Rigid Polyurethane Foams Modified with Biochar
Abstract
:1. Introduction
2. Materials and Methods
2.1. Materials
2.2. Preparation of Rigid Polyurethane Foams
2.3. Methods
3. Results
3.1. Rheological Properties
3.2. Foaming Process and Cell Structure of Rigid Polyurethane Foams with BioC
3.3. Compressive Strength and Dimensional Stability of Rigid Polyurethane Foams with Biochar
4. Conclusions
Author Contributions
Funding
Institutional Review Board Statement
Informed Consent Statement
Data Availability Statement
Conflicts of Interest
References
- Behazin, E.; Misra, M.; Mohanty, A.K. Sustainable Biocomposites from Pyrolyzed Grass and Toughened Polypropylene: Structure-Property Relationships. ACS Omega 2017, 2, 2191–2199. [Google Scholar] [CrossRef] [Green Version]
- Leszczyńska, M.; Ryszkowska, J.; Szczepkowski, L.; Kurańska, M.; Prociak, A.; Leszczyński, M.K.; Gloc, M.; Antos-Bielska, M.; Mizera, K. Cooperative effect of rapeseed oil-based polyol and egg shells on the structure and properties of rigid polyurethane foams. Polym. Test. 2020, 90, 106696. [Google Scholar] [CrossRef]
- Kairyte, A.; Kremensas, A.; Vaitkus, S.; Członka, S.; Strakowska, A. Fire suppression and thermal behavior of biobased rigid polyurethane foam filled with biomass incinerationwaste ash. Polymers 2020, 12, 683. [Google Scholar] [CrossRef] [Green Version]
- Zhang, C.; Zhang, L.; Gao, J.; Zhang, S.; Liu, Q.; Duan, P.; Hu, X. Evolution of the functional groups/structures of biochar and heteroatoms during the pyrolysis of seaweed. Algal Res. 2020, 48, 101900. [Google Scholar] [CrossRef]
- Anstey, A.; Vivekanandhan, S.; Rodriguez-Uribe, A.; Misra, M.; Mohanty, A.K. Oxidative acid treatment and characterization of new biocarbon from sustainable Miscanthus biomass. Sci. Total Environ. 2016, 550, 241–247. [Google Scholar] [CrossRef]
- Rodriguez Ortiz, L.; Torres, E.; Zalazar, D.; Zhang, H.; Rodriguez, R.; Mazza, G. Influence of pyrolysis temperature and bio-waste composition on biochar characteristics. Renew. Energy 2020, 155, 837–847. [Google Scholar] [CrossRef]
- Snowdon, M.R.; Wu, F.; Mohanty, A.K.; Misra, M. Comparative study of the extrinsic properties of poly(lactic acid)-based biocomposites filled with talc: Versus sustainable biocarbon. RSC Adv. 2019, 9, 6752–6761. [Google Scholar] [CrossRef] [Green Version]
- Snowdon, M.R.; Mohanty, A.K.; Misra, M. Examination of a biobased carbon nucleating agent on poly(lactic acid) crystallization. J. Renew. Mater. 2017, 5, 94–105. [Google Scholar] [CrossRef]
- Andrzejewski, J.; Misra, M.; Mohanty, A.K. Polycarbonate biocomposites reinforced with a hybrid filler system of recycled carbon fiber and biocarbon: Preparation and thermomechanical characterization. J. Appl. Polym. Sci. 2018, 135, 1–14. [Google Scholar] [CrossRef]
- Andrzejewski, J.; Mohanty, A.K.; Misra, M. Development of hybrid composites reinforced with biocarbon/carbon fiber system. The comparative study for PC, ABS and PC/ABS based materials. Compos. Part B Eng. 2020, 200. [Google Scholar] [CrossRef]
