Relaxor-Ferroelectric Films for Dielectric Tunable Applications: Effect of Film Thickness and Applied Electric Field
Abstract
1. Introduction
| Film | Thickness (nm) | Eap,max (kV/cm) | Frequency (kHz) | Tunability (%) | FOM | Refs. |
|---|---|---|---|---|---|---|
| PbZr0.52Ti0.48O3 | 1000 | 300 | 10 | 68.4 | 32.2 | [27] |
| Pb0.92La0.08Zr0.52Ti0.48O3 | 690 | 300 | 10 | 68.9 | 19.1 | [28] |
| Pb0.92La0.08Zr0.52Ti0.48O3 | 3000 | 1000 | 10 | 88.6 | 16.4 | [29] |
| Pb0.92La0.08Zr0.52Ti0.48O3 | 3000 | 400 | 10 | 63.0 | 10.5 | [30] |
| Pb0.4Sr0.6TiO3 | 500 | 300 | 1000 | 73.7 | 10.4 | [31] |
| Pb(Zr0.52Ti0.48)O3/Bi1.5Zn1.0Nb1.5O7 | 800 | 500 | 100 | 53.3 | 65.6 | [11] |
| BaSn0.15Ti0.85O3 | 420 | 80 | 100 | 70.0 | 17.0 | [32] |
| Ba0.6Sr0.4TiO3 | - | 300 | 1000 | 72.2 | 24.6 | [33] |
| 0.06Nb(Zn1/2Ti1/2)O3-0.94Ba0.7Sr0.3TiO3 | - | 300 | 1000 | 37.1 | 43.2 | [33] |
| Ba0.45Sr0.55TiO3 | 250 | 640 | - | 78.0 | 16.3 | [34] |
| 0.04Ba(Mg1/3Nb2/3)O3-0.96Ba0.45Sr0.55TiO3 | 250 | 640 | - | 72.0 | 24.0 | [34] |
| Pb0.9La0.1Zr0.52Ti0.48O3 | 1000 | 800 | 1000 | 85.2 | 33.3 | This study |
| Pb0.9La0.1Zr0.52Ti0.48O3 | 1000 | 1000 | 100 | 88.7 | 37.6 | |
| Pb0.9La0.1Zr0.52Ti0.48O3 | 1000 | 1450 | 100 | 94.6 | 34.4 |
2. Experiment
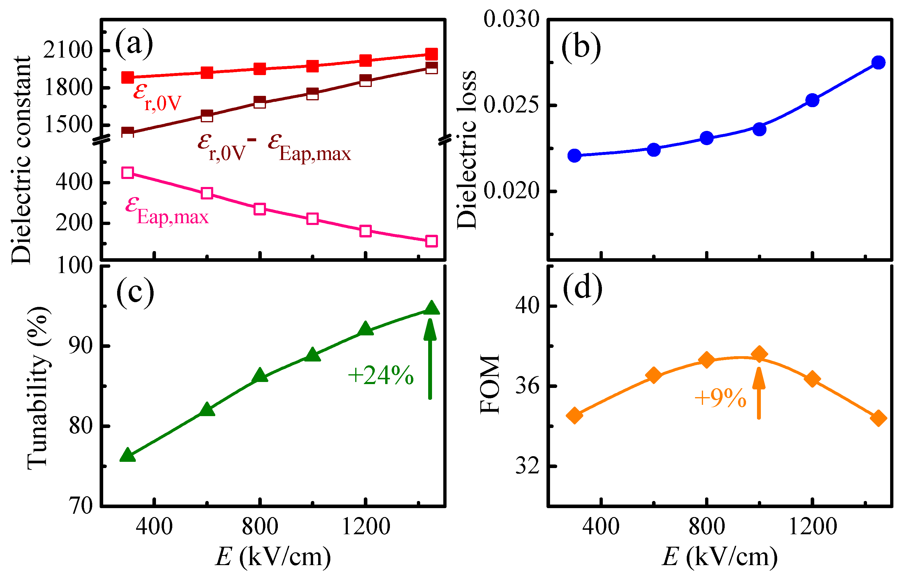
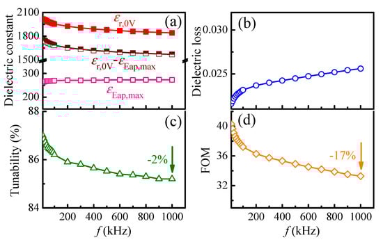
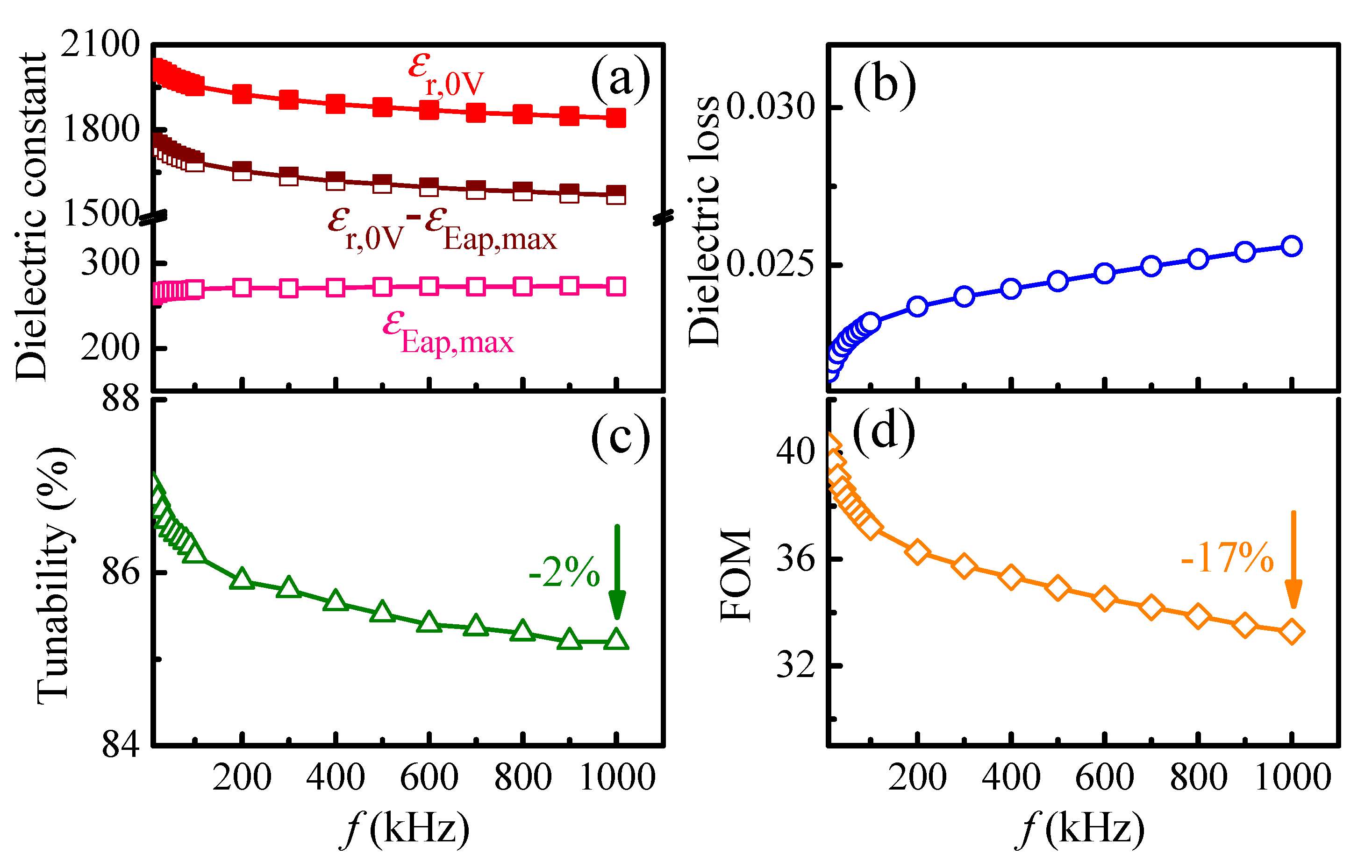
3. Results and Discussion
4. Conclusions
Supplementary Materials
Author Contributions
Funding
Institutional Review Board Statement
Informed Consent Statement
Data Availability Statement
Conflicts of Interest
References
- Fetisov, Y.K.; Srinivasan, G. Electrically tunable ferrite-ferroelectric microwave delay lines. Appl. Phys. Lett. 2005, 87, 103502. [Google Scholar] [CrossRef]
- Kuylenstierna, D.; Vorobiev, A.; Linner, P.; Gevorgian, S. Ultrawide-band tunable true-time delay lines using ferroelectric varactors. IEEE Trans. Microw. Theory Tech. 2005, 53, 2164–2170. [Google Scholar] [CrossRef]
- Courreges, S.; Zhao, Z.; Choi, K.; Hunt, A.; Papapolymerou, J. Electronically tunable ferroelectric devices for microwave applications. In Microwave and Millimeter Wave Technologies from Photonic Bandgap Devices to Antenna and Applications; Minin, I., Ed.; IntechOpen: London, UK, 2010; pp. 185–204. [Google Scholar]
- Kong, L.B.; Li, S.; Zhang, T.S.; Zhai, J.W.; Boey, F.Y.C.; Ma, J. Electrically tunable dielectric materials and strategies to improve their performances. Prog. Mater. Sci. 2010, 55, 840–893. [Google Scholar] [CrossRef]
