Influence of Rigid Segment Type on Copoly(ether-ester) Properties
Abstract
1. Introduction
2. Materials and Methods
2.1. Synthesis of PHF, PHT, PHN, and Copoly(ether-ester)s Based on Them
2.2. Characterization Methods
3. Results
3.1. Chemical Structure, Composition, and Basic Physico-chemical Properties
3.2. Structural Properties
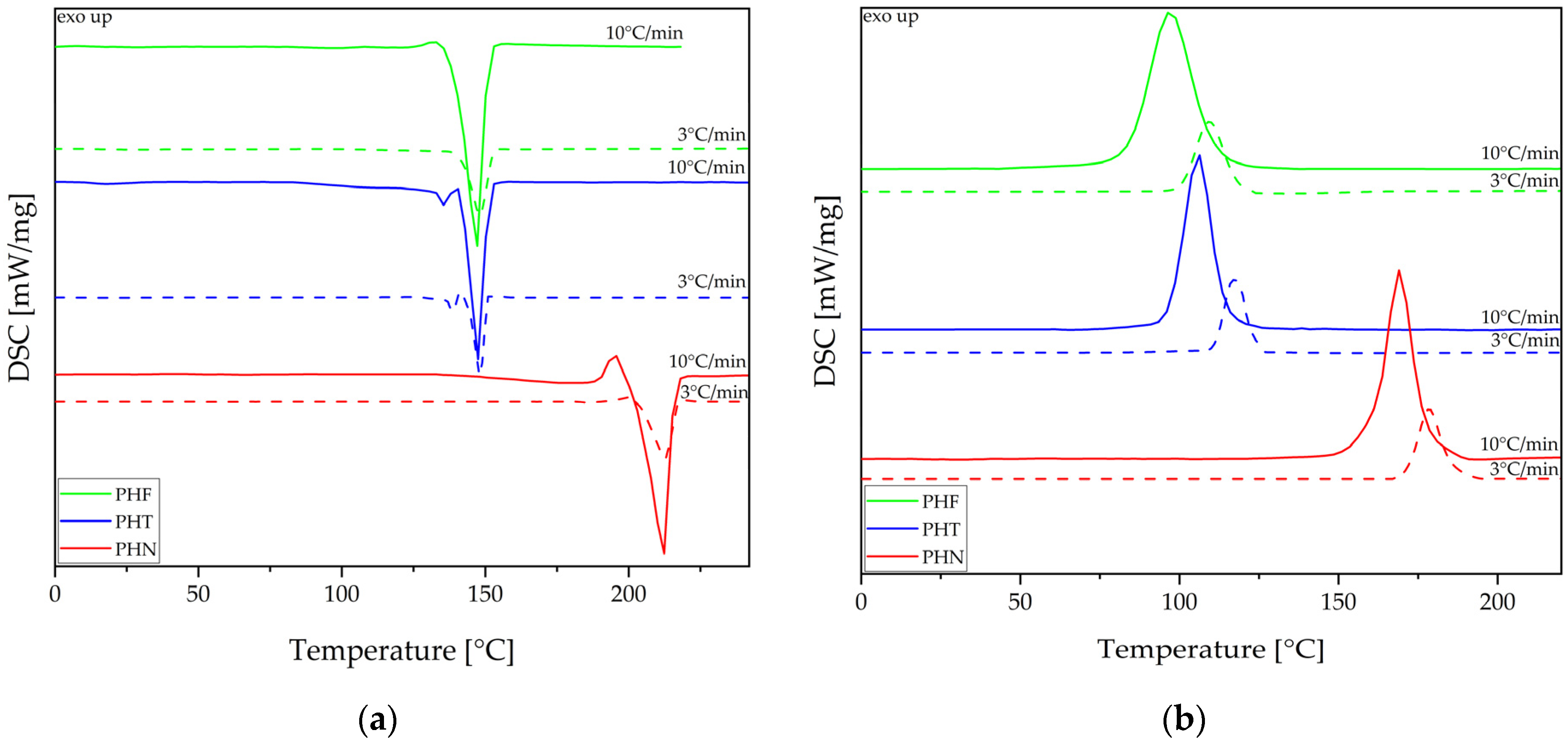
3.3. Thermal Properties
3.4. Mechanical Properties
4. Conclusions
Author Contributions
Funding
Institutional Review Board Statement
Informed Consent Statement
Data Availability Statement
Conflicts of Interest
References
- BASF. Now Offers Bio-Based PolyTHF. Available online: https://www.basf.com/global/en/media/news-releases/2015/03/p-15-163.html (accessed on 2 April 2021).