- Giorcelli, M.; Savi, P.; Khan, A.; Tagliaferro, A. Analysis of biochar with different pyrolysis temperatures used as filler in epoxy resin composites. Biomass Bioenergy 2019, 122, 466–471. [Google Scholar] [CrossRef]
- Matykiewicz, D. Biochar as an Effective Filler of Carbon Fiber Reinforced Bio-Epoxy Composites. Processes 2020, 8, 724. [Google Scholar] [CrossRef]
- Giorcelli, M.; Khan, A.; Pugno, N.M.; Rosso, C.; Tagliaferro, A. Biochar as a cheap and environmental friendly filler able to improve polymer mechanical properties. Biomass Bioenergy 2019, 120, 219–223. [Google Scholar] [CrossRef] [Green Version]
- Dahal, R.K.; Acharya, B.; Saha, G.; Bissessur, R.; Dutta, A.; Farooque, A. Biochar as a filler in glassfiber reinforced composites: Experimental study of thermal and mechanical properties. Compos. Part B Eng. 2019, 175, 107169. [Google Scholar] [CrossRef]
- Sundarakannan, R.; Arumugaprabu, V.; Muthukumar, G.P.; Vigneshwaran, S.; Muneesh, R. Biochar From Sugarcane Waste In Polymer Matrix Composite. Int. J. Innov. Technol. Explor. Eng. 2019, 9, 350–352. [Google Scholar] [CrossRef]
- Sundarakannan, R.; Arumugaprabu, V.; Manikandan, V.; Vigneshwaran, S. Mechanical property analysis of biochar derived from cashew nut shell waste reinforced polymer matrix. Mater. Res. Express 2020, 6, 125349. [Google Scholar] [CrossRef]
- Meng, Y.; Wang, Y.; Wang, C. Phosphorus release and adsorption properties of polyurethane–biochar crosslinked material as a filter additive in bioretention systems. Polymers 2021, 13, 283. [Google Scholar] [CrossRef]
- Członka, S.; Strakowska, A.; Pospiech, P.; Strzelec, K. Effects of chemically treated eucalyptus fibers on mechanical, thermal and insulating properties of polyurethane composite foams. Materials 2020, 13, 1781. [Google Scholar] [CrossRef] [PubMed] [Green Version]
- Kurańska, M.; Prociak, A. The influence of rapeseed oil-based polyols on the foaming process of rigid polyurethane foams. Ind. Crop. Prod. 2016, 89, 182–187. [Google Scholar] [CrossRef]
- Antunes, M.; Cano, Á.; Haurie, L.; Velasco, J.I. Esparto wool as reinforcement in hybrid polyurethane composite foams. Ind. Crop. Prod. 2011, 34, 1641–1648. [Google Scholar] [CrossRef]
- Agrawal, A.; Kaur, R.; Walia, R.S. PU foam derived from renewable sources: Perspective on properties enhancement: An overview. Eur. Polym. J. 2017, 95, 255–274. [Google Scholar] [CrossRef]
- Członka, S.; Sienkiewicz, N.; Strąkowska, A.; Strzelec, K. Keratin feathers as a filler for rigid polyurethane foams on the basis of soybean oil polyol. Polym. Test. 2018, 72, 32–45. [Google Scholar] [CrossRef]
- Yu, Z.; Xiao, Y.; Tian, H.; Liu, S.; Zeng, J.; Luo, X. Bagasse as functional fillers to improve and control biodegradability of soy oil-based rigid polyurethane foams. Korean J. Chem. Eng. 2019, 36, 1740–1745. [Google Scholar] [CrossRef]
- Luo, X.; Mohanty, A.; Misra, M. Lignin as a reactive reinforcing filler for water-blown rigid biofoam composites from soy oil-based polyurethane. Ind. Crop. Prod. 2013, 47, 13–19. [Google Scholar] [CrossRef]