- Liu, C.; Liu, P.; Yao, G.G.; Bian, X.B.; Jing, H.X.; Lu, X.G.; Gao, C.J. Improvement of dielectric thermal stability of BST ferroelectric material for tunable applications. Mater. Res. Bull. 2011, 46, 1510–1514. [Google Scholar] [CrossRef]
- Kuanr, B.K.; Veerakumar, V.; Marson, R.; Mishra, S.R.; Camley, R.E.; Celinski, Z. Nonreciprocal microwave devices based on magnetic nanowires. Appl. Phys. Lett. 2009, 94, 202505. [Google Scholar] [CrossRef]
- Tagantsev, A.K.; Sherman, V.O.; Astafiev, K.F.; Venkatesh, J.; Setter, N. Ferroelectric materials for microwave tunable applications. J. Electroceram. 2003, 11, 5–66. [Google Scholar] [CrossRef]
- He, Y.; Bahr, B.; Si, M.; Ye, P.; Weinstein, D. A tunable ferroelectric based unreleased RF resonator. Microsyst. Nanoeng. 2020, 6, 8. [Google Scholar] [CrossRef] [PubMed]
- Han, S.W.; Lee, C.H.; Shin, H.; Lee, J.H.; Cha, H.Y. Investigation of frequency-dependent permittivity tunability of P(VDF-TrFE) metal-ferroelectric-metal capacitor. Results Phys. 2019, 12, 469–470. [Google Scholar] [CrossRef]
- Tatarenko, A.S.; Bichurin, M.I. Microwave magnetoelectric devices. Adv. Condens. Matter Phys. 2012, 2012, 286562. [Google Scholar] [CrossRef]
- Yu, S.; Li, L.; Zhang, W.; Sun, Z.; Dong, H. Multilayer thin films with compositional PbZr0.52Ti0.48O3/Bi1.5Zn1.0Nb1.5O7 layers for tunable applications. Sci. Rep. 2015, 5, 10173. [Google Scholar] [CrossRef] [PubMed]
- Ahmed, A.; Goldthorpe, I.A.; Khandani, A.K. Electrically tunable materials for microwave applications. Appl. Phys. Rev. 2015, 2, 011302. [Google Scholar] [CrossRef]
- Nayak, M.; Tseng, T.Y. Dielectric tunability of barium strontium titanate films prepared by a sol–gel method. Thin Solid Film. 2002, 408, 194–199. [Google Scholar] [CrossRef]
- Doan, T.M.; Lu, L.; Lai, M.O. Thickness dependence of structure, tunable and pyroelectric properties of laser-ablated Ba(Zr0.25Ti0.75)O3 thin films. J. Phys. D Appl. Phys. 2010, 43, 035402. [Google Scholar] [CrossRef]
- Zhong, S.; Alpay, S.P.; Mantese, J.V. High dielectric tunability in ferroelectric-paraelectric bilayers and multilayer superlattices. Appl. Phys. Lett. 2006, 88, 132904. [Google Scholar] [CrossRef]
- Corredores, Y.; Le Febvrier, A.; Castel, X.; Sauleau, R.; Benzerga, R.; Députier, S.; Guilloux-Viry, M.; Mekadmini, A.; Martin, N.; Tanné, G. Study of ferroelectric/dielectric multilayers for tunable stub resonator applications at microwaves. Thin Solid Film. 2014, 553, 109–113. [Google Scholar] [CrossRef][Green Version]
- Liu, M.; Ma, C.; Collins, G.; Liu, J.; Chen, C.; Alemayehu, A.D.; Subramanyam, G.; Ding, Y.; Chen, J.; Dai, C.; et al. Ferroelectric BaTiO3/SrTiO3 multilayered thin films for room-temperature tunable microwave elements. Nanoscale Res. Lett. 2013, 8, 338. [Google Scholar] [CrossRef] [PubMed]
