Abstract
GdFeTeO6 and GdGaTeO6 have been prepared and their structures refined by the Rietveld method. Both are superstructures of the rosiaite type (space group ). Their thermodynamic properties have been investigated by means of magnetization M and specific heat Cp measurements, evidencing the formation of the long-range antiferromagnetic order at TN = 2.4 K in the former compound and paramagnetic behavior down to 2 K in the latter compound. Large magnetocaloric effect allows considering GdFeTeO6 for the magnetic refrigeration at liquid hydrogen stage. Density functional theory calculations produce estimations of leading Gd–Gd, Gd–Fe and Fe–Fe interactions suggesting unique chiral 120° magnetic structure of Fe3+ (S = 5/2) moments and Gd3+ (J = 7/2) moments rotating in opposite directions (clockwise/anticlockwise) within weakly coupled layers of the rosiaite type crystal structure.
1. Introduction
Both classical and quantum spin systems of reduced dimensionality host a plethora of exotic magnetic ground states, including spin liquids and peculiar long-range ordered patterns [1,2]. The layered crystal structure of the rosiaite type, AB2O6, can be considered as an ideal playground to study the low-dimensional and frustrated magnetism. It is organized by diluted triangular A and dense honeycomb B layers alternating along the trigonal axis c [3]. In case of the A position being occupied by the divalent transition metal ions (M = Mn, Co, Ni), the long-range antiferromagnetic (AFM) order takes place at low temperatures in both MAs2O6 arsenates [4] and MSb2O6 antimonates [5]. Exceptionally, CuSb2O6 [5] does not order down to 1.5 K, while PdAs2O6 orders at an unusually high Néel temperature 140 K [6]. The couple of pentavalent cations in the B layer can be substituted by a combination of tetravalent and hexavalent cations, as is the case of MnSnTeO6 [7].
The A position in the rosiaite structure can be taken also by a trivalent rare-earth metal [8,9,10,11,12,13] or bismuth [14]. Simultaneously, in accord with charge compensation, half of B positions can be occupied by a trivalent cation (e.g., Cr3+ or Fe3+), and another half by Te6+ ions. Concerning magnetic properties, it is known that all RCrTeO6 studied (R = Y, La, Tb, Er, Gd, and Bi) experience the antiferromagnetic transition at low temperatures [11,12,14]. Paramagnetic behavior down to 3 K was observed in LaFeTeO6 [10] and GdFeTeO6 [13], albeit in the latter case it has been anticipated that this compound experiences ferrimagnetic order at lower temperature.
It is well known that in two dimensions, the triangular lattice antiferromagnet in the Ising limit remains disordered at all temperatures. In the Heisenberg limit, the problem of frustration is lifted by 120° arrangement of magnetic moments, which is the essence of Yafet–Kittel model [15]. The magnetic subsystem of GdFeTeO6 is comprised by basically isotropic Gd3+ (J = 7/2) and Fe3+ (S = 5/2) ions. It opens the way to unique clockwise/anticlockwise 120° antiferromagnetic structure in case of appreciable f–d interaction. The reported bond lengths in GdFeTeO6 [13] differ from the corresponding sums of ionic radii [16] by 0.16, 0.24 and 0.29 Å for Gd–O, Fe–O and Te–O, respectively. We report here the preparation, correctly refined crystal structure and detailed experimental and theoretical study of magnetic properties of GdFeTeO6 in comparison with its analogue containing diamagnetic Ga3+ in place of Fe3+.
2. Experimental
2.1. Sample Preparation, Phase Analysis and Structural Studies
Polycrystalline samples of GdFeTeO6 and GdGaTeO6 were prepared by solid-state reactions (see Electronic Supplementary Material, ESM, for details). Reasonable agreement of the hexagonal lattice parameters for GdFeTeO6 prepared by different methods, even in the presence of foreign phases (Table S1 of ESM), suggests that the compound does not have any extended homogeneity range.
XRD studies were performed in CuKα radiation using an ARL X’tra diffractometer, Thermo Scientific, Switzerland, in the Bragg–Brentano geometry, equipped with a solid-state Si(Li) detector. Lattice parameters were refined using CELREF 3 (J. Laugier and B. Bochu), with angular corrections by corundum (NIST SRM 676) as an internal standard. To reduce effect of grain orientation, the samples for the XRD profile analysis were mixed with amorphous powder (instant coffee). The structures were refined with the GSAS + EXPGUI suite [17,18].
2.2. Physical Measurements
Magnetization M and specific heat Cp were studied using various options of Physical Properties Measurements System PPMS–9T, Quantum Design, San Diego, CA, USA.
3. Results and Discussion
3.1. Crystal Structures of GdMTeO6 (M = Fe, Ga)
For the structure analysis, we used a single-phase light yellow GdFeTeO6 powder prepared by solid-state reaction at a final temperature of 830 °C and white GdGaTeO6 powder prepared at 950 °C. The latter contained trace amounts of Ga2O3 and an unknown phase, and this may explain somewhat lower accuracy of its structural data (see below). The crystal structures were successfully refined starting from the structural model of LaFeTeO6 [10].
Experimental and calculated XRD profiles are compared in Figure 1; experimental and refinement details, crystallographic data, atomic coordinates and displacement parameters are reported in Tables S2–S4 and Figure S2 of ESM, and bond lengths, bond angles and bond valence sums (BVS), in Table 1. The Crystallographic information files (CIF) are supplied as Supplementary Material. The data for GdFeTeO6 have been deposited at the Cambridge Crystallographic Data Centre as CCDC 2002460.
Figure 1.
Results of the Rietveld refinement for GdFeTeO6 (top) and GdGaTeO6 (bottom). Crosses, experimental data; red line, calculated profile; bottom blue line, difference profile; vertical bars, Bragg angles.
Table 1.
Lattice parameters, bond lengths (Å), sums of ionic radii [16], bond valence [19] sums (BVS) and bond angles in GdMTeO6 (M = Fe, Ga).