- Christ, E.M.; Herzberger, J.; Montigny, M.; Tremel, W.; Frey, H. Poly(THF-Co-Cyano Ethylene Oxide): Cyano Ethylene Oxide (CEO) Copolymerization with THF Leading to Multifunctional and Water-Soluble PolyTHF Polyelectrolytes. Macromolecules 2016, 49, 3681–3695. [Google Scholar] [CrossRef]
- Rennovia Enters Piloting Stage of Its Bio-Based 1,6-Hexanediol Process. Available online: https://www.bioplasticsmagazine.com/en/news/meldungen/20170329-Rennovia-takes-step-towards-commercialization-of-biobased-platform.php (accessed on 2 April 2021).
- Papageorgiou, G.Z.; Papageorgiou, D.G.; Terzopoulou, Z.; Bikiaris, D.N. Production of Bio-Based 2,5-Furan Dicarboxylate Polyesters: Recent Progress and Critical Aspects in Their Synthesis and Thermal Properties. Eur. Polym. J. 2016, 83, 202–229. [Google Scholar] [CrossRef]
- Zhao, D.; Delbecq, F.; Len, C. One-Pot FDCA Diester Synthesis from Mucic Acid and Their Solvent-Free Regioselective Polytransesterification for Production of Glycerol-Based Furanic Polyesters. Molecules 2019, 24, 1030. [Google Scholar] [CrossRef]
- Sousa, A.F.; Coelho, J.F.J.; Silvestre, A.J.D. Renewable-Based Poly((Ether)Ester)s from 2,5-Furandicarboxylic Acid. Polymer 2016, 98, 129–135. [Google Scholar] [CrossRef]
- Papageorgiou, G.Z.; Tsanaktsis, V.; Papageorgiou, D.G.; Chrissafis, K.; Exarhopoulos, S.; Bikiaris, D.N. Furan-Based Polyesters from Renewable Resources: Crystallization and Thermal Degradation Behavior of Poly(Hexamethylene 2,5-Furan-Dicarboxylate). Eur. Polym. J. 2015, 67, 383–396. [Google Scholar] [CrossRef]
- Sousa, A.F.; Fonseca, A.C.; Matos, M. Biobased Polyesters and Other Polymers from 2,5-Furandicarboxylic Acid: A Tribute to Furan Excellency. Polym. Chem. 2015, 6, 5961–5983. [Google Scholar] [CrossRef]
- Paszkiewicz, S.; Irska, I.; Piesowicz, E. Environmentally Friendly Polymer Blends Based on Post-Consumer Glycol-Modified Poly(Ethylene Terephthalate) (PET-G) Foils and Poly(Ethylene 2,5-Furanoate) (PEF): Preparation and Characterization. Materials 2020, 13, 2673. [Google Scholar] [CrossRef] [PubMed]
- Martı, A.; Ilarduya, D.; Herrera, V.; Mun, S. Poly (Hexamethylene Terephthalate- Co -Caprolactone) Copolyesters Obtained by Ring-Opening Polymerization. Macromolecules 2008, 41, 4136–4146. [Google Scholar]
- González-Vidal, N.; de Ilarduya, A.M.; Muñoz-Guerra, S.; Castell, P.; Martínez, M.T. Synthesis and Properties of Poly(Hexamethylene Terephthalate)/Multiwall Carbon Nanotubes Nanocomposites. Compos. Sci. Technol. 2010, 70, 789–796. [Google Scholar] [CrossRef][Green Version]
- Heum, J.; Gyu, Y.; Cheol, S.; Ghyl Min, B.; Ho, W. Cocrystallization Behavior of Poly (Hexamethylene Terephthalate-Co- Hexamethylene 2,6-Naphthalate) Random Copolymers. Polymer 2002, 43, 5263–5270. [Google Scholar]
- Yen, K.C.; Woo, E.M.; Chen, Y.F. Amorphous-Phase Miscibility and Crystal Phases in Blends of Polymorphic Poly(Hexamethylene Terephthalate) with Monomorphic Poly(Pentamethylene Terephthalate). Polym. J. 2007, 39, 935–944. [Google Scholar] [CrossRef]