- Nguyen, M.D.; Nguyen, C.T.Q.; Vu, H.N.; Rijnders, G. Experimental evidence of breakdown strength and its effect on energy-storage performance in normal and relaxor ferroelectric films. Curr. Appl. Phys. 2019, 19, 1040–1045. [Google Scholar] [CrossRef]
- Nguyen, M.D.; Houwman, E.P.; Rijnders, G. Energy storage performance and electric breakdown field of thin relaxor ferroelectric PLZT films using microstructure and growth orientation control. J. Phys. Chem. C 2018, 122, 15171–15179. [Google Scholar] [CrossRef]
- Schneider, G.A. A Griffith type energy release rate model for dielectric breakdown under space charge limited conductivity. J. Mech. Phys. Solids 2013, 61, 78–90. [Google Scholar] [CrossRef]
- Helgee, B.; Bjellheim, P. Electric breakdown strength of aromatic polymers: Dependence on film thickness and chemical structure. IEEE Trans. Electr. Insul. 1991, 26, 1147–1152. [Google Scholar] [CrossRef]
- Kim, H.K.; Shi, F.G. Thickness dependent dielectric strength of a low-permittivity dielectric film. IEEE Trans. Dielectr. Electr. Insul. 2001, 8, 248–252. [Google Scholar] [CrossRef]
- Neusel, C.; Schneider, G.A. Size-dependence of the dielectric breakdown strength from nano- to millimeter scale. J. Mech. Phys. Solids 2014, 63, 201–213. [Google Scholar] [CrossRef]
- Neusel, C.; Schneider, G.A. Dependence of the breakdown strength on thickness and permittivity. In Proceedings of the 2013 IEEE International Conference on Solid Dielectrics (ICSD), Bologna, Italy, 30 June–4 July 2013; pp. 31–35. [Google Scholar]
- Schroeder, H.; Schmitz, S. Thickness dependence of leakage currents in high-permittivity thin films. Appl. Phys. Lett. 2003, 83, 4381–4383. [Google Scholar] [CrossRef]
- Zhang, Z.; Yang, Q.; Wu, S. Effect of SiO2 films with different thickness deposited on copper electrode surface for insulation properties of propylene carbonate. IEEE Trans. Dielectr. Electr. Insul. 2021, 28, 600–607. [Google Scholar] [CrossRef]
- Marincel, D.M.; Jesse, S.; Belianinov, A.; Okatan, M.B.; Kalinin, S.V.; Jackson, T.N.; Randall, C.A.; Trolier-McKinstry, S. A-site stoichiometry and piezoelectric response in thin film PbZr1−xTixO3. J. Appl. Phys. 2015, 117, 204104. [Google Scholar] [CrossRef]
- Hu, Z.; Ma, B.; Liu, S.; Narayanan, M.; Balachandran, U. Relaxor behavior and energy storage performance of ferroelectric PLZT thin films with different Zr/Ti ratios. Ceram. Inter. 2014, 40, 557–562. [Google Scholar] [CrossRef]