For the Fe compound, possible Te/Fe inversion was investigated, but the refined degree of inversion, 0.02, was within experimental accuracy and, therefore, was neglected. The structures are very similar and Figure 2 effectively represents both of them. Bond lengths agree with the corresponding sums of ionic radii (less accurately for M = Ga), and calculated BVS are also reasonable. Each oxygen anion has an almost planar environment, with the sum of the three bond angles being close to 360° (Table 1).
Figure 2.
Upper panel: Polyhedral presentation of the crystal structure of GdFeTeO6, Violet, green, grey and black spheres are Gd, Fe, Te and O ions, respectively. Lower panel: magnetoactive layer of Fe and Te ions, and Gd layer. A three-dimensional visualization system VESTA [20] for electronic and structural analysis has been used for the presentation of crystal structure.
3.2. Basic Properties
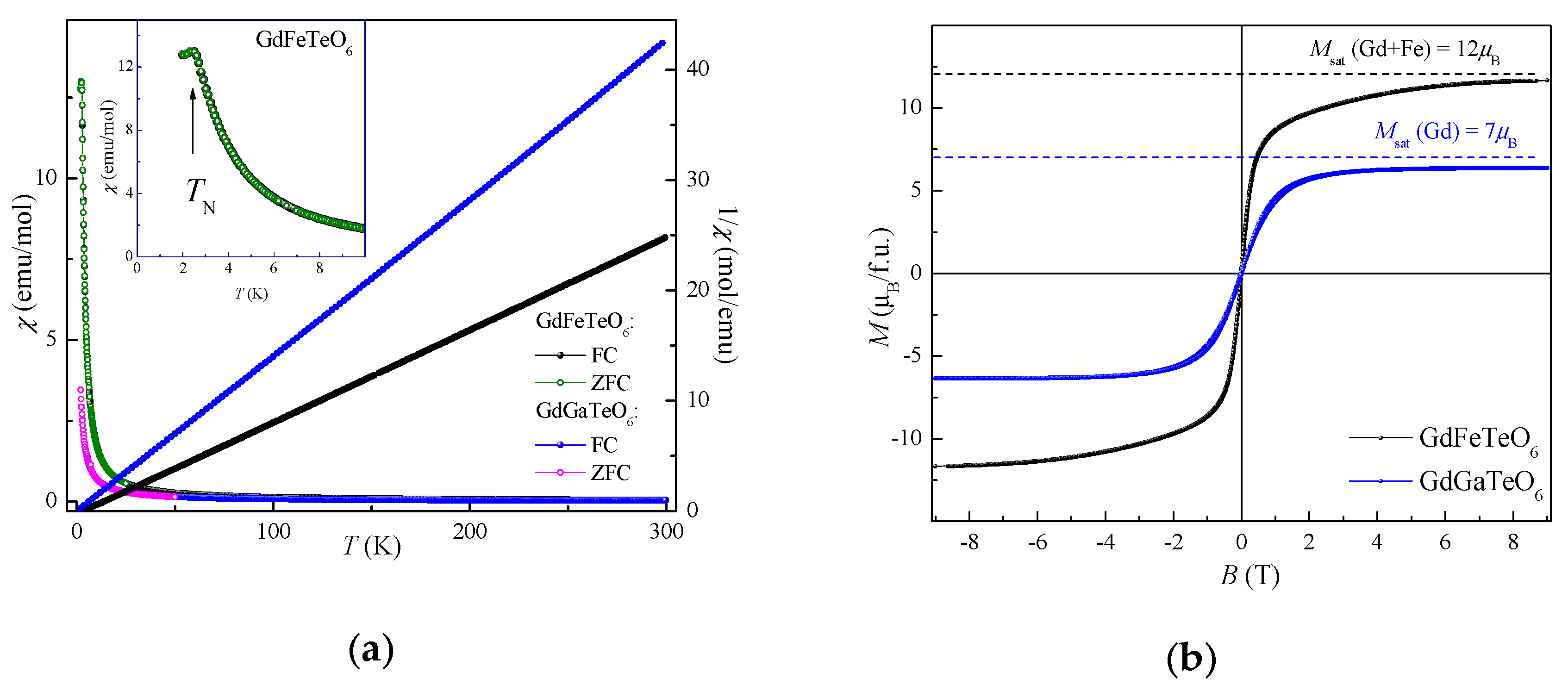
The temperature dependences of magnetic susceptibility χ = M/B in both GdFeTeO6 and GdGaTeO6 taken at B = 0.1 T are shown in the left panel of Figure 3. Note that no difference between data obtained within field-cooled and zero-field-cooled protocols has been observed signaling absence of any impurity-driven or spin-glass effects. In a wide temperature range, both compounds evidence paramagnetic behavior following basically the Curie law χ = C/T. The Curie constants C are 11.96 emu K/mol for GdFeTeO6 and 7.58 emu K/mol for GdGaTeO6 in full correspondence with expectations for Gd3+ (J = 7/2) and Fe3+ (S = 5/2) magnetic moments. Straight inverse susceptibility curves, χ−1(T), point to the absence of any magnetic frustration effects inherent to triangular systems. While GdGaTeO6 remains paramagnetic down to 2 K, the χ(T) curve in GdFeTeO6 evidences the kink ascribed to antiferromagnetic phase transition at TN = 2.4 K. This part of the χ(T) curve is enlarged in the inset to the left panel of Figure 3. The kink at 2.4 K is readily suppressed by an external magnetic field. The field dependences of magnetization M(B) in GdFeTeO6 and GdGaTeO6 taken at 2 K are shown in the right panel of Figure 3. In both compounds, the magnetization reaches the saturation values, albeit the shape of M(B) curve in GdFeTeO6 differs from that in GdGaTeO6, presumably due to f–d interactions which result in magnetic long-range order.
Figure 3.
