In Vivo Study for Clinical Application of Dental Stem Cell Therapy Incorporated with Dental Titanium Implants
Abstract
1. Introduction
2. Materials and Methods
2.1. Titanium Surface Preparation
2.2. Cell Preparation
2.3. Surface Analysis by SEM
2.4. Quantitative RT-PCR
2.5. Preparation of Customized Implant and Animal Preparation and In Vivo d-hMSC Transplant
2.6. Radiological Analysis
2.7. Histological and Histomorphometric Analysis (H&E, Russell-Movat Pentachrome: Bone Volume, Bone-Implant Contact) and Immunohistochemistry (Human nuclei A, BrdU)
2.8. Statistical Analysis
3. Results
3.1. Surface Analysis by SEM
3.2. Expression of Osteogenic Genes of d-hMSCs (RT-PCR)
3.3. Radiological Analysis
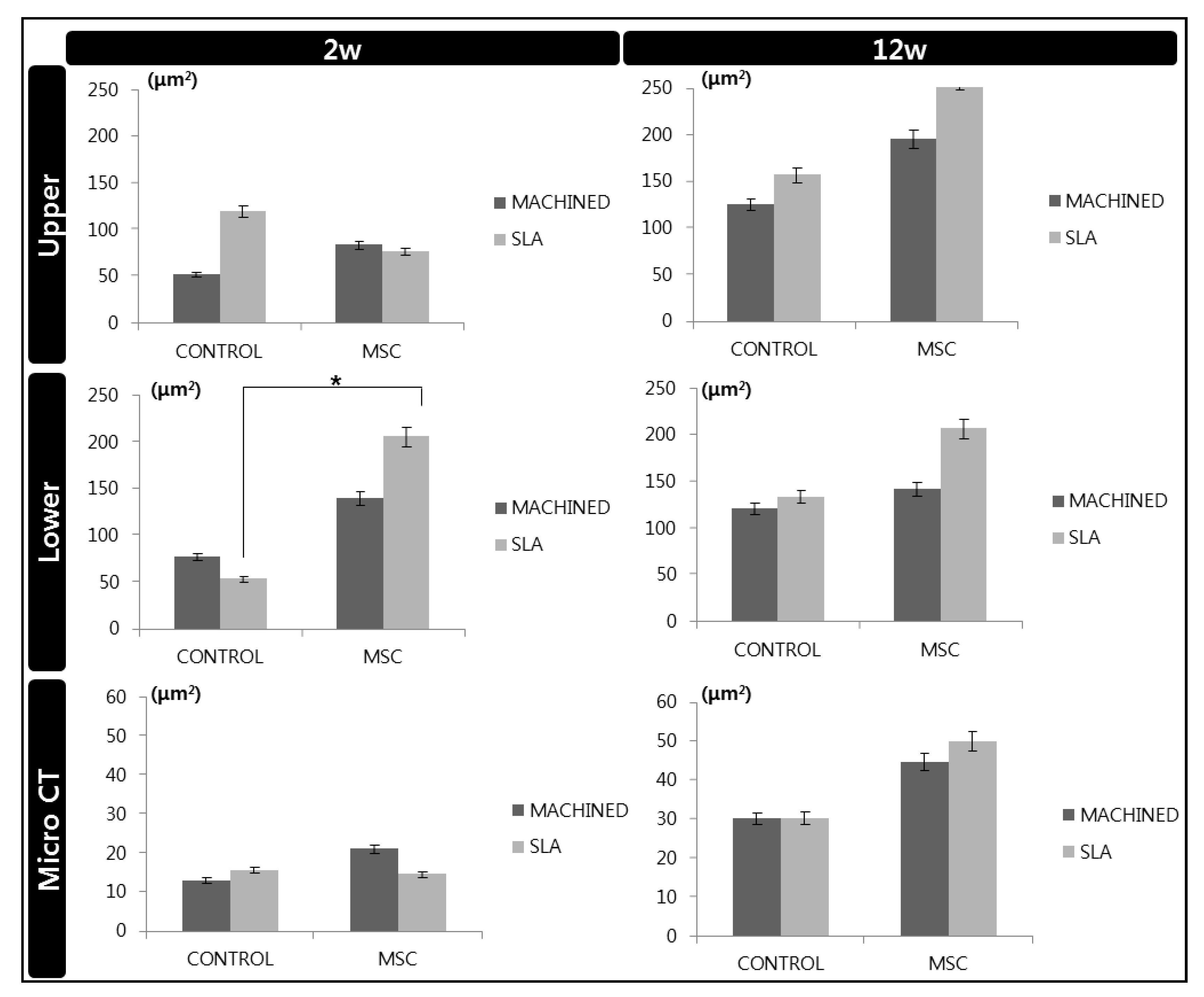
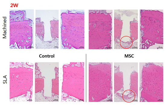
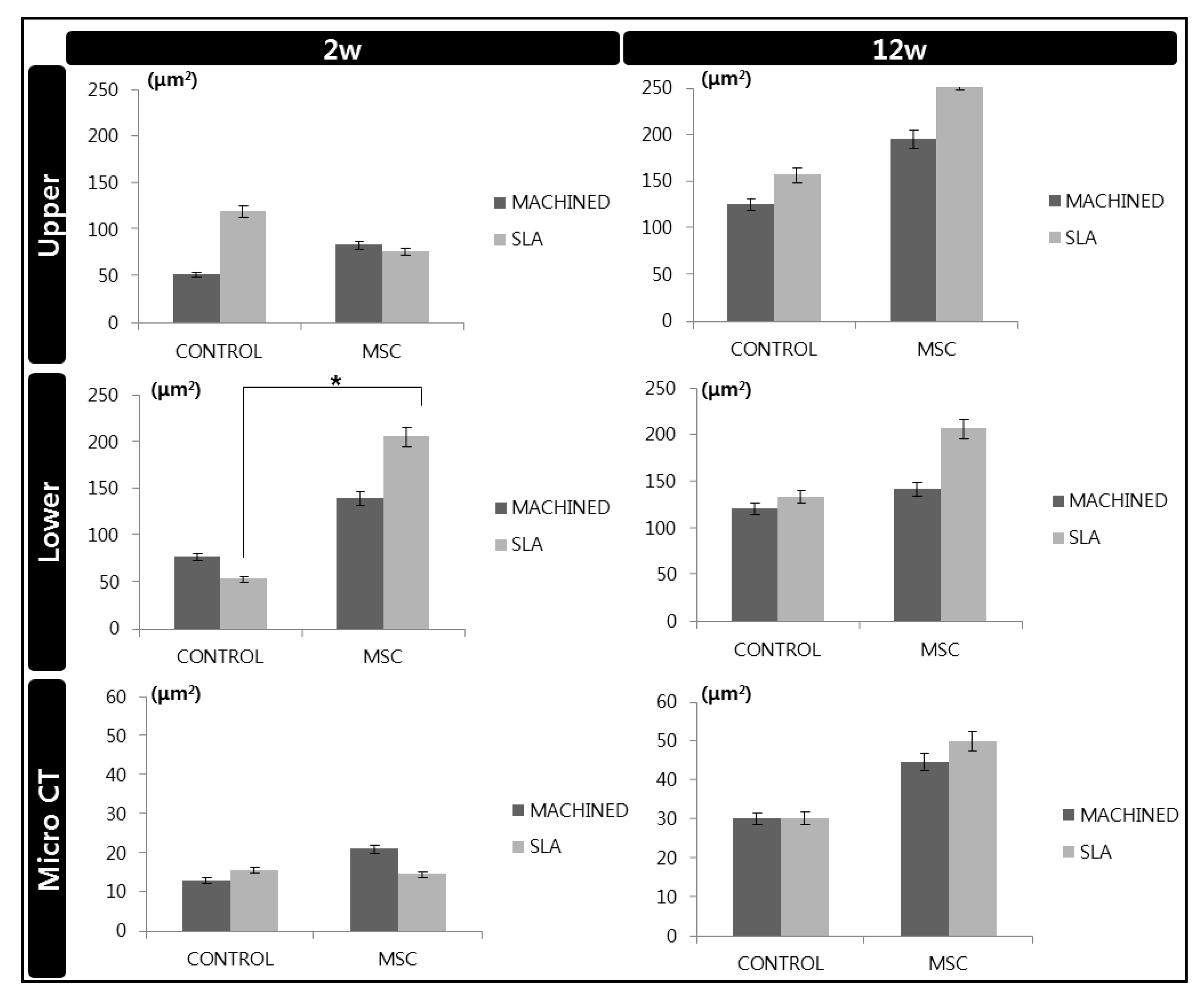
3.4. Histological and Histomorphometric Analysis (H&E, Russell-Movat Pentachrome: BIC, BV)
3.5. Immunohistochemistry
4. Discussion
5. Conclusions
Author Contributions
Funding
Institutional Review Board Statement
Data Availability Statement
Conflicts of Interest
References
- Wang, C.Y.; Zhao, B.H.; Ai, H.J.; Wang, Y.W. Comparison of biological characteristics of mesenchymal stem cells grown on two different titanium implant surfaces. Biomed. Mater. 2008, 3, 015004. [Google Scholar] [CrossRef]
- Mante, M.; Daniels, B.; Golden, E.; Diefenderfer, D.; Reilly, G.; Leboy, P.S. Attachment of human marrow stromal cells to titanium surfaces. J. Oral Implantol. 2003, 29, 66–72. [Google Scholar] [CrossRef]
- Logan, N.; Brett, P. The Control of Mesenchymal Stromal Cell Osteogenic Differentiation through Modified Surfaces. Stem Cells Int. 2013, 2013, 361637. [Google Scholar] [CrossRef]
- Cochran, D.L.; Nummikoski, P.V.; Higginbottom, F.L.; Hermann, J.S.; Makins, S.R.; Buser, D. Evaluation of an endosseous titanium implant with a sandblasted and acid-etched surface in the canine mandible: Radiographic results. Clin. Oral Implant. Res. 1996, 7, 240–252. [Google Scholar] [CrossRef]
- Eom, T.G.; Jeon, G.R.; Jeong, C.M.; Kim, Y.K.; Kim, S.G.; Cho, I.H.; Cho, Y.S.; Oh, J.S. Experimental study of bone response to hydroxyapatite coating implants: Bone-implant contact and removal torque test. Oral Surg. Oral Med. Oral Pathol. Oral Radiol. 2012, 114, 411–418. [Google Scholar] [CrossRef]