- Narayanan, M.; Tong, S.; Liu, S.; Ma, B.; Balachandran, U. Estimation of intrinsic contribution to dielectric response of Pb0.92La0.08Zr0.52Ti0.48O3 thin films at low frequencies using high bias fields. Appl. Phys. Lett. 2013, 102, 062906. [Google Scholar] [CrossRef]
- Tong, S.; Ma, B.; Narayanan, M.; Liu, S.; Koritala, R.; Balachandran, U.; Shi, D. Lead lanthanum zirconate titanate ceramic thin films for energy storage. ACS Appl. Mater. Interfaces 2013, 5, 1474–1480. [Google Scholar] [CrossRef]
- Ni, B.; Peng, D.; Wu, W.; Meng, Z. Tunable properties of PbxSr1-xTiO3 thin films. In Proceedings of the Fifth International Conference on Thin Film Physics and Applications (Proc. SPIE 5774), Shanghai, China, 31 May—2 June 2004; SPIE: Shanghai, China, 2004; Volume 5774, pp. 250–253. [Google Scholar]
- Song, S.; Zhai, J.; Gao, L.; Yao, X.; Lu, S.; Xu, Z. Thickness-dependent dielectric and tunable properties of barium stannate titanate thin films. J. Appl. Phys. 2009, 106, 024104. [Google Scholar] [CrossRef]
- Sun, X.; Yang, Y.; Zhang, Q.; Zhou, X.; Hu, Z.; Huang, C. Enhanced dielectric and tunable properties of barium strontium titanate thin films through introducing Nd(Zn1/2Ti1/2)O3 and adjusting Ba/Sr. J. Mater. Sci. 2014, 49, 1058–1065. [Google Scholar] [CrossRef]
- Alema, F.; Pokhodnya, K. Dielectric properties of BaMg1∕3Nb2∕3O3 doped Ba0.45Sr0.55TiO3 thin films for tunable microwave applications. J. Adv. Dielectr. 2015, 5, 1550030. [Google Scholar] [CrossRef]
- Gariglio, S.; Stucki, N.; Triscone, J.M.; Triscone, G. Strain relaxation and critical temperature in epitaxial ferroelectric Pb(Zr0.20Ti0.80)O3 thin films. Appl. Phys. Lett. 2007, 90, 202905. [Google Scholar] [CrossRef]
- Hu, Q.; Wei, X. Abnormal phase transition and polarization mismatch phenomena in BaTiO3-based relaxor ferroelectrics. J. Adv. Dielectr. 2019, 09, 1930002. [Google Scholar] [CrossRef]
- Bhattarai, M.K.; Mishra, K.K.; Dugu, S.; Instan, A.A.; Katiyar, R.S. Ferroelectric ordering and energy storage density of thin films capacitor by doping La3+ and Sc3+ on Pb(Zr0.53Ti0.47)O3 using pulse laser deposition technique. Appl. Phys. Lett. 2019, 114, 223902. [Google Scholar] [CrossRef]
- Nguyen, M.D.; Houwman, E.P.; Do, M.T.; Rijnders, G. Relaxor-ferroelectric thin film heterostructure with large imprint for high energy-storage performance at low operating voltage. Energy Storage Mater. 2020, 25, 193–201. [Google Scholar] [CrossRef]
- Polinger, V.; Bersuker, I.B. Origin of polar nanoregions and relaxor properties of ferroelectrics. Phys. Rev. B 2018, 98, 214102. [Google Scholar] [CrossRef]