(a) The temperature dependences of magnetic susceptibility χ in GdFeTeO6 and GdGaTeO6 at B = 0.1 T (left ordinate) and inverse susceptibility 1/χ (right ordinate). The inset enlarges the low temperature part of χ(T) curve for GdFeTeO6. (b) The field dependences of magnetization M(B) in GdFeTeO6 and GdGaTeO6 at 2 K.
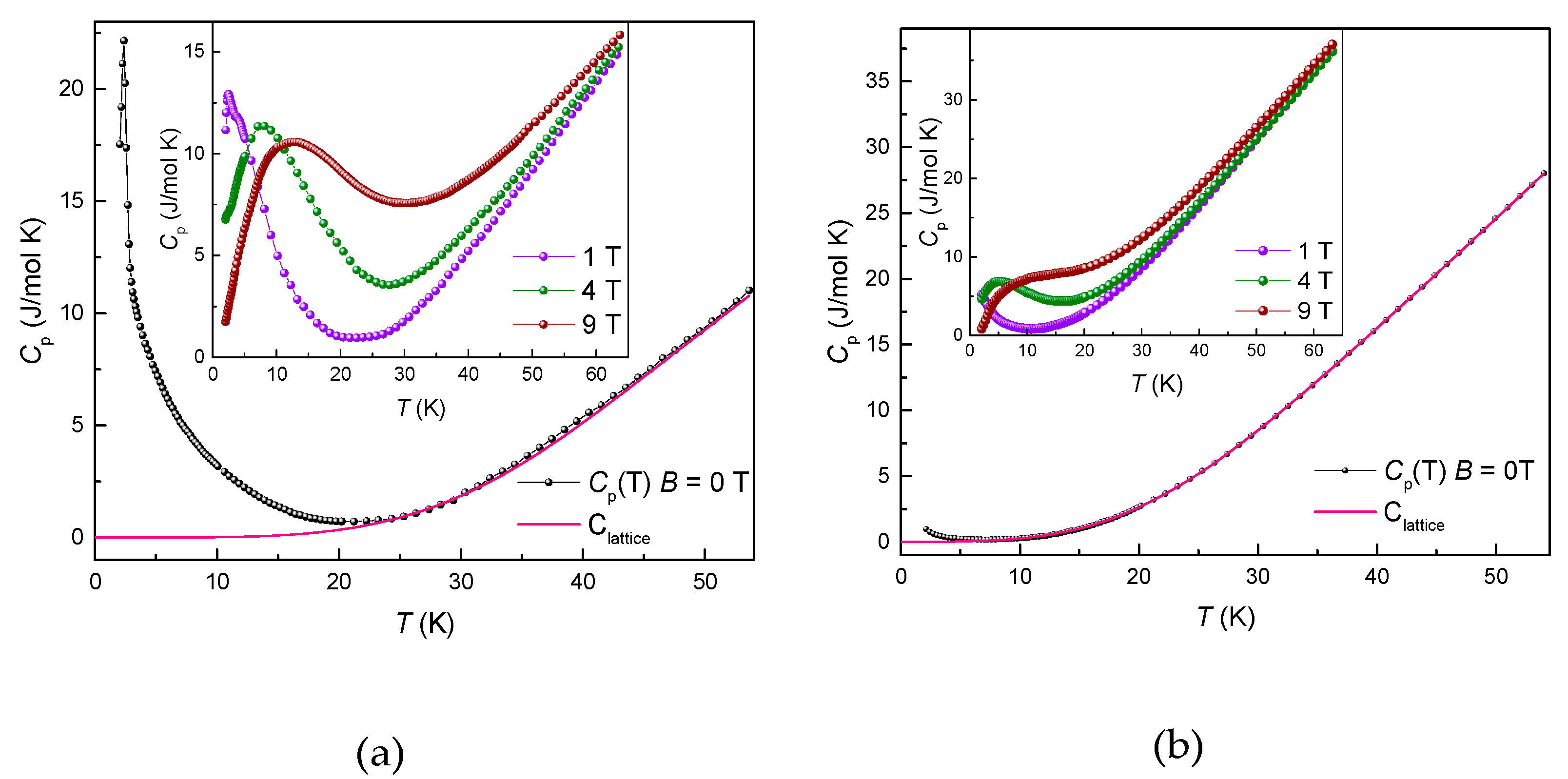
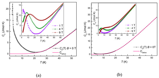
The evidence for the magnetic phase transition in GdFeTeO6 was further obtained from the specific heat data, as shown in the left panel of Figure 4. The Cp(T) curve taken in the absence of magnetic field evidences sharp λ-type anomaly at TN = 2.4 K. The data well above the transition temperature were used to estimate the phonon background Clattice in GdFeTeO6 using the Debye model, as shown by the solid line in Figure 4. No such anomaly has been detected down to 2 K in GdGaTeO6; however, a slight upturn of specific heat at lowest temperatures should be noted which can be considered as an indication for the forthcoming low-temperature magnetic phase transition. An external magnetic field rapidly suppresses the λ-peak in Cp(T) curve, but the Schottky-type anomaly appears at elevated temperatures. This anomaly is associated with the Zeeman splitting of magnetic levels in both gadolinium and iron ions. It shifts to higher temperatures with increasing magnetic field. Similarly, the Zeeman splitting of gadolinium levels in GdGaTeO6 results in the appearance of pronounced Schottky anomaly, as shown in the right panel of Figure 4.
Figure 4.
The temperature dependences of the specific heat Cp in GdFeTeO6 (a) and GdGaTeO6 (b). The solid lines represent the Debye fitting of the phonon contributions. The insets show Cp(T) curves taken in various magnetic fields.