- Duske, K.; Koban, I.; Kindel, E.; Schroder, K.; Nebe, B.; Holtfreter, B.; Jablonowski, L.; Weltmann, K.D.; Kocher, T. Atmospheric plasma enhances wettability and cell spreading on dental implant metals. J. Clin. Periodontol. 2012, 39, 400–407. [Google Scholar] [CrossRef]
- Ogawa, T. Ultraviolet photofunctionalization of titanium implants. Int. J. Oral Maxillofac. Implant. 2014, 29, e95–e102. [Google Scholar] [CrossRef]
- Kim, M.Y.; Choi, H.; Lee, J.H.; Kim, J.H.; Jung, H.S.; Kim, J.H.; Park, Y.B.; Moon, H.S. UV Photofunctionalization Effect on Bone Graft in Critical One-Wall Defect around Implant: A Pilot Study in Beagle Dogs. BioMed Res. Int. 2016, 2016, 4385279. [Google Scholar] [CrossRef]
- Klinker, M.W.; Wei, C.H. Mesenchymal stem cells in the treatment of inflammatory and autoimmune diseases in experimental animal models. World J. Stem Cells 2015, 7, 556–567. [Google Scholar] [CrossRef]
- Pileggi, A. Mesenchymal stem cells for the treatment of diabetes. Diabetes 2012, 61, 1355–1356. [Google Scholar] [CrossRef] [PubMed]
- Martin-Rendon, E.; Brunskill, S.J.; Hyde, C.J.; Stanworth, S.J.; Mathur, A.; Watt, S.M. Autologous bone marrow stem cells to treat acute myocardial infarction: A systematic review. Eur. Heart J. 2008, 29, 1807–1818. [Google Scholar] [CrossRef]
- Vainshtein, J.M.; Kabarriti, R.; Mehta, K.J.; Roy-Chowdhury, J.; Guha, C. Bone marrow-derived stromal cell therapy in cirrhosis: Clinical evidence, cellular mechanisms, and implications for the treatment of hepatocellular carcinoma. Int. J. Radiat. Oncol. Biol. Phys. 2014, 89, 786–803. [Google Scholar] [CrossRef]
- Davies, J.E. Mechanisms of endosseous integration. Int. J. Prosthodont. 1998, 11, 391–401. [Google Scholar]
- Davies, J.E. Understanding peri-implant endosseous healing. J. Dent. Educ. 2003, 67, 932–949. [Google Scholar] [CrossRef]
- Bigerelle, M.; Anselme, K.; Noel, B.; Ruderman, I.; Hardouin, P.; Iost, A. Improvement in the morphology of Ti-based surfaces: A new process to increase in vitro human osteoblast response. Biomaterials 2002, 23, 1563–1577. [Google Scholar] [CrossRef]