- Xu, G.; Zhong, Z.; Bing, Y.; Ye, Z.G.; Shirane, G. Electric-field-induced redistribution of polar nano-regions in a relaxor ferroelectric. Nat. Mater. 2006, 5, 134–140. [Google Scholar] [CrossRef] [PubMed]
- Liu, N.; Dittmer, R.; Stark, R.W.; Dietz, C. Visualization of polar nanoregions in lead-free relaxors via piezoresponse force microscopy in torsional dual AC resonance tracking mode. Nanoscale 2015, 7, 11787–11796. [Google Scholar] [CrossRef]
- Zhou, M.; Liang, R.; Zhou, Z.; Dong, X. Combining high energy efficiency and fast charge-discharge capability in novel BaTiO3-based relaxor ferroelectric ceramic for energy-storage. Ceram. Inter. 2019, 45, 3582–3590. [Google Scholar] [CrossRef]
- Pan, H.; Ma, J.; Ma, J.; Zhang, Q.; Liu, X.; Guan, B.; Gu, L.; Zhang, X.; Zhang, Y.J.; Li, L.; et al. Giant energy density and high efficiency achieved in bismuth ferrite-based film capacitors via domain engineering. Nat. Commun. 2018, 9, 1813. [Google Scholar] [CrossRef] [PubMed]
- Kim, J.; Saremi, S.; Acharya, M.; Velarde, G.; Parsonnet, E.; Donahue, P.; Qualls, A.; Garcia, D.; Martin, L.W. Ultrahigh capacitive energy density in ion-bombarded relaxor ferroelectric films. Science 2020, 369, 81–84. [Google Scholar] [CrossRef]
- Nguyen, M.D.; Houwman, E.P.; Dekkers, M.; Nguyen, C.T.Q.; Vu, H.N.; Rijnders, G. Enhanced energy storage density and energy efficiency of epitaxial Pb0.9La0.1(Zr0.52Ti0.48)O3 relaxor-ferroelectric thin-films deposited on silicon by pulsed laser deposition. APL Mater. 2016, 4, 080701. [Google Scholar] [CrossRef]
- Gong, G.; Zerihun, G.; Fang, Y.; Huang, S.; Yin, C.; Yuan, S. Relaxor behavior and large room-temperature polarization of ferroelectric Sr4CaBiTi3Nb7O30 ceramics. J. Am. Ceram. Soc. 2015, 98, 109–113. [Google Scholar] [CrossRef]
- Liu, X.; Fan, H.; Shi, J.; Li, Q. Origin of anomalous giant dielectric performance in novel perovskite: Bi0.5−xLaxNa0.5−xLixTi1−yMyO3 (M = Mg2+, Ga3+). Sci. Rep. 2015, 5, 12699. [Google Scholar] [CrossRef]
- Liu, Y.; Lin, Y.T.; Haibibu, A.; Xu, W.; Zhou, Y.; Li, L.; Kim, S.H.; Wang, Q. Relaxor ferroelectric polymers: Insight into high electrical energy storage properties from a molecular perspective. Small Sci. 2021, 1, 2000061. [Google Scholar] [CrossRef]
- Ma, B.; Hu, Z.; Liu, S.; Tong, S.; Narayanan, M.; Koritala, R.E.; Balachandran, U. Temperature-dependent dielectric nonlinearity of relaxor ferroelectric Pb0.92La0.08Zr0.52Ti0.48O3 thin films. Appl. Phys. Lett. 2013, 102, 202901. [Google Scholar] [CrossRef]