3.3. Magnetocaloric Effect
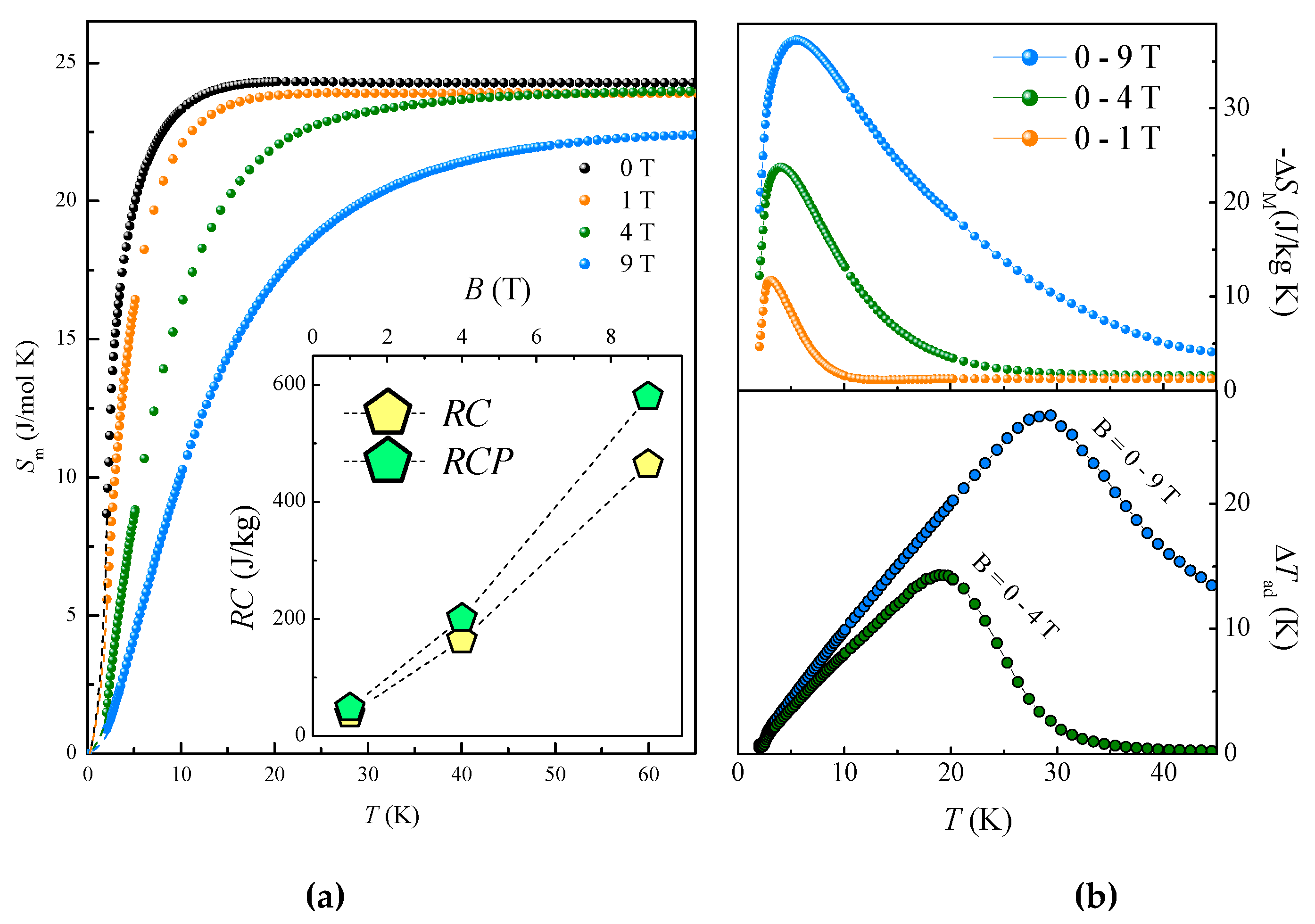
The magnetocaloric effect in GdFeTeO6 was estimated from the specific heat data Cp(T, B) at various magnetic fields. The lattice contribution Clattice has been subtracted from the total specific heat Cp(T, B) to estimate the magnetic entropy Sm(T), as shown in the left panel of Figure 5. The magnetic entropy change ΔSM(T, ΔB) has been calculated as ΔSM(T, ΔB) = Sm(T, B) − Sm(T, 0). The adiabatic change of the magnetic field from B1 to B2 causes not only change in the magnetic entropy, but also alteration of the sample temperature ΔTad = T2 − T1, which can be determined by the adiabatic condition S(T, B1) = S(T + ΔT, B2). Thus, ΔTad has been calculated from the zero-field Cp(T) and ΔSM(T, ΔB) data with the use of equation:
Figure 5.