- Yang, Y.; Tian, J.; Deng, L.; Ong, J.L. Morphological behavior of osteoblast-like cells on surface-modified titanium in vitro. Biomaterials 2002, 23, 1383–1389. [Google Scholar] [CrossRef]
- Ku, C.H.; Pioletti, D.P.; Browne, M.; Gregson, P.J. Effect of different Ti-6Al-4V surface treatments on osteoblasts behaviour. Biomaterials 2002, 23, 1447–1454. [Google Scholar] [CrossRef]
- Mayr-Wohlfart, U.; Fiedler, J.; Gunther, K.P.; Puhl, W.; Kessler, S. Proliferation and differentiation rates of a human osteoblast-like cell line (SaOS-2) in contact with different bone substitute materials. J. Biomed. Mater. Res. 2001, 57, 132–139. [Google Scholar] [CrossRef]
- Shi, S.R.; Shi, Y.; Taylor, C.R. Antigen retrieval immunohistochemistry: Review and future prospects in research and diagnosis over two decades. J. Histochem. Cytochem. 2011, 59, 13–32. [Google Scholar] [CrossRef]
- McAllister, B.S. Stem cell-containing allograft matrix enhances periodontal regeneration: Case presentations. Int. J. Periodontics Restor. Dent. 2011, 31, 149–155. [Google Scholar]
- McAllister, B.S.; Haghighat, K.; Gonshor, A. Histologic evaluation of a stem cell-based sinus-augmentation procedure. J. Periodontol. 2009, 80, 679–686. [Google Scholar] [CrossRef]
- Park, J.B. Use of cell-based approaches in maxillary sinus augmentation procedures. J. Craniofacial Surg. 2010, 21, 557–560. [Google Scholar] [CrossRef]
- Razzouk, S.; Schoor, R. Mesenchymal stem cells and their challenges for bone regeneration and osseointegration. J. Periodontol. 2012, 83, 547–550. [Google Scholar] [CrossRef]
- Fischer, U.M.; Harting, M.T.; Jimenez, F.; Monzon-Posadas, W.O.; Xue, H.; Savitz, S.I.; Laine, G.A.; Cox, C.S. Pulmonary passage is a major obstacle for intravenous stem cell delivery: The pulmonary first-pass effect. Stem Cells Dev. 2009, 18, 683–692. [Google Scholar] [CrossRef]
- Morad, G.; Kheiri, L.; Khojasteh, A. Dental pulp stem cells for in vivo bone regeneration: A systematic review of literature. Arch. Oral Biol. 2013, 58, 1818–1827. [Google Scholar] [CrossRef]