- Santos, O.S.H.; Coelho da Silva, M.; Silva, V.R.; Mussel, W.N.; Yoshida, M.I. Polyurethane foam impregnated with lignin as a filler for the removal of crude oil from contaminated water. J. Hazard. Mater. 2017, 324, 406–413. [Google Scholar] [CrossRef] [PubMed]
- Luo, X.; Xiao, Y.; Wu, Q.; Zeng, J. Development of high-performance biodegradable rigid polyurethane foams using all bioresource-based polyols: Lignin and soy oil-derived polyols. Int. J. Biol. Macromol. 2018, 115, 786–791. [Google Scholar] [CrossRef] [PubMed]
- Kurańska, M.; Pinto, J.A.; Salach, K.; Barreiro, M.F.; Prociak, A. Synthesis of thermal insulating polyurethane foams from lignin and rapeseed based polyols: A comparative study. Ind. Crop. Prod. 2019, 143, 111882. [Google Scholar] [CrossRef]
- Jonjaroen, V.; Ummartyotin, S.; Chittapun, S. Algal cellulose as a reinforcement in rigid polyurethane foam. Algal Res. 2020, 51, 102057. [Google Scholar] [CrossRef]
- Silva, M.C.; Takahashi, J.A.; Chaussy, D.; Belgacem, M.N.; Silva, G.G. Composites of Rigid Polyurethane Foam and Cellulose Fiber Residue. J. Appl. Polym. Sci. 2010, 117, 3665–3672. [Google Scholar] [CrossRef]
- Septevani, A.A.; Evans, D.A.C.; Annamalai, P.K.; Martin, D.J. The use of cellulose nanocrystals to enhance the thermal insulation properties and sustainability of rigid polyurethane foam. Ind. Crop. Prod. 2017, 107, 114–121. [Google Scholar] [CrossRef]
- Uram, K.; Leszczyńska, M.; Prociak, A.; Czajka, A.; Gloc, M.; Leszczyński, M.K.; Michałowski, S.; Ryszkowska, J. Polyurethane Composite Foams Synthesized Using Bio-Polyols and Cellulose Filler. Materials 2021, 14, 3474. [Google Scholar] [CrossRef]
- Zhou, X.; Sethi, J.; Geng, S.; Berglund, L.; Frisk, N.; Aitomäki, Y.; Sain, M.M.; Oksman, K. Dispersion and reinforcing effect of carrot nanofibers on biopolyurethane foams. Mater. Des. 2016, 110, 526–531. [Google Scholar] [CrossRef]
- De Avila Delucis, R.; Magalhães, W.L.E.; Petzhold, C.L.; Amico, S.C. Forest-based resources as fillers in biobased polyurethane foams. J. Appl. Polym. Sci. 2018, 135, 1–7. [Google Scholar] [CrossRef]
- Jabber, L.J.Y.; Grumo, J.C.; Alguno, A.C.; Lubguban, A.A.; Capangpangan, R.Y. Influence of cellulose fibers extracted from pineapple (Ananas comosus) leaf to the mechanical properties of rigid polyurethane foam. Mater. Today Proc. 2020. [Google Scholar] [CrossRef]
- Quosai, P.; Anstey, A.; Mohanty, A.K.; Misra, M. Characterization of biocarbon generated by high- and low-temperature pyrolysis of soy hulls and coffee chaff: For polymer composite applications. R. Soc. Open Sci. 2018, 5, 171970. [Google Scholar] [CrossRef] [Green Version]
- Balint, T.; Chang, B.P.; Mohanty, A.K.; Misra, M. Underutilized Agricultural Co-Product as a Sustainable Biofiller for Polyamide 6,6: Effect of Carbonization Temperature. Molecules 2020, 25, 1455. [Google Scholar] [CrossRef] [Green Version]
- Członka, S.; Strąkowska, A.; Kairytė, A. Effect of walnut shells and silanized walnut shells on the mechanical and thermal properties of rigid polyurethane foams. Polym. Test. 2020, 87, 106534. [Google Scholar] [CrossRef]