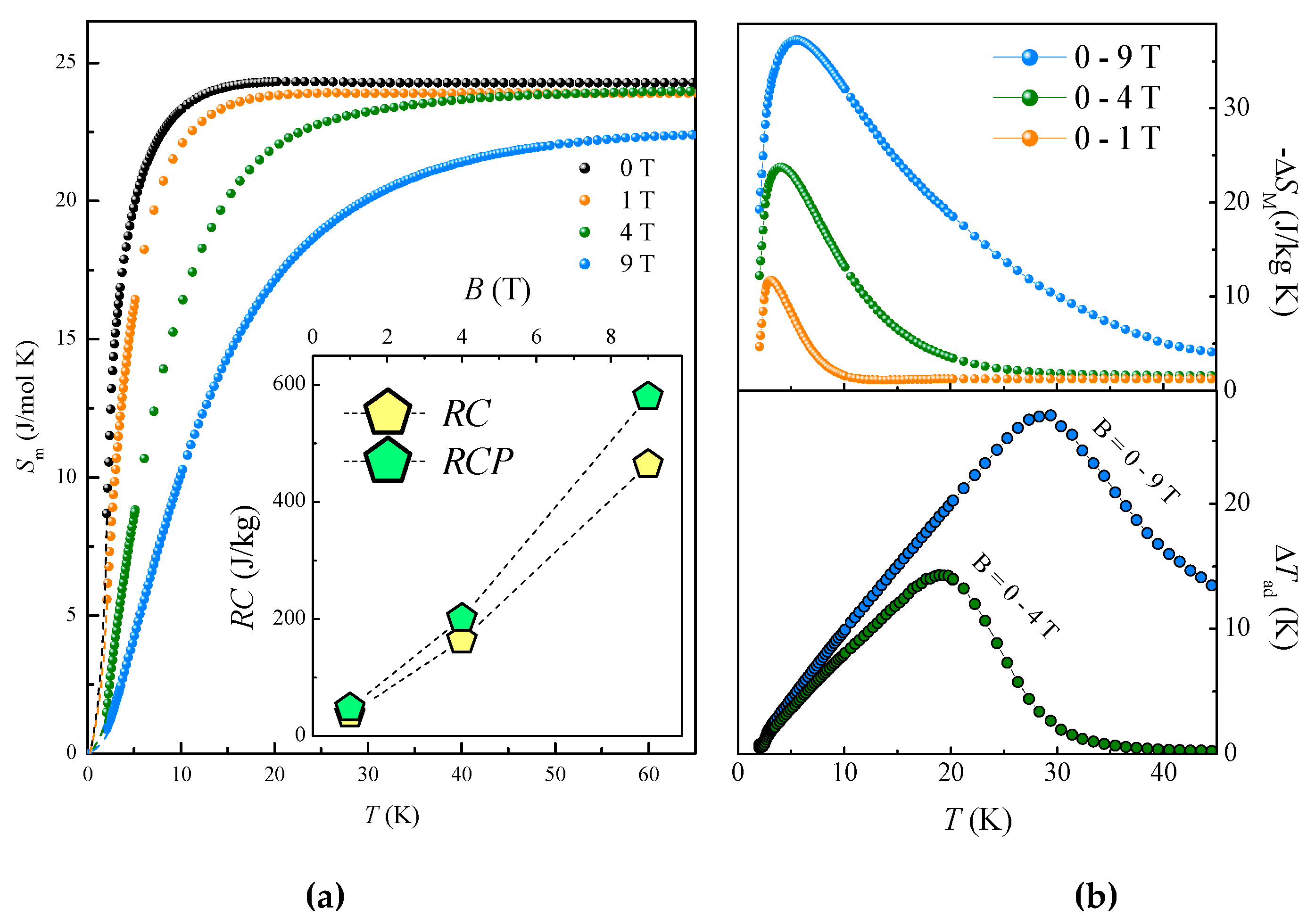
The temperature dependence of the magnetic entropy SM in various magnetic fields. The inset shows the field dependences of the refrigerant capacity RC and the relative cooling power RCP (a). The magnetic entropy ΔSM and adiabatic temperature change ΔTad (b).
Right panels of Figure 5 show both ΔSM and ΔTad sets of data in GdFeTeO6 as a function of temperature for the various external magnetic fields. These curves demonstrate a broad peak for both quantities, with the width increasing at higher magnetic fields. The maximum value −ΔSMmax is 35.3 J/kg K for the field change of 0–9 T. This result agrees with the previous data for ΔSM(T, ΔB) derived from an isothermal process of magnetization using the Maxwell relations. The temperature change, ΔTad, is 27 K at 9 T reaching liquid hydrogen temperatures.
The magnetocaloric study is completed by the estimation of refrigeration properties for GdFeTeO6. The results for the refrigerant capacity (RC) and the relative cooling power (RCP) vs. applied magnetic field are shown in the inset to the right panel of Figure 5. The RC and the RCP are defined as
where T1 and T2 represent the temperatures corresponding to the half maximum of ΔSM(T) curve, ΔSMmax is the maximum of ΔSM value, and δTFWHM is the width at half maximum (FWHM) of ΔSM(T) curve. Note that similarly large magnetocaloric effect has been recently reported for another f-d oxide of rosiaite-type GdCrTeO6 [12].
3.4. Density Functional Calculations
Density functional theory calculations [21,22] were performed to study the magnetic interactions by determining the exchange interactions. We considered both Perdew–Burke–Ernzerhof (PBE + U) [23,24] and Heyd–Scuseria–Ernzerhof (HSE) [25,26] exchange correlation functionals. For the PBE + U calculations, the choice of U for the f electrons is subtle since different values have been deemed a reasonable choice for each specific material. For example, in elemental Gd [27] and Gd monopnictides [28], a Ueff = U-J value of 6 eV has been used, but in some transition metal oxides a lower value of 4 eV has been found more appropriate for the f electrons of Gd and Dy [29,30]. In the previous study for this compound, a value of UGd = 6 eV has been used [13]. However, we found that the energy difference between different magnetic configurations is very sensitive to UGd. Therefore, previous calculations for similar compounds must be considered with care with respect to the choice of the U parameter. In order to avoid ambiguities in the choice of U correction, we have used the HSE functional calculations as a benchmark. The energy differences are more sensitive to UGd, with a value UGd close to 2.09 eV needed, but much less sensitive to UFe, with 4 UFe = 5 eV producing similar energy differences. Nevertheless, there is no single combination of U values which can reproduce all the HSE energy differences between magnetic states, which prompted us to adopt the latter approach also in the estimate of exchange interactions. This is probably due to the fact that while HSE affects both p- and d-states, the U correction affects mainly the d-states [31].