- Bright, R.; Hynes, K.; Gronthos, S.; Bartold, P.M. Periodontal ligament-derived cells for periodontal regeneration in animal models: A systematic review. J. Periodontal Res. 2015, 50, 160–172. [Google Scholar] [CrossRef]
- Choi, H.; Park, K.H.; Lee, A.R.; Mun, C.H.; Shin, Y.D.; Park, Y.B.; Park, Y.B. Control of dental-derived induced pluripotent stem cells through modified surfaces for dental application. Acta Odontol. Scand. 2017, 75, 309–318. [Google Scholar] [CrossRef]
- Barone, A.; Toti, P.; Bertossi, D.; Marconcini, S.; De Santis, D.; Nocini, P.F.; Abdel, M.P.; Kakar, S.; Dietz, A.B.; Cohen, R.C.; et al. Gene Expression of Human Mesenchymal Stem Cells Cultured on Titanium Dental Implant Surfaces. J. Craniofacial Surg. 2016, 27, 712–717. [Google Scholar] [CrossRef]
- Inzunza, D.; Covarrubias, C.; Von Marttens, A.; Leighton, Y.; Carvajal, J.C.; Valenzuela, F.; Díaz-Dosque, M.; Méndez, N.; Martínez, C.; Pino, A.M.; et al. Synthesis of nanostructured porous silica coatings on titanium and their cell adhesive and osteogenic differentiation properties. J. Biomed. Mater. Res. Part A 2014, 102, 37–48. [Google Scholar] [CrossRef]
- Olivares-Navarrete, R.; Hyzy, S.L.; Park, J.H.; Dunn, G.R.; Haithcock, D.A.; Wasilewski, C.E.; Boyan, B.D.; Schwartz, Z. Mediation of osteogenic differentiation of human mesenchymal stem cells on titanium surfaces by a Wnt-integrin feedback loop. Biomaterials 2011, 32, 6399–6411. [Google Scholar] [CrossRef]
- Yao, X.; Peng, R.; Ding, J. Effects of aspect ratios of stem cells on lineage commitments with and without induction media. Biomaterials 2013, 34, 930–939. [Google Scholar] [CrossRef]
- Janson, I.A.; Putnam, A.J. Extracellular matrix elasticity and topography: Material-based cues that affect cell function via conserved mechanisms. J. Biomed. Mater. Res. Part A 2015, 103, 1246–1258. [Google Scholar] [CrossRef]
- Ko, J.Y.; Park, S.; Im, G.I. Osteogenesis from human induced pluripotent stem cells: An in vitro and in vivo comparison with mesenchymal stem cells. Stem Cells Dev. 2014, 23, 1788–1797. [Google Scholar] [CrossRef]
