A Novel Mineral-like Copper Phosphate Chloride with a Disordered Guest Structure: Crystal Chemistry and Magnetic Properties
Abstract
:1. Introduction
2. Materials and Methods
2.1. Hydrothermal Synthesis and Crystallization
2.2. X-ray Experiment and Crystal Structure Determination
3. Results
3.1. Interatomic Distances and Crystal Structure Description
3.2. Crystal Chemistry
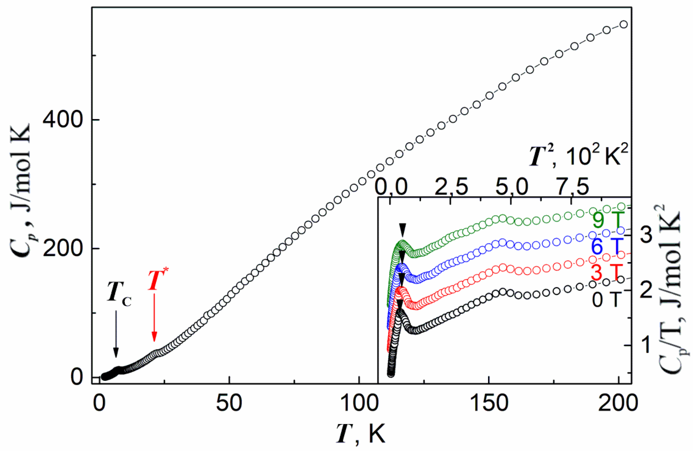
3.3. Physical Properties
4. Discussion
5. Conclusions
Supplementary Materials
Author Contributions
Funding
Data Availability Statement
Acknowledgments
Conflicts of Interest
References
- Baerlocher, C.; McCusker, L.B.; Olson, D.H. Atlas of Zeolite Framework Types, 6th ed.; Elsevier: Amsterdam, The Netherlands, 2007. [Google Scholar]
- Yu, J.; Xu, R. Rational approaches toward the design and synthesis of zeolitic inorganic open-framework materials. Acc. Chem. Res. 2010, 43, 1195–1204. [Google Scholar] [CrossRef] [PubMed]
- Baerlocher, C.; McCusker, L.B. Database of Zeolite Structures. Available online: http://www.iza-structure.org/databases/ (accessed on 15 December 2021).
- Cheetham, A.K.; Férey, G.; Loiseau, T. Open-framework inorganic materials. Angew. Chem. Int. Ed. 1999, 38, 3268–3292. [Google Scholar] [CrossRef]
- Maspoch, D.; Ruiz-Molina, D.; Veciana, J. Old materials with new tricks: Multifunctional open-framework materials. Chem. Soc. Rev. 2007, 36, 770–818. [Google Scholar] [CrossRef] [PubMed]
- Król, M. Natural vs. synthetic Zeolites. Crystals 2020, 10, 622. [Google Scholar] [CrossRef]
- Wang, S.S.; Yang, G.Y. Recent advances in polyoxometalate-catalyzed reactions. Chem. Rev. 2015, 115, 4893–4962. [Google Scholar] [CrossRef] [PubMed]
- Kondinski, A.; Monakhov, K.Y. Breaking the gordian knot in the structural chemistry of polyoxometalates: Copper (II)–oxo/hydroxo clusters. Chem. Eur. J. 2017, 23, 7841–7852. [Google Scholar] [CrossRef] [Green Version]
- Krivovichev, S.V. Polyoxometalate clusters in minerals: Review and complexity analysis. Acta Crystallogr. Sect. B Struct. Sci. Cryst. Eng. Mater. 2020, 76, 618–629. [Google Scholar] [CrossRef]
- Britvin, S.N.; Pekov, I.V.; Yapaskurt, V.O.; Koshlyakova, N.N.; Göttlicher, J.; Krivovichev, S.V.; Turchkova, A.G.; Sidorov, E.G. Polyoxometalate chemistry at volcanoes: Discovery of a novel class of polyoxocuprate nanoclusters in fumarolic minerals. Sci. Rep. 2020, 10, 6345. [Google Scholar] [CrossRef] [Green Version]
- Gupta, H.K. A Geothermal Resources: An Energy Alternative: Developments in Economic Geology; Elsevier: Amsterdam, The Netherlands, 1980; 220p. [Google Scholar]
- Meise, W.; Schwocho, F.E. Kinetic Studies on Formation of Zeolite-A. Adv. Chem. Ser. 1973, 121, 169–178. [Google Scholar]
- Nearchou, A.; Sartbaeva, A. Influence of alkali metal cations on the formation of zeolites under hydrothermal conditions with no organic structure directing agents. CrystEngComm 2015, 17, 2496. [Google Scholar] [CrossRef] [Green Version]
- Shvanskaya, L.; Yakubovich, O. A “missing” caesium member in the family of A3Al2P3O12 aluminophosphates. Zeitschfrift Für Krist. 2017, 232, 357–364. [Google Scholar]