We considered the 2 × 1 × 1 supercell in order to estimate the pairwise exchange interactions. Four Gd and four Fe atoms are considered, hence 9 possible AFM states, since both Fe and Gd can have three different AFM spin arrangements. We considered the FM, the nine AFM states and five additional FiM states, both for HSE and PBE + U, with UGd = 2.09, UFe = 5 eV, which was found to be a reasonable compromise to reproduce the HSE energies. We evaluated the exchange interactions by mapping the first-principles magnetic energies to the Heisenberg model:
and performing multiple linear regression with least-squares fitting. Gd–Gd interactions were found to be negligible, and the magnetic energies can be well reproduced in a minimal model comprising only Fe–Fe and nearest-neighbor Gd-Fe interactions. The third nearest-neighbor out-of-plane Fe–Fe interaction was found to be important for improving the linear regression, even though the distance between involved Fe atoms is quite large; this exchange is in fact mediated by the same bridging atoms involved in the other Fe–Fe exchanges, occurring on a Fe–O–Gd–O–Fe path. The estimated values of the exchange interactions for PBE + U and HSE approaches are shown in Table 2. The interactions within HSE are generally reduced in comparison with PBE + U, with the main difference being a much smaller Fe–Fe in-plane interaction, and the sign of the next-nearest-neighbor , which turned out to be the only ferromagnetic interaction at the HSE or PBE + U levels. The in-plane AFM Fe–Fe interaction is known to lead to a (classical) co-planar three-sublattice “120-degree” state within each Fe-layer, while the Gd–Fe AFM interaction, mediating an inter-layer coupling between Fe layers, would instead promote a ferrimagnetic state with antiparallel Fe and Gd spins, and the third nearest-neighbor would instead favor AFM configurations of Fe spins. Such a fierce competition of magnetic exchange interactions combined with their weakness in magnitude is compatible with the low critical temperature observed in the system. Indeed, we used the estimated interactions to predict the critical temperature within a classical Monte Carlo approach. Using a Metropolis algorithm for an 18 × 18 × 12 cell, we found cusps in the specific heat and magnetic susceptibility signaling a transition at TN ~ 2.6 K (5 K) for exchange parameters evaluated within the HSE (PBE + U) approach, with no net magnetization developing in the ordered phase, in good agreement with the experimental estimates.
Table 2.
Effective and renormalized (with JGd = 7/2, SFe = 5/2) exchange constants (meV) obtained by fitting to the PBE + U (UGd = 2.09, UFe = 5 eV) and HSE energies.
The HSE (PBE + U) calculated local magnetic moments have absolute values of approximately 6.92, 4.25, 0.00, and 0.10 (6.97, 4.29, 0.01, and 0.09) µB, for Gd, Fe, Te, and O, respectively, irrespective of the magnetic order considered, consistent with Gd3+ (J = 7/2) and Fe3+ (S = 5/2) ions, in agreement with the susceptibility measurements.
3.5. Discussion
The crystal structure of both GdFeTeO6 and GdGaTeO6 is a superstructure (space group ) of the rosiaite AB2O6 [3] due to the doubling of the c parameter associated with the alternating Fe/Te or Ga/Te along the principal axis. Thermodynamic measurements evidence the long-range magnetic order at TN = 2.4 K in GdFeTeO6 and paramagnetic behavior down to 2 K in GdGaTeO6. GdFeTeO6 possesses excellent magnetocaloric properties. For a magnetic field change of 9 T at 2 K, the values of entropy change −ΔSM(T) = 35.3 J/kg K and adiabatic temperature alteration ΔTad = 27 K are obtained, as well as relative cooling power 580 J/kg and refrigerant capacity 465 J/kg. This makes GdFeTeO6 attractive for the working body of low-temperature magnetic refrigerator devices. With the intensification of research at helium temperatures, the problem of cooling the current leads of superconducting solenoids and reaching ultralow temperatures becomes increasingly urgent [32,33,34,35,36,37].
The presence of gadolinium in the structure of GdFeTeO6 precludes determination of its magnetic structure using neutron scattering methods. However, the absence of the magnetic order in GdGaTeO6 evidences the weakness of the Gd–Gd interactions. Moreover, no long-range order has been detected in LaFeTeO6, pointing to the weakness of interlayer Fe–Fe interactions [10]. GdFeTeO6 represents a unique system which orders due to interlayer f–d interactions. The absence of spontaneous magnetization in the magnetically ordered phase of this compound excludes any ferrimagnetic arrangement of Gd3+ and Fe3+ magnetic moments [13]. The only solution compatible with the absence of any frustration effects in magnetic susceptibility seems to be 120° structure of iron moments within B layers (say, clockwise) and 120° structure of gadolinium moments within A layers (say, anticlockwise), as shown in Figure 6. In the first principle calculations, this structure is of the lowest energy, but the energy difference with other configurations is very small, about 0.01 meV per formula unit. In our knowledge, the proposed chiral–antichiral magnetic structure is unique, deserving some kind of experimental verification.
Figure 6.
The ball-and-stick representation [20] of the crystal structure of GdFeTeO6. Purple, green, gray and black spheres are Gd, Fe, Te and O ions, respectively. Blue and pink arrows highlight the clockwise and anticlockwise arrangements of spins in different magnetoactive layers.
Supplementary Materials
The following are available online at https://www.mdpi.com/article/10.3390/ma14205954/s1, Figure S1. Comparison of the two XRD patterns of nominal “GdFeTeO6” taken in CuKα radia-tion. Upper panel: Relatively pure phase prepared from oxides for 48 h at 700 °C [5]. Lower pan-el: mixed phase prepared by the semi-wet method for 56 h at 750 °C with three intermediate re-grindings (this work), Figure S2. Correlation between crystal radii [6] of RE3+ and hexagonal subcell parameters of REFeTeO6. Red diamonds, a; blue triangles, c/2; RE = La [1, 3, 4], Pr, Nd, Sm [4], and Gd (this work); green circles, same from Reference [5], Figure S3. (a) Effect of changing UGd (eV) for the energy differences of one AFM and 3 FiM states with respect to the FM state. Changes of Gd UGd in the legend, with fixed UFe = 4 eV. (b) Energy difference between FiM1 and FM states. Effect of changing UGd and UFe, and comparison with HSE calculations (black line), Figure S4. The comparison of Monte-Carlo calculations (solid lines) with the experimental tem-perature dependencies of magnetic susceptibility χ(T) (left panel) and specific heat Cp(T) (right panel), Table S1. Phase analysis results and hexagonal lattice parameters of GdFeTeO6 samples prepared by various methods, Table S2. Details of the data collection and structure refinement, Table S3. Atomic coordinates and displacement parameters in GdFeTeO6, space group , Table S4. Atomic coordinates and displacement parameters in GdGaTeO6, space group .
Author Contributions
Conceptualization, E.Z., P.B., A.V.; methodology, V.N.; investigation, M.E., A.T., T.V. and J.G.; writing—original draft preparation, E.Z., V.N. and A.S. All authors have read and agreed to the published version of the manuscript.