- Zhang, L.; Zhao, C.; Zheng, T.; Wu, J. Large electrocaloric response with superior temperature stability in NaNbO3-based relaxor ferroelectrics benefiting from the crossover region. J. Mater. Chem. A 2021, 9, 2806–2814. [Google Scholar] [CrossRef]
- Dang, H.T.; Trinh, T.T.; Nguyen, C.T.Q.; Do, T.V.; Nguyen, M.D.; Vu, H.N. Enhancement of relaxor behavior by La doping and its influence on the energy storage performance and electric breakdown strength of ferroelectric Pb(Zr0.52Ti0.48)O3 thin films. Mater. Chem. Phys. 2019, 234, 210–216. [Google Scholar] [CrossRef]
- Li, J.; Li, J.; Qin, S.; Su, X.; Qiao, L.; Wang, Y.; Lookman, T.; Bai, Y. Effects of long- and short-range ferroelectric order on the electrocaloric effect in relaxor ferroelectric ceramics. Phys. Rev. Appl. 2019, 11, 044032. [Google Scholar] [CrossRef]
- Wu, J.; Zhang, H.; Huang, C.H.; Tseng, C.W.; Meng, N.; Koval, V.; Chou, Y.C.; Zhang, Z.; Yan, H. Ultrahigh field-induced strain in lead-free ceramics. Nano Energy 2020, 76, 105037. [Google Scholar] [CrossRef]
- Sun, R.; Wang, X.; Shi, J.; Wang, L. Dielectric and polar order behaviors of BaTiO3-Bi(Mg1/2Ti1/2)O3 ceramics. Appl. Phys. A 2011, 104, 129–133. [Google Scholar] [CrossRef]
- Beloborodov, R.; Pervukhina, M.; Han, T.; Josh, M. Experimental characterization of dielectric properties in fluid saturated artificial shales. Geofluids 2017, 2017, 1019461. [Google Scholar] [CrossRef]
- Wilson, J.N.; Frost, J.M.; Wallace, S.K.; Walsh, A. Dielectric and ferroic properties of metal halide perovskites. APL Mater. 2019, 7, 010901. [Google Scholar] [CrossRef]
- Rayssi, C.; El Kossi, S.; Dhahri, J.; Khirouni, K. Frequency and temperature-dependence of dielectric permittivity and electric modulus studies of the solid solution Ca0.85Er0.1Ti1−xCo4x/3O3 (0 ≤ x ≤ 0.1). RSC Adv. 2018, 8, 17139–17150. [Google Scholar] [CrossRef]
- Waser, R.; Hagenbeck, R. Grain boundaries in dielectric and mixed-conducting ceramics. Acta Mater. 2000, 48, 797–825. [Google Scholar] [CrossRef]
- Iwamoto, M. Maxwell–Wagner effect. In Encyclopedia of Nanotechnology; Bhushan, B., Ed.; Springer: Dordrecht, The Netherlands, 2012; pp. 1276–1285. [Google Scholar]
- Li, Y.J.; Chen, X.M.; Hou, R.Z.; Tang, T.H. Maxwell–Wagner characterization of dielectric relaxation in Ni0.8Zn0.2Fe2O4/Sr0.5Ba0.5Nb2O6 composite. Solid State Commun. 2006, 137, 120–125. [Google Scholar] [CrossRef]
- Mohapatra, A.; Das, P.R.; Choudhary, R.N.P. Structural and electrical properties of La modified Bi5Ti3FeO15 ceramics. J. Mater. Sci. Mater. Electron. 2015, 26, 3035–3043. [Google Scholar] [CrossRef]