- Shoemaker, G.L.; Anderson, J.B.; Kostiner, E. Copper (II) phosphate. Acta Crystallogr. 1977, B33, 2969–2972. [Google Scholar] [CrossRef]
- Agilent. CrysAlis PRO; Agilent Technologies Ltd.: Yarnton, UK, 2014. [Google Scholar]
- Farrugia, L.J. WinGX and ORTEP for Windows: An update. J. Appl. Crystallogr. 2012, 45, 849–854. [Google Scholar] [CrossRef]
- Sheldrick, G.M. SHELXT-Integrated Space-Group and Crystal-Structure Determination. Acta Crystallogr. Sect. A Found. Adv. 2015, 71, 3–8. [Google Scholar] [CrossRef] [Green Version]
- Sheldrick, G.M. Crystal structure refinement with SHELXL. Acta Crystallogr. Sect. C Struct. Chem. 2015, 71, 3–8. [Google Scholar] [CrossRef]
- Clark, R.C.; Reid, J.S. The analytical calculation of absorption in multifaceted crystals. Acta Crystallogr. Sect. A Found. Adv. 1995, 51, 887–897. [Google Scholar] [CrossRef]
- Yakubovich, O.V.; Steele, I.M.; Kiriukhina, G.V.; Dimitrova, O.V. A microporous potassium vanadyl phosphate analogue of mahnertite: Hydrothermal synthesis and crystal structure. Z. Kristallogr. 2015, 230, 337–344. [Google Scholar] [CrossRef]
- Makovicky, E. Modular Aspects of Minerals; Merlino, S., Ed.; EMU Notes in Mineralogy; Eötvös University Press: Budapest, Hungary, 1997; Volume 1, pp. 237–271. [Google Scholar]
- Ferraris, G.; Gula, A. Polysomatic aspects of microporous minerals–heterophyllosilicates, palysepioles and rhodesite-related structures. Rev. Miner. Geochem. 2005, 57, 69–104. [Google Scholar] [CrossRef]
- Giester, G.; Kolitsch, U.; Leverett, P.; Turner, P.; Williams, P.A. The crystal structures of lavendulan, sampleite, and a new polymorph of sampleite. Eur. J. Mineral. 2007, 19, 75–93. [Google Scholar] [CrossRef] [Green Version]
- Krivovichev, S.V.; Filatov, S.K.; Vergasova, L.P. The crystal structure of ilinskite, NaCu5O2(SeO3)2Cl3, and review of mixed-ligand CuOmCln coordination geometries in minerals and inorganic compounds. Miner Petrol. 2013, 107, 235–242. [Google Scholar] [CrossRef]
- Yakubovich, O.V.; Shvanskaya, L.V.; Kiriukhina, G.V.; Volkov, A.S.; Dimitrova, O.V.; Vasiliev, A.N. Hydrothermal Synthesis and a Composite Crystal Structure of Na6Cu7BiO4(PO4)4[Cl,(OH)]3 as a Candidate for Quantum Spin Liquid. Inorg. Chem. 2021, 60, 11450–11457. [Google Scholar] [CrossRef] [PubMed]
- Forsyth, J.B.; Wilkinson, C.; Paster, S.; Effenberger, H. The antiferromagnetic structure of triclinic copper (II) phosphate. J. Phys. Condens. Matter 1990, 2, 1609–1617. [Google Scholar] [CrossRef]
- Goodenough, J.B. Magnetism and Chemical Bond; Interscience Publishers: New York, NY, USA; London, UK, 1963; 393p. [Google Scholar]
- Guchhait, S.; Ding, Q.P.; Sahoo, M.; Giri, A.; Maji, S.; Furukawa, Y.; Nath, R. Quasi-one-dimensional uniform spin-1/2 Heisenberg antiferromagnet KNaCuP2O7 probed by 31P and 23Na NMR. Phys. Rev. B 2021, 103, 224415. [Google Scholar] [CrossRef]
- Nellutla, S.; van Tol, J.; Dalal, N.S.; Bi, L.H.; Kortz, U.; Keita, B.; Nadjo, L.; Khitrov, G.A.; Marshall, A.G. Magnetism, electron paramagnetic resonance, electrochemistry, and mass spectrometry of the pentacopper (II)-substituted tungstosilicate [Cu5(OH)4(H2O)2(A-α-SiW9O33)2]10-, a model five-spin frustrated cluster. Inorg. Chem. 2005, 44, 9795–9806. [Google Scholar] [CrossRef] [PubMed]