- Tortelli, F.; Tasso, R.; Loiacono, F.; Cancedda, R. The development of tissue-engineered bone of different origin through endochondral and intramembranous ossification following the implantation of mesenchymal stem cells and osteoblasts in a murine model. Biomaterials 2010, 31, 242–249. [Google Scholar] [CrossRef]
- Le Blanc, K.; Pittenger, M. Mesenchymal stem cells: Progress toward promise. Cytotherapy 2005, 7, 36–45. [Google Scholar] [CrossRef]
- Le Blanc, K.; Rasmusson, I.; Sundberg, B.; Gotherstrom, C.; Hassan, M.; Uzunel, M.; Ringdén, O. Treatment of severe acute graft-versus-host disease with third party haploidentical mesenchymal stem cells. Lancet 2004, 363, 1439–1441. [Google Scholar] [CrossRef]
- Piattelli, A.; Scarano, A.; Piattelli, M. Detection of alkaline and acid phosphatases around titanium implants: A light microscopical and histochemical study in rabbits. Biomaterials 1995, 16, 1333–1338. [Google Scholar] [CrossRef]
- Sotiropoulou, P.A.; Perez, S.A.; Salagianni, M.; Baxevanis, C.N.; Papamichail, M. Characterization of the optimal culture conditions for clinical scale production of human mesenchymal stem cells. Stem Cells 2006, 24, 462–471. [Google Scholar] [CrossRef]
- Paschos, N.K.; Brown, W.E.; Eswaramoorthy, R.; Hu, J.C.; Athanasiou, K.A. Advances in tissue engineering through stem cell-based co-culture. J. Tissue Eng. Regen. Med. 2015, 9, 488–503. [Google Scholar] [CrossRef] [PubMed]
- Carrancio, S.; Lopez-Holgado, N.; Sanchez-Guijo, F.M.; Villaron, E.; Barbado, V.; Tabera, S.; Díez-Campelo, M.; Blanco, J.; San Miguel, J.F.; del Cañizo, M.C.; et al. Optimization of mesenchymal stem cell expansion procedures by cell separation and culture conditions modification. Exp. Hematol. 2008, 36, 1014–1021. [Google Scholar] [CrossRef] [PubMed]
- Bieback, K.; Hecker, A.; Kocaomer, A.; Lannert, H.; Schallmoser, K.; Strunk, D.; Klüter, H. Human alternatives to fetal bovine serum for the expansion of mesenchymal stromal cells from bone marrow. Stem Cells 2009, 27, 2331–2341. [Google Scholar] [CrossRef] [PubMed]














| Gene Name | Gene ID | Sequences | Am Pliconlength (bp) |
|---|---|---|---|
| Hum: an GAPDH F | M33197.1 | cgaccactttgteaagetea | 203 |
| Human GAPDH R | aggggagatteagtgtggtg | ||
| Human IBSP F | NM_004967.3 | egecaatgaatacgacaatg | 196 |