- García, J.E.; Pérez, R.; Ochoa, D.A.; Albareda, A.; Lente, M.H.; Eiras, J.A. Evaluation of domain wall motion in lead zirconate titanate ceramics by nonlinear response measurements. J. Appl. Phys. 2008, 103, 054108. [Google Scholar] [CrossRef]
- Denis, L.M.; Esteves, G.; Walker, J.; Jones, J.L.; Trolier-McKinstry, S. Thickness dependent response of domain wall motion in declamped {001} Pb(Zr0.3Ti0.7)O3 thin films. Acta Mater. 2018, 151, 243–252. [Google Scholar] [CrossRef]
- Taylor, D.V.; Damjanovic, D. Evidence of domain wall contribution to the dielectric permittivity in PZT thin films at sub-switching fields. J. Appl. Phys. 1997, 82, 1973–1975. [Google Scholar] [CrossRef]
- Damjanovic, D. Logarithmic frequency dependence of the piezoelectric effect due to pinning of ferroelectric-ferroelastic domain walls. Phys. Rev. B 1997, 55, R649–R652. [Google Scholar] [CrossRef]
- Pérez de la Cruz, J.; Joanni, E.; Vilarinho, P.M.; Kholkin, A.L. Thickness effect on the dielectric, ferroelectric, and piezoelectric properties of ferroelectric lead zirconate titanate thin films. J. Appl. Phys. 2010, 108, 114106. [Google Scholar] [CrossRef]
- Gong, W.; Li, J.F.; Chu, X.; Gui, Z.; Li, L. Combined effect of preferential orientation and Zr/Ti atomic ratio on electrical properties of Pb(ZrxTi1−x)O3 thin films. J. Appl. Phys. 2004, 96, 590–595. [Google Scholar] [CrossRef]
- Oh, J.; Moon, T.; Kim, T.G.; Kim, C.; Lee, J.H.; Lee, S.Y.; Park, B. The dependence of dielectric properties on the thickness of (Ba,Sr)TiO3 thin films. Curr. Appl. Phys. 2007, 7, 168–171. [Google Scholar] [CrossRef]
- Do, M.T.; Gauquelin, N.; Nguyen, M.D.; Wang, J.; Verbeeck, J.; Blom, F.; Koster, G.; Houwman, E.P.; Rijnders, G. Interfacial dielectric layer as an origin of polarization fatigue in ferroelectric capacitors. Sci. Rep. 2020, 10, 7310. [Google Scholar] [CrossRef] [PubMed]
- Yang, H.; Suvorova, N.A.; Jain, M.; Kang, B.S.; Li, Y.; Hawley, M.E.; Dowden, P.C.; DePaula, R.F.; Jia, Q.X.; Lu, C.J. Effective thickness and dielectric constant of interfacial layers of Pt∕Bi3.15Nd0.85Ti3O12∕SrRuO3 capacitors. Appl. Phys. Lett. 2007, 90, 232909. [Google Scholar] [CrossRef]
- Basceri, C.; Streiffer, S.K.; Kingon, A.I.; Waser, R. The dielectric response as a function of temperature and film thickness of fiber-textured (Ba,Sr)TiO3 thin films grown by chemical vapor deposition. J. Appl. Phys. 1997, 82, 2497–2504. [Google Scholar] [CrossRef]
- Thiruramanathan, P.; Sankar, S.; Marikani, A.; Madhavan, D.; Sharma, S.K. Thickness dependent structural and dielectric properties of calcium copper titanate thin films produced by spin-coating method for microelectronic devices. J. Electron. Mater. 2017, 46, 4468–4477. [Google Scholar] [CrossRef]