- Yue, X.; Ouyang, Z.; Cui, M.; Yin, L.; Xiao, G.; Wang, Z.; Liu, J.; Wang, J.; Xia, Z.; Huang, X.; et al. Syntheses, Structure, and 2/5 Magnetization Plateau of a 2D Layered Fluorophosphate Na3Cu5(PO4)4F·4H2O. Inorg. Chem. 2018, 57, 3151–3157. [Google Scholar] [CrossRef]








| Crystal Data | |
| Chemical formula | Na2Li0.75(Cs,K)0.5[Cu5(PO4)4Cl]·3.5(H2O,OH) |
| Mr | 900.37 |
| Crystal system, space group, Z | Monoclinic, C2/m, 4 |
| Temperature (K) | 150 |
| a, b, c (Å) | 19.3951 (8), 9.7627 (3), 9.7383 (4) |
| β (°) | 99.329 (4) |
| V (Å3) | 1819.54 (12) |
| Radiation type | Mo Kα (λ = 0.71073 Å) |
| µ (mm−1) | 7.16 |
| Crystal size (mm) | 0.13 × 0.07 × 0.03 |
| Data Collection | |
| Diffractometer | Xcalibur, AtlasS2, Gemini |
| Absorption correction | Analytical 1 |
| Tmin, Tmax | 0.997, 0.999 |
| No. of measured, independent and observed [I > 2σ(I)] reflections | 4570, 2219, 2066 |
| Rint | 0.023 |
| (sin θ/λ)max (Å−1) | 0.650 |
| Refinement | |
| R[F2 > 2σ(F2)], wR(F2), S | 0.049, 0.103, 1.33 |
| No. of reflections | 2219 |
| No. of parameters | 179 |
| No. of restraints | 1 |
| H-atom treatment | All H-atom parameters refined |
| Weighting scheme | w = 1/[σ2(Fo2) + (0.010P)2 + 50.P] where P = (Fo2 + 2Fc2)/3 |
| Δρmax, Δρmin (e Å−3) | 1.70, −0.93 |
Publisher’s Note: MDPI stays neutral with regard to jurisdictional claims in published maps and institutional affiliations. |
© 2022 by the authors. Licensee MDPI, Basel, Switzerland. This article is an open access article distributed under the terms and conditions of the Creative Commons Attribution (CC BY) license (https://creativecommons.org/licenses/by/4.0/).
Share and Cite
Kiriukhina, G.; Yakubovich, O.; Shvanskaya, L.; Volkov, A.; Dimitrova, O.; Simonov, S.; Volkova, O.; Vasiliev, A. A Novel Mineral-like Copper Phosphate Chloride with a Disordered Guest Structure: Crystal Chemistry and Magnetic Properties. Materials 2022, 15, 1411. https://doi.org/10.3390/ma15041411
Kiriukhina G, Yakubovich O, Shvanskaya L, Volkov A, Dimitrova O, Simonov S, Volkova O, Vasiliev A. A Novel Mineral-like Copper Phosphate Chloride with a Disordered Guest Structure: Crystal Chemistry and Magnetic Properties. Materials. 2022; 15(4):1411. https://doi.org/10.3390/ma15041411
Chicago/Turabian StyleKiriukhina, Galina, Olga Yakubovich, Larisa Shvanskaya, Anatoly Volkov, Olga Dimitrova, Sergey Simonov, Olga Volkova, and Alexander Vasiliev. 2022. "A Novel Mineral-like Copper Phosphate Chloride with a Disordered Guest Structure: Crystal Chemistry and Magnetic Properties" Materials 15, no. 4: 1411. https://doi.org/10.3390/ma15041411
APA StyleKiriukhina, G., Yakubovich, O., Shvanskaya, L., Volkov, A., Dimitrova, O., Simonov, S., Volkova, O., & Vasiliev, A. (2022). A Novel Mineral-like Copper Phosphate Chloride with a Disordered Guest Structure: Crystal Chemistry and Magnetic Properties. Materials, 15(4), 1411. https://doi.org/10.3390/ma15041411