Funding
This work has been supported by the grant 18-03-00714 from the Russian Foundation for Basic Research (for V.N., E.Z., and M.E.) and Grant-in-Aid 00-15 from the International Centre for Diffraction Data (for V.N. and M.E.); A.V. acknowledges the support of experimental study by Megagrant Program of the Government of Russian Federation through the project 075–15–2021-604. A.S. and J.G. thanks HPC-Europa3 for funding.
Data Availability Statement
The data presented in this study are available in supplementary material.
Acknowledgments
J.G. and A.S. gratefully acknowledge HPC-Europa3 Transnational Access programme HPC-EUROPA3 (INFRAIA-2016-1-730897, HPC17T6HD5), with the support of the EC Research Innovation Action under the H2020 Programme. J.G. gratefully acknowledges the computer resources/technical support provided by CINECA, and the kind hospitality by CNR-SPIN c/o Department of Chemical and Physical Science of University of L’Aquila (Italy) during the visiting period from 3 November 2019 to 21 December 2019 and from 7 January 2020 to 15 February 2020.
Conflicts of Interest
The authors declare no conflict of interest.
References
- Vasiliev, A.; Volkova, O.; Zvereva, E.; Markina, M. Milestones of low-D quantum magnetism. NPJ Quantum Mater. 2018, 3, 18. [Google Scholar] [CrossRef] [Green Version]
- Vasil’ev, A.N.; Markina, M.M.; Popova, E.A. Spin gap in low-dimensional magnets. Low Temp. Phys. 2005, 31, 203–223. [Google Scholar] [CrossRef]
- Basso, R.; Lucchetti, G.; Zefiro, L.; Palenzona, A. Rosiaite, PbSb2O6, a new mineral from the Cetine mine, Siena, Italy. Eur. J. Miner. 1996, 8, 487–492. [Google Scholar] [CrossRef] [Green Version]
- Nakua, A.; Greedan, J. Structural and magnetic properties of transition-metal arsenates, AAs2O6, A = Mn, Co, and Ni. J. Solid State Chem. 1995, 118, 402–411. [Google Scholar] [CrossRef]
- Nikulin, A.Y.; Zvereva, E.A.; Nalbandyan, V.B.; Shukaev, I.L.; Kurbakov, A.I.; Kuchugura, M.D.; Raganyan, G.V.; Popov, Y.V.; Ivanchenko, V.D.; Vasiliev, A.N. Preparation and characterization of metastable trigonal layered MSb2O6 phases (M = Co, Ni, Cu, Zn, and Mg) and considerations on FeSb2O6. Dalton Trans. 2017, 46, 6059–6068. [Google Scholar] [CrossRef] [PubMed] [Green Version]
- Reehuis, M.; Saha-Dasgupta, T.; Orosel, D.; Nuss, J.; Rahaman, B.; Keimer, B.; Andersen, O.; Jansen, M. Magnetic properties of PdAs2O6: A dilute spin system with an unusually high Neel temperature. Phys. Rev. B 2012, 85, 115118. [Google Scholar] [CrossRef] [Green Version]
- Nalbandyan, V.; Evstigneeva, M.; Vasilchikova, T.; Bukhteev, K.; Vasiliev, A.; Zvereva, E. Trigonal layered rosiaite-related antiferromagnet MnSnTeO6: Ion-exchange preparation, structure and magnetic properties. Dalton Trans. 2018, 47, 14760–14766. [Google Scholar] [CrossRef] [PubMed]
- Kasper, H.M. LnCrTeO6—A new series of compounds based on the PbSb2O6 structure. Mater. Res. Bull. 1969, 4, 33–38. [Google Scholar] [CrossRef]
- Lavat, A.; Mercader, C.; Baran, E. Crystallographic and spectroscopic characterization of LnFeTeO6 (Ln = La, Pr, Nd, Sm) materials. J. Alloys Compd. 2010, 508, 24–27. [Google Scholar] [CrossRef]
- Phatak, R.; Krishnan, K.; Kulkarni, N.; Achary, S.; Banerjee, A.; Sali, S. Crystal structure, magnetic and thermal properties of LaFeTeO6. Mater. Res. Bull. 2010, 45, 1978–1983. [Google Scholar] [CrossRef]
- Rao, G.N.; Sankar, R.; Muthuselvam, I.P.; Chou, F.C. Magnetic and thermal property studies of RCrTeO6 (R = trivalent lanthanides) with layered honeycomb sublattices. J. Magn. Magn. Mater. 2014, 370, 13–17. [Google Scholar] [CrossRef]
- Liu, J.; Ouyang, Z.; Liu, X.; Cao, J.; Wang, J.; Xia, Z.; Rao, G. Decoupling of Gd-Cr magnetism and giant magnetocaloric effect in layered honeycomb tellurate GdCrTeO6. J. Appl. Phys. 2020, 127, 173902. [Google Scholar] [CrossRef]
- Lei, D.; Ouyang, Z.; Yue, X.; Yin, L.; Wang, Z.; Wang, J.; Xia, Z.; Rao, G. Weak magnetic interaction, large magnetocaloric effect, and underlying spin model in triangular lattice GdFeTeO6. J. Appl. Phys. 2018, 124, 233904. [Google Scholar] [CrossRef]
- Kim, S.W.; Deng, Z.; Fischer, Z.; Lapidus, S.H.; Stephens, P.W.; Li, M.-R.; Greenblatt, M. Structure and magnetic behavior of layered honeycomb tellurates, BiM(III)TeO6 (M = Cr, Mn, Fe). Inorg. Chem. 2016, 55, 10229–10237. [Google Scholar] [CrossRef] [PubMed]
- Yafet, Y.; Kittel, C. Antiferromagnetic arrangements in ferrites. Phys. Rev. 1952, 87, 290–294. [Google Scholar] [CrossRef]
