Scholar] [CrossRef]
- Villain, J.; Bidaux, R.; Carton, J.P.; Conte, R. Order as an effect of disorder. J. Phys. Fr. 1980, 41, 1263–1272. [Google Scholar] [CrossRef]
- Mydosh, J. Spin Glasses: An Experimental Introduction, 1st ed.; CRC Press: London, UK, 1993. [Google Scholar] [CrossRef]
- Hoines, L.; Stubi, R.; Loloee, R.; Cowen, J.A.; Bass, J. How thin a spin glass is still a spin glass? Phys. Rev. Lett. 1991, 66, 1224–1227. [Google Scholar] [CrossRef] [PubMed]
- Wen, J.; Yu, S.L.; Li, S.; Yu, W.; Li, J.X. Experimental identification of quantum spin liquids. npj Quantum Mater. 2019, 4, 12. [Google Scholar] [CrossRef]
- Zhong, R.; Chung, M.; Kong, T.; Nguyen, L.T.; Lei, S.; Cava, R.J. Field-induced spin-liquid-like state in a magnetic honeycomb lattice. Phys. Rev. B 2018, 98, 220407. [Google Scholar] [CrossRef]
- Takeya, H.; Ishida, K.; Kitagawa, K.; Ihara, Y.; Onuma, K.; Maeno, Y.; Nambu, Y.; Nakatsuji, S.; MacLaughlin, D.E.; Koda, A.; et al. Spin dynamics and spin freezing behavior in the two-dimensional antiferromagnet NiGa2S4 revealed by Ga-NMR, NQR and SR measurements. Phys. Rev. B 2008, 77, 054429. [Google Scholar] [CrossRef]
- Graham, J.N.; Coak, M.J.; Son, S.; Suard, E.; Park, J.G.; Clark, L.; Wildes, A.R. Local nuclear and magnetic order in the two-dimensional spin glass Mn0.5Fe0.5PS3. Phys. Rev. Mater. 2020, 4, 084401. [Google Scholar] [CrossRef]
- Bono, D.; Limot, L.; Mendels, P.; Collin, G.; Blanchard, N. Correlations, spin dynamics, defects: The highly frustrated kagome bilayer. Low Temp. Phys. 2005, 31, 704–721. [Google Scholar] [CrossRef][Green Version]
- Žukovič, A.B.; Borovskiy, M.; Szałowski, K. Spinglass-like ordering in a frustrated j1–j2 ising antiferromagnet on a honeycomb lattice. Acta Phys. Pol. A 2020, 137, 619–621. [Google Scholar] [CrossRef]
- Silverstein, H.J.; Fritsch, K.; Flicker, F.; Hallas, A.M.; Gardner, J.S.; Qiu, Y.; Ehlers, G.; Savici, A.T.; Yamani, Z.; Ross, K.A.; et al. Liquidlike correlations in single-crystalline Y2Mo2O7: An unconventional spin glass. Phys. Rev. B 2014, 89, 054433. [Google Scholar] [CrossRef]
- Pan, B.; Su, Y.; Ding, F.; Hu, M.; Lv, J. Lattice expansion and melting of spin glass state in the honeycomb antiferromagnet Bi3Mn4O12(NO3). J. Phys. Chem. C 2021, 125, 13641–13648. [Google Scholar] [CrossRef]
- Kundu, S.; Dey, T.; Mahajan, A.V.; Büttgen, N. LiZn2V3O8: A new geometrically frustrated cluster spin-glass. J. Phys. Condens. Matter 2019, 32, 115601. [Google Scholar] [CrossRef] [PubMed]
- Keren, A.; Mendels, P.; Horvatić, M.; Ferrer, F.; Uemura, Y.J.; Mekata, M.; Asano, T. 69;71Ga NMR in the kagome lattice compound SrCr9−xGa3+xO19. Phys. Rev. B 1998, 57, 10745–10749. [Google Scholar] [CrossRef]