- Jaiswal, A.; Das, R.; Maity, T.; Poddar, P. Dielectric and spin relaxation behaviour in DyFeO3 nanocrystals. J. Appl. Phys. 2011, 110, 124301. [Google Scholar] [CrossRef]
- Tang, R.; Jiang, C.; Qian, W.; Jian, J.; Zhang, X.; Wang, H.; Yang, H. Dielectric relaxation, resonance and scaling behaviors in Sr3Co2Fe24O41 hexaferrite. Sci. Rep. 2015, 5, 13645. [Google Scholar] [CrossRef]
- Placeres-Jiménez, R.; Rino, J.P.; Eiras, J.A. Modeling ferroelectric permittivity dependence on electric field and estimation of the intrinsic and extrinsic contributions. J. Phys. D Appl. Phys. 2015, 48, 035304. [Google Scholar] [CrossRef]
- Placeres-Jiménez, R.; Rino, J.P.; Gonçalves, A.M.; Eiras, J.A. Nonlinear dielectric response and transient current: An effective potential for ferroelectric domain wall displacement. Appl. Phys. Lett. 2013, 103, 112901. [Google Scholar] [CrossRef]
- Cheng, Z.Y.; Katiyar, R.S.; Yao, X.; Bhalla, A.S. Temperature dependence of the dielectric constant of relaxor ferroelectrics. Phys. Rev. B 1998, 57, 8166–8177. [Google Scholar] [CrossRef]






Publisher’s Note: MDPI stays neutral with regard to jurisdictional claims in published maps and institutional affiliations. |
© 2021 by the authors. Licensee MDPI, Basel, Switzerland. This article is an open access article distributed under the terms and conditions of the Creative Commons Attribution (CC BY) license (https://creativecommons.org/licenses/by/4.0/).
Share and Cite
Nguyen, M.D.; Tran, D.T.; Dang, H.T.; Nguyen, C.T.Q.; Rijnders, G.; Vu, H.N. Relaxor-Ferroelectric Films for Dielectric Tunable Applications: Effect of Film Thickness and Applied Electric Field. Materials 2021, 14, 6448. https://doi.org/10.3390/ma14216448
Nguyen MD, Tran DT, Dang HT, Nguyen CTQ, Rijnders G, Vu HN. Relaxor-Ferroelectric Films for Dielectric Tunable Applications: Effect of Film Thickness and Applied Electric Field. Materials. 2021; 14(21):6448. https://doi.org/10.3390/ma14216448
Chicago/Turabian StyleNguyen, Minh D., Doan T. Tran, Ha T. Dang, Chi T. Q. Nguyen, Guus Rijnders, and Hung N. Vu. 2021. "Relaxor-Ferroelectric Films for Dielectric Tunable Applications: Effect of Film Thickness and Applied Electric Field" Materials 14, no. 21: 6448. https://doi.org/10.3390/ma14216448
APA StyleNguyen, M. D., Tran, D. T., Dang, H. T., Nguyen, C. T. Q., Rijnders, G., & Vu, H. N. (2021). Relaxor-Ferroelectric Films for Dielectric Tunable Applications: Effect of Film Thickness and Applied Electric Field. Materials, 14(21), 6448. https://doi.org/10.3390/ma14216448