| Human IBSP R | gatgcaaagccagaatggat | ||
| Human COL1A1 F | NM_000088.3 | ggeccagaagaactggtaca | 200 |
| Human COLIA1 R | cgetgttettgcagtggtag | ||
| Human BGLAP F | NM_199173.4 | ggcagegaggtagtgaagag | 194 |
| Human BGLAP R | agcagagegacacectagac | ||
| Human RUNX2 F | NM_001015051.3 | agtgccagetgcatectatt | 201 |
| Hum an RUNX2 R | tgettgaattteccaagg |
| No. of Samples | No. of Animals | 2 Week Group | 12 Week Group | ||
|---|---|---|---|---|---|
| Control machined | 10 | 5 | 10 | 5 | |
| Control SLA | 10 | 10 | |||
| d-MSC machined | 10 | 5 | 10 | 5 | |
| d-MSC SLA | 10 | 10 | |||
Publisher’s Note: MDPI stays neutral with regard to jurisdictional claims in published maps and institutional affiliations. |
© 2021 by the authors. Licensee MDPI, Basel, Switzerland. This article is an open access article distributed under the terms and conditions of the Creative Commons Attribution (CC BY) license (http://creativecommons.org/licenses/by/4.0/).
Share and Cite
Choi, H.; Park, K.-H.; Jung, N.; Shim, J.-S.; Moon, H.-S.; Kim, H.-J.; Oh, S.-H.; Kim, Y.Y.; Ku, S.-Y.; Park, Y.-B. In Vivo Study for Clinical Application of Dental Stem Cell Therapy Incorporated with Dental Titanium Implants. Materials 2021, 14, 381. https://doi.org/10.3390/ma14020381
Choi H, Park K-H, Jung N, Shim J-S, Moon H-S, Kim H-J, Oh S-H, Kim YY, Ku S-Y, Park Y-B. In Vivo Study for Clinical Application of Dental Stem Cell Therapy Incorporated with Dental Titanium Implants. Materials. 2021; 14(2):381. https://doi.org/10.3390/ma14020381
Chicago/Turabian StyleChoi, Hyunmin, Kyu-Hyung Park, Narae Jung, June-Sung Shim, Hong-Seok Moon, Hyung-Jun Kim, Seung-Han Oh, Yoon Young Kim, Seung-Yup Ku, and Young-Bum Park. 2021. "In Vivo Study for Clinical Application of Dental Stem Cell Therapy Incorporated with Dental Titanium Implants" Materials 14, no. 2: 381. https://doi.org/10.3390/ma14020381
APA StyleChoi, H., Park, K.-H., Jung, N., Shim, J.-S., Moon, H.-S., Kim, H.-J., Oh, S.-H., Kim, Y. Y., Ku, S.-Y., & Park, Y.-B. (2021). In Vivo Study for Clinical Application of Dental Stem Cell Therapy Incorporated with Dental Titanium Implants. Materials, 14(2), 381. https://doi.org/10.3390/ma14020381