- Dioguardi, A.P.; Crocker, J.; Shockley, A.C.; Lin, C.H.; Shirer, K.R.; Nisson, D.M.; Lawson, M.M.; Canfield, P.C.; Bud’ko, S.L.; Ran, S.; et al. Coexistence of cluster spin glass and superconductivity in Ba(Fe1−xCox)2As2 for 0.060 ≤ x ≤ 0.071. Phys. Rev. Lett. 2013, 111, 207201. [Google Scholar] [CrossRef]
- Zvereva, E.A.; Evstigneeva, M.A.; Nalbandyan, V.B.; Savelieva, O.A.; Ibragimov, S.A.; Volkova, O.S.; Medvedeva, L.I.; Vasiliev, A.N.; Klingeler, R.; Buechner, B. Monoclinic honeycomb-layered compound Li3Ni2SbO6: Preparation, crystal structure and magnetic properties. Dalton Trans. 2012, 41, 572–580. [Google Scholar] [CrossRef]
- Zvereva, E.A.; Stratan, M.I.; Ovchenkov, Y.A.; Nalbandyan, V.B.; Lin, J.Y.; Vavilova, E.L.; Iakovleva, M.F.; Abdel-Hafiez, M.; Silhanek, A.V.; Chen, X.J.; et al. Zigzag antiferromagnetic quantum ground state in monoclinic honeycomb lattice antimonates A3Ni2SbO6 (a = Li; Na). Phys. Rev. B 2015, 92, 144401. [Google Scholar] [CrossRef]
- Kurbakov, A.I.; Korshunov, A.N.; Podchezertsev, S.Y.; Malyshev, A.L.; Evstigneeva, M.A.; Damay, F.; Park, J.; Koo, C.; Klingeler, R.; Zvereva, E.A.; et al. Zigzag spin structure in layered honeycomb Li3Ni2SbO6: A combined diffraction and antiferromagnetic resonance study. Phys. Rev. B 2017, 96, 024417. [Google Scholar] [CrossRef]
- You, Y.; Kim, S.O.; Manthiram, A. A honeycomb-layered oxide cathode for sodium-ion batteries with suppressed P3–O1 phase transition. Adv. Energy Mater. 2017, 7, 1601698. [Google Scholar] [CrossRef]
- Twu, N.; Li, X.; Urban, A.; Balasubramanian, M.; Lee, J.; Liu, L.; Ceder, G. Designing new lithium-excess cathode materials from percolation theory: Nanohighways in LixNi(2−4x)/3Sbx/3O2. Nano Lett. 2015, 15, 596–602. [Google Scholar] [CrossRef]
- Xiao, L.; Ding, Z.; Huang, Q.; Chen, C.; Feng, Y.; Liang, C.; Gao, P.; Wei, W. Electronic-structure tuning of honeycomb layered oxide cathodes for superior performance. Acta Mater. 2020, 199, 34–41. [Google Scholar] [CrossRef]
- Salikhov, T.; Klysheva, E.; Zvereva, E.; Nalbandyan, V.; Shukaev, I.; Medvedev, B.; Vavilova, E. Lithium diffusion in a new cathode material Li0.8[Ni0.6Sb0.4]O2 studied by 7Li NMR. Magn. Reson. Solids 2016, 18, 16207. [Google Scholar]
- Vavilova, E.; Nishimoto, S.; Salikhov, T.; Vasilchikova, T.; Nalbandyan, V.; Vasiliev, A.; Zvereva, E. Spin dynamics in the alternating chain system Li3Cu2SbO6 with defects probed by nuclear magnetic resonance technique. Phys. Rev. B 2021, 103, 094415. [Google Scholar] [CrossRef]
- Powder Diffraction File; Entry 00-57-861; International Centre for Diffraction Data: Newtown Square, PA, USA, 2007.