- Shannon, R.D. Revised effective ionic-radii and systematic studies of interatomic distances in halides and chalcogenides. Acta Crystallogr. A 1976, 32, 751–767. [Google Scholar] [CrossRef]
- Larson, A.; Von Dreele, R. General Structure Analysis System (GSAS); Report LAUR 86-748; Los Alamos National Laboratory: Los Alamos, NM, USA, 2004. [Google Scholar]
- Toby, B. EXPGUI, a graphical user interface for GSAS. J. Appl. Crystallogr. 2001, 34, 210–213. [Google Scholar] [CrossRef] [Green Version]
- Gagné, O.; Hawthorne, F. Comprehensive derivation of bond-valence parameters for ion pairs involving oxygen. Acta Crystallogr. Sect. B 2015, 71, 562–578. [Google Scholar] [CrossRef] [Green Version]
- Momma, K.; Izumi, F. VESTA: A three-dimensional visualization system for electronic and structural analysis. J. Appl. Crystallogr. 2008, 41, 653–658. [Google Scholar] [CrossRef]
- Blöchl, P. Projector augmented-wave method. Phys. Rev. B 1994, 50, 17953–17979. [Google Scholar] [CrossRef] [Green Version]
- Kresse, G.; Furthmüller, J. Efficient iterative schemes for ab initio total-energy calculations using a plane-wave basis set. Phys. Rev. B 1996, 54, 11169–11186. [Google Scholar] [CrossRef] [PubMed]
- Perdew, J.; Burke, K.; Ernzerhof, M. Generalized Gradient Approximation Made Simple. Phys. Rev. Lett. 1996, 77, 3865–3868. [Google Scholar] [CrossRef] [PubMed] [Green Version]
- Dudarev, S.; Botton, G.; Savrasov, S.; Humphreys, C.; Sutton, A. Electron-energy-loss spectra and the structural stability of nickel oxide: An LSDA+U study. Phys. Rev. B 1998, 57, 1505–1509. [Google Scholar] [CrossRef]
- Heyd, J.; Scuseria, G.; Ernzerhof, M. Hybrid functionals based on a screened Coulomb potential. J. Chem. Phys. 2003, 118, 8207–8215. [Google Scholar] [CrossRef] [Green Version]
- Krukau, A.; Vydrov, O.; Izmaylov, A.; Scuseria, G. Influence of the exchange screening parameter on the performance of screened hybrid functionals. J. Chem. Phys. 2006, 125, 224106. [Google Scholar] [CrossRef]
- Kurz, P.; Bihlmayer, G.; Blügel, S. Magnetism and electronic structure of hcp Gd and the Gd (0001) surface. J. Phys. Condens. Matter 2002, 14, 6353–6371. [Google Scholar] [CrossRef]
- Duan, C.-G.; Sabiryanov, R.; Mei, W.; Dowben, P.; Jaswal, S.; Tsymbal, E. Electronic, magnetic and transport properties of rare-earth monopnictides. J. Phys. Condens. Matter 2007, 19, 315220. [Google Scholar] [CrossRef]
- Stroppa, A.; Marsman, M.; Kresse, G.; Picozzi, S. The multiferroic phase of DyFeO3: An ab initio study. New J. Phys. 2010, 12, 093026. [Google Scholar] [CrossRef]
- Zhao, H.; Bellaiche, L.; Chen, X.; Íñiguez, J. Improper electric polarization in simple perovskite oxides with two magnetic sublattices. Nat. Commun. 2017, 8, 14025. [Google Scholar] [CrossRef]
- Kümmel, S.; Kronik, L. Orbital-dependent density functionals: Theory and applications. Rev. Mod. Phys. 2008, 80, 3–60. [Google Scholar] [CrossRef] [Green Version]
- Tian, Y.; Ouyang, J.L.; Hiao, H.B.; Zhang, Y.K. Structural and magnetocaloric properties in the aeschynite type GdCrWO6 and ErCrWO6 oxides. Ceram. Int. 2021, 47, 29197–29204. [Google Scholar] [CrossRef]
- Wang, X.; Wang, Q.; Tang, B.Z.; Peng, P.; Xia, L.; Ding, D. Large magnetic entropy change and adiabatic temperature rise of a ternary Gd34Ni33Al33 metallic glass. J. Rare Earths 2021, 39, 998–1002. [Google Scholar] [CrossRef]
- Liu, T.; Liu, X.Y.; Gao, Y.; Jin, H.; He, J.; Sheng, X.L.; Jin, W.T.; Chen, Z.Y.; Li, W. Significant inverse magnetocaloric effect induced by quantum criticality. Phys. Rev. Res. 2021, 3, 033094. [Google Scholar] [CrossRef]
- Shi, J.H.; Seehra, M.S.; Dang, Y.L.; Suib, S.L.; Jain, M. Comparison of the dielectric and magnetocaloric properties of bulk and film of GdFe0.5Cr0.5O3. J. Appl. Phys. 2021, 129, 243904. [Google Scholar] [CrossRef]
- Shi, J.H.; Sauyet, T.; Dang, Y.L.; Suib, S.L.; Seehra, M.; Jain, M. Structure-property correlations and scaling in the magnetic and magnetocaloric properties of GdCrO3 particles. J. Phys. Condens. Matter 2021, 33, 205801. [Google Scholar] [CrossRef] [PubMed]
- Tokiwa, Y.; Bachus, S.; Kawita, K.; Jesche, A.; Tsirlin, A.A.; Gegenwart, P. Frustrated magnet for adiabatic demagnetization cooling to milli-Kelvin temperatures. Commun. Mater. 2021, 2, 42. [Google Scholar] [CrossRef]
Publisher’s Note: MDPI stays neutral with regard to jurisdictional claims in published maps and institutional affiliations. |
© 2021 by the authors. Licensee MDPI, Basel, Switzerland. This article is an open access article distributed under the terms and conditions of the Creative Commons Attribution (CC BY) license (https://creativecommons.org/licenses/by/4.0/).