- Członka, S.; Bertino, M.F.; Strzelec, K. Rigid polyurethane foams reinforced with industrial potato protein. Polym. Test. 2018, 68, 135–145. [Google Scholar] [CrossRef]
- Prociak, A.; Kurańska, M.; Cabulis, U.; Kirpluks, M. Rapeseed oil as main component in synthesis of bio-polyurethane-polyisocyanurate porous materials modified with carbon fibers. Polym. Test. 2017, 59, 478–486. [Google Scholar] [CrossRef]
- Kurańska, M.; Prociak, A.; Cabulis, U.; Kirpluks, M.; Ryszkowska, J.; Auguścik, M. Innovative porous polyurethane-polyisocyanurate foams based on rapeseed oil and modified with expandable graphite. Ind. Crop. Prod. 2017, 95, 316–323. [Google Scholar] [CrossRef]
- Huang, X.; De Hoop, C.F.; Xie, J.; Wu, Q.; Boldor, D.; Qi, J. High bio-content polyurethane (PU) foam made from bio-polyol and cellulose nanocrystals (CNCs) via microwave liquefaction. Mater. Des. 2018, 138, 11–20. [Google Scholar] [CrossRef]
- Kurańska, M.; Barczewski, M.; Uram, K.; Lewandowski, K.; Prociak, A.; Michałowski, S. Basalt waste management in the production of highly effective porous polyurethane composites for thermal insulating applications. Polym. Test. 2019, 76, 90–100. [Google Scholar] [CrossRef]
- Stanzione, M.; Oliviero, M.; Cocca, M.; Errico, M.E.; Gentile, G.; Avella, M.; Lavorgna, M.; Buonocore, G.G.; Verdolotti, L. Tuning of polyurethane foam mechanical and thermal properties using ball-milled cellulose. Carbohydr. Polym. 2020, 231, 115772. [Google Scholar] [CrossRef]
- Septevani, A.A.; Evans, D.A.C.; Martin, D.J.; Annamalai, P.K. Hybrid polyether-palm oil polyester polyol based rigid polyurethane foam reinforced with cellulose nanocrystal. Ind. Crop. Prod. 2018, 112, 378–388. [Google Scholar] [CrossRef]
- Cimavilla-Román, P.; Pérez-Tamarit, S.; Santiago-Calvo, M.; Rodríguez-Pérez, M.Á. Influence of silica aerogel particles on the foaming process and cellular structure of rigid polyurethane foams. Eur. Polym. J. 2020, 135, 109884. [Google Scholar] [CrossRef]
- Liu, L.; Wang, Z.; Zhu, M. Flame retardant, mechanical and thermal insulating properties of rigid polyurethane foam modified by nano zirconium amino-tris-(methylenephosphonate) and expandable graphite. Polym. Degrad. Stab. 2019, 170, 108997. [Google Scholar] [CrossRef]
- Hawkins, M.C.; O’Toole, B.; Jackovich, D. Cell morphology and mechanical properties of rigid polyurethane foam. J. Cell. Plast. 2005, 41, 267–285. [Google Scholar] [CrossRef]
- Barczewski, M.; Kurańska, M.; Sałasińska, K.; Michałowski, S.; Prociak, A.; Uram, K.; Lewandowski, K. Rigid polyurethane foams modified with thermoset polyester-glass fiber composite waste. Polym. Test. 2020, 81, 106190. [Google Scholar] [CrossRef]









| Component, g | PU | PU/BioC-3 | PU/BioC-6 | PU/BioC-9 | PU/BioC-20 |
|---|---|---|---|---|---|
| Rokopol RF-551 | 100.00 | ||||
| Catalyst | 1.50 | ||||
| Surfactant | 1.50 | ||||
| Water | 3.40 | ||||
| PMDI | 169.60 | ||||