- Koo, C.; Zvereva, E.A.; Shukaev, I.L.; Richter, M.; Stratan, M.I.; Vasiliev, A.N.; Nalbandyan, V.B.; Klingeler, R. Static and dynamic magnetic response of fragmented haldane-like spin chains in layered Li3Cu2SbO6. J. Phys. Soc. Jpn. 2016, 85, 084702. [Google Scholar] [CrossRef]
- Körner, S.; Weber, A.; Hemberger, J.; Scheidt, E.W.; Stewart, G.R. UCu4Pd: A disordered antiferromagnetic compound. J. Low Temp. Phys. 2000, 121, 105–113. [Google Scholar] [CrossRef]
- Luo, Q.; Shen, J. Reentrant spin glass ordering in an Fe-based bulk metallic glass. J. Appl. Phys. 2015, 117, 053909. [Google Scholar] [CrossRef]
- Mulder, C.A.; van Duyneveldt, A.J.; Mydosh, J.A. Susceptibility of the CuMn spin-glass: Frequency and field dependences. Phys. Rev. B 1981, 23, 1384–1396. [Google Scholar] [CrossRef]
- Vijayanandhini, K.; Simon, C.; Pralong, V.; Caignaert, V.; Raveau, B. Spin glass to cluster glass transition in geometrically frustrated CaBaFe4−xLixO7 ferrimagnets. Phys. Rev. B 2009, 79, 224407. [Google Scholar] [CrossRef]
- Li, D.X.; Nimori, S.; Yamamura, T.; Shiokawa, Y. AC susceptibility studies of the spin freezing behavior in U2CuSi3. J. Appl. Phys. 2008, 103, 07B715. [Google Scholar] [CrossRef]
- Mukherjee, S.; Ranganathan, R.; Anilkumar, P.S.; Joy, P.A. Static and dynamic response of cluster glass in La0.5Sr0.5CoO3. Phys. Rev. B 1996, 54, 9267–9274. [Google Scholar] [CrossRef]
- Gunnarsson, K.; Svedlindh, P.; Nordblad, P.; Lundgren, L.; Aruga, H.; Ito, A. Dynamics of an Ising spin-glass in the vicinity of the spin-glass temperature. Phys. Rev. Lett. 1988, 61, 754–757. [Google Scholar] [CrossRef] [PubMed]
- Chakrabarty, T.; Mahajan, A.V.; Kundu, S. Cluster spin glass behavior in geometrically frustrated Zn3V3O8. J. Phys. Condens. Matter 2014, 26. [Google Scholar] [CrossRef] [PubMed]
- Losee, D.B.; McElearney, J.N.; Shankle, G.E.; Carlin, R.L.; Cresswell, P.J.; Robinson, W.T. An anisotropic low-dimensional ising system, [(CH3)3NH]CoCl3 · 2H2O: Its structure and canted antiferromagnetic behaviour. Phys. Rev. B 1973, 8, 2185–2199. [Google Scholar] [CrossRef]
- Tari, A. The Specific Heat of Matter at Low Temperatures; Imperial College Press: London, UK, 2003. [Google Scholar]
- Greedan, J.E.; Raju, N.P.; Maignan, A.; Simon, C.; Pedersen, J.S.; Niraimathi, A.M.; Gmelin, E.; Subramanian, M.A. Frustrated pyrochlore oxides, Y2Mn2O7, Ho2Mn2O7, and Yb2Mn2O7: Bulk magnetism and magnetic microstructure. Phys. Rev. B 1996, 54, 7189–7200. [Google Scholar] [CrossRef]
- Binder, K.; Young, A.P. Spin glasses: Experimental facts, theoretical concepts, and open questions. Rev. Mod. Phys. 1986, 58, 801–976. [Google Scholar] [CrossRef]
- Brodale, G.; Fisher, R.; Fogle, W.; Phillips, N.; van Curen, J. The effect of spin-glass ordering on the specific heat of CuMn. J. Magn. Magn. Mater. 1983, 31–34, 1331–1333. [Google Scholar] [CrossRef]
- Slichter, C.P. Principles of Magnetic Resonance; Springer: Berlin/Heidelberg, Germany, 1990. [Google Scholar] [CrossRef]
- Onsager, L. Crystal statistics. I. A Two-Dimensional Model with an Order-Disorder Transition. Phys. Rev. 1944, 65, 117–149. [Google Scholar] [CrossRef]