| Biochar (BioC) | 0 | 8.09 | 16.18 | 24.26 | 53.92 |
| Name of Sample | Apparent Density, kg/m3 | Thermal Conductivity, mW/m·K | Percentage of Closed Cells, % | Anisotropy Index | Cross Section Area·10−2 mm2 | ||
|---|---|---|---|---|---|---|---|
| Parallel | Perpendicular | Parallel | Perpendicular | ||||
| PU | 39.1 ± 0.83 | 25.6 ± 0.26 | 89.1 ± 1.4 | 1.26 ± 0.07 | 0.92 ± 0.02 | 1.05 ± 0.13 | 0.74 ± 0.09 |
| PU/BioC-3 | 38.3 ± 0.66 | 25. 7 ± 0.11 | 86.3 ± 1.1 | 1.30 ± 0.07 | 0.91 ± 0.02 | 0.65 ± 0.02 | 0.42 ± 0.02 |
| PU/BioC-6 | 36.3 ± 0.93 | 25.6 ± 0.10 | 85.4 ± 1.6 | 1.37 ± 0.03 | 0.89 ± 0.04 | 0.71 ± 0.01 | 0.40 ± 0.04 |
| PU/BioC-9 | 34.4 ± 0.62 | 25.7 ± 0.16 | 87.6 ± 1.1 | 1.35 ± 0.02 | 0.89 ± 0.01 | 0.73 ± 0.01 | 0.41 ± 0.07 |
| PU/BioC-20 | 31.8 ± 0.53 | 27.0 ± 1.21 | 87.1 ± 2.0 | 1.50 ± 0.06 | 0.92 ± 0.02 | 0.79 ± 0.24 | 0.46 ± 0.03 |
| PU | PU/BioC-3 | PU/BioC-6 | PU/BioC-9 | PU/BioC-20 | |
|---|---|---|---|---|---|
| Parallel | ![]() | ![]() | ![]() | ![]() | ![]() |
| Perpendicular | ![]() | ![]() | ![]() | ![]() | ![]() |
| Name of Sample | Dimensional Stability, % | ||
|---|---|---|---|
| Length | Width | Thickness | |
| PU | 0.88 ± 0.25 | 0.59 ± 0.17 | −0.16 ± 0.51 |
| PU/BioC-3 | 0.69 ± 0.58 | 0.42 ± 0.20 | 0.12 ± 0.38 |
| PU/BioC-6 | 0.59 ± 0.08 | 0.46 ± 0.11 | 0.05 ± 0.30 |
| PU/BioC-9 | 0.61 ± 0.11 | 0.68 ± 0.08 | −0.04 ± 0.31 |
| PU/BioC-20 | 0.57 ± 0.14 | 0.51 ± 0.12 | −0.26 ± 0.31 |
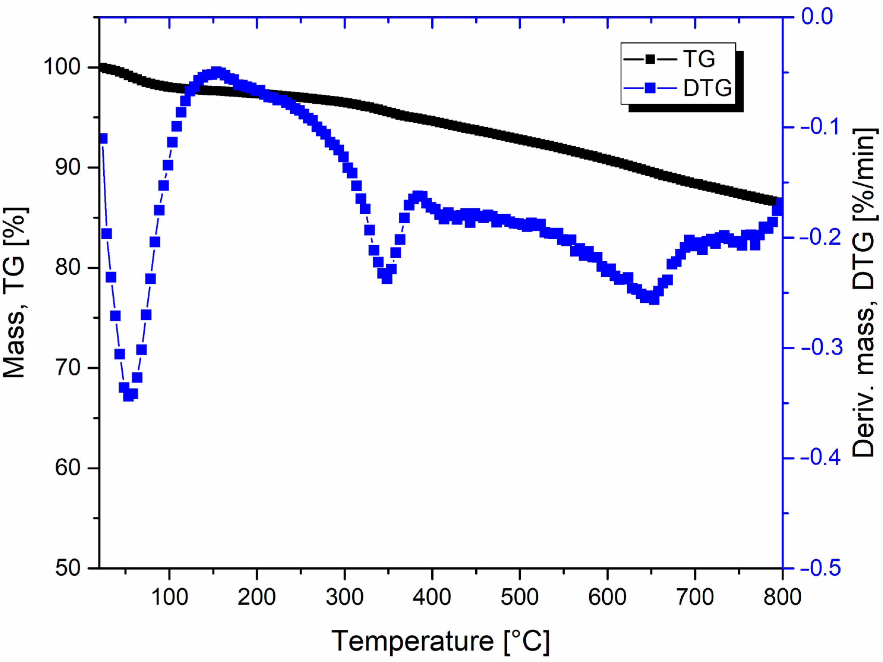
| Name of Sample | W 5% (°C) | W 25% (°C) | W 50% (°C) | Residual Mass at 800 °C (%) | DTG Peak Temp. (°C) | DTG Max. Rate (%/min) |
|---|---|---|---|---|---|---|
| PU | 283.4 | 331.6 | 363.2 | 20.3 | 342.3 | 8.9 |
| PU/BioC-3 | 287.7 | 337.0 | 375.8 | 22.0 | 346.9 | 7.8 |
| PU/BioC-6 | 287.0 | 339.5 | 385.6 | 22.8 | 346.7 | 7.8 |
| PU/BioC-9 | 288.9 | 338.6 | 388.2 | 26.6 | 346.4 | 7.7 |
| PU/BioC-20 | 287.6 | 339.8 | 404.1 | 31.8 | 344.1 | 6.9 |
Publisher’s Note: MDPI stays neutral with regard to jurisdictional claims in published maps and institutional affiliations. |
© 2021 by the authors. Licensee MDPI, Basel, Switzerland. This article is an open access article distributed under the terms and conditions of the Creative Commons Attribution (CC BY) license (https://creativecommons.org/licenses/by/4.0/).
Share and Cite
Uram, K.; Kurańska, M.; Andrzejewski, J.; Prociak, A. Rigid Polyurethane Foams Modified with Biochar. Materials 2021, 14, 5616. https://doi.org/10.3390/ma14195616
Uram K, Kurańska M, Andrzejewski J, Prociak A. Rigid Polyurethane Foams Modified with Biochar. Materials. 2021; 14(19):5616. https://doi.org/10.3390/ma14195616
Chicago/Turabian StyleUram, Katarzyna, Maria Kurańska, Jacek Andrzejewski, and Aleksander Prociak. 2021. "Rigid Polyurethane Foams Modified with Biochar" Materials 14, no. 19: 5616. https://doi.org/10.3390/ma14195616
APA StyleUram, K., Kurańska, M., Andrzejewski, J., & Prociak, A. (2021). Rigid Polyurethane Foams Modified with Biochar. Materials, 14(19), 5616. https://doi.org/10.3390/ma14195616