- Pelissetto, A.; Vicari, E. Critical phenomena and renormalization-group theory. Phys. Rep. 2002, 368, 549–727. [Google Scholar] [CrossRef]
- Zvereva, E.A.; Raganyan, G.V.; Vasilchikova, T.M.; Nalbandyan, V.B.; Gafurov, D.A.; Vavilova, E.L.; Zakharov, K.V.; Koo, H.J.; Pomjakushin, V.Y.; Susloparova, A.E.; et al. Hidden magnetic order in the triangular-lattice magnet Li2MnTeO6. Phys. Rev. B 2020, 102, 094433. [Google Scholar] [CrossRef]
- Larson, A.C.; Von Dreele, R.B. General Structure Analysis System (GSAS); Los Alamos National Laboratory Report LAUR86-748; Los Alamos National Laboratory: Los Alamos, NM, USA, 2004. [Google Scholar]
- Toby, B.H. EXPGUI, a graphical user interface for GSAS. J. Appl. Cryst. 2001, 34, 210–213. [Google Scholar] [CrossRef]
- Shannon, R.D. Revised Effective Ionic Radii and Systematic Studies of Interatomic Distances in Halides and Chalcogenides. Acta Crystallogr. 1976, 32, 751–767. [Google Scholar] [CrossRef]












| Composition | Hexagonal Setting (R-3m) | Monoclinic Setting (C2/m) | ||||
|---|---|---|---|---|---|---|
| a, Å | c, Å | a, Å | b, Å | c, Å | β, ° | |
| Li3Ni2SbO6 “LiNi0.67Sb0.33O2” | Pseudocell | True supercell | ||||
| 2.9897 | 14.5575 | 5.1828 | 8.9678 | 5.1578 | 109.69 | |
| Li0.8Ni0.6Sb0.4O2 “Li2.4Ni1.8Sb1.2O6” | True cell | Supposed supercell | ||||
| 3.0027 | 14.6103 | 5.2008 | 9.0080 | 5.1695 | 109.59 | |
| Parameter | Critical Scaling | Vogel-Fulcher |
|---|---|---|
| τ0[s]s | (3.49 ± 0.61) × 10−11 | (1.92 ± 0.23) × 10−11 |
| EA/kB [K] | - | 36.3 ± 1.1 |
| TSG and T0 [K] | 8.9 | 7.9 |
| zν | 8.13 ± 0.33 | - |
Publisher’s Note: MDPI stays neutral with regard to jurisdictional claims in published maps and institutional affiliations. |
© 2021 by the authors. Licensee MDPI, Basel, Switzerland. This article is an open access article distributed under the terms and conditions of the Creative Commons Attribution (CC BY) license (https://creativecommons.org/licenses/by/4.0/).
Share and Cite
Vavilova, E.; Salikhov, T.; Iakovleva, M.; Vasilchikova, T.; Zvereva, E.; Shukaev, I.; Nalbandyan, V.; Vasiliev, A. Effects of Non-Stoichiometry on the Ground State of the Frustrated System Li0.8Ni0.6Sb0.4O2. Materials 2021, 14, 6785. https://doi.org/10.3390/ma14226785
Vavilova E, Salikhov T, Iakovleva M, Vasilchikova T, Zvereva E, Shukaev I, Nalbandyan V, Vasiliev A. Effects of Non-Stoichiometry on the Ground State of the Frustrated System Li0.8Ni0.6Sb0.4O2. Materials. 2021; 14(22):6785. https://doi.org/10.3390/ma14226785
Chicago/Turabian StyleVavilova, Evgeniya, Timur Salikhov, Margarita Iakovleva, Tatyana Vasilchikova, Elena Zvereva, Igor Shukaev, Vladimir Nalbandyan, and Alexander Vasiliev. 2021. "Effects of Non-Stoichiometry on the Ground State of the Frustrated System Li0.8Ni0.6Sb0.4O2" Materials 14, no. 22: 6785. https://doi.org/10.3390/ma14226785
APA StyleVavilova, E., Salikhov, T., Iakovleva, M., Vasilchikova, T., Zvereva, E., Shukaev, I., Nalbandyan, V., & Vasiliev, A. (2021). Effects of Non-Stoichiometry on the Ground State of the Frustrated System Li0.8Ni0.6Sb0.4O2. Materials, 14(22), 6785. https://doi.org/10.3390/ma14226785