- Jiang, M.; Liu, Q.; Zhang, Q.; Ye, C.; Zhou, G. A Series of Furan-Aromatic Polyesters Synthesized via Direct Esterification Method Based on Renewable Resources. J. Polym. Sci. Part A Polym. Chem. 2012, 50, 1026–1036. [Google Scholar] [CrossRef]
- Papageorgiou, G.Z.; Papageorgiou, D.G.; Tsanaktsis, V.; Bikiaris, D.N. Synthesis of the Bio-Based Polyester Poly(Propylene 2,5-Furan Dicarboxylate). Comparison of Thermal Behavior and Solid State Structure with Its Terephthalate and Naphthalate Homologues. Polymer 2015, 62, 28–38. [Google Scholar] [CrossRef]
- Jeong, Y.G.; Jo, W.H.; Lee, S.C. Synthesis and Crystallization Behavior of Poly(m-Methylene 2,6-Naphthalate-Co-1,4-Cyclohexylenedimethylene 2,6-Naphthalate) Copolymers. Macromolecules 2003, 36, 4051–4059. [Google Scholar] [CrossRef]
- Gyu, Y.; Ho, W.; Cheol, S. Crystal Structure of Poly (Pentamethylene 2,6-Naphthalate). Polymer 2002, 43, 7315–7323. [Google Scholar]
- Baltá Calleja, F.J.; Roslaniec, Z. Block Copolymers, 1st ed.; CRC Press: Boca Raton, FL, USA, 2000. [Google Scholar]
- Fakirov, S. Handbook of Condensation Thermoplastic Elastomers; Wiley: Hoboken, NJ, USA, 2006. [Google Scholar]
- Szymczyk, A.; Senderek, E.; Nastalczyk, J.; Roslaniec, Z. New Multiblock Poly(Ether-Ester)s Based on Poly(Trimethylene Terephthalate) as Rigid Segments. Eur. Polym. J. 2008, 44, 436–443. [Google Scholar] [CrossRef]
- Soccio, M.; Gazzano, M.; Lotti, N.; Finelli, L.; Munari, A. Synthesis and Characterization of Novel Random Copolymers Based on PBN: Influence of Thiodiethylene Naphthalate Co-Units on Its Polymorphic Behaviour. Polymer 2010, 51, 192–200. [Google Scholar] [CrossRef]
- Paszkiewicz, S.; Irska, I.; Zubkiewicz, A.; Szymczyk, A.; Piesowicz, E.; Rozwadowski, Z.; Goracy, K. Biobased Thermoplastic Elastomers: Structure-Property Relationship of Poly(Hexamethylene 2,5-Furanodicarboxylate)-Block-Poly(Tetrahydrofuran) Copolymers Prepared by Melt Polycondensation. Polymers 2021, 13, 397. [Google Scholar] [CrossRef]
- Chen, J.; Chen, D.; Huang, W.; Yang, X.; Li, X.; Tu, Y.; Zhu, X. A One Pot Facile Synthesis of Poly (Butylene Terephthalate)—Block—Poly (Tetramethylene Oxide) Alternative Multiblock Copolymers via PROP Method. Polymer 2016, 107, 29–36. [Google Scholar] [CrossRef]
- Aleksandrovic, V.; Poleti, D.; Djonlagic, J. Poly(Ether-Ester)s Modified with Different Amounts of Fumaric Moieties. Polymer 2002, 43, 3199–3208. [Google Scholar] [CrossRef]
- Vasanthan, N.; Salem, D.R. Structural and Conformational Characterization of Poly(Ethylene 2,6-Naphthalate) by Infrared Spectroscopy. Macromolecules 1999, 32, 6319–6325. [Google Scholar] [CrossRef]
- Lee, D.H.; Park, K.H.; Kim, Y.H.; Lee, H.S. Surface Chain Orientation during Crystallization Induction Period of Poly(Pentamethylene 2,6-Naphthalate) Studied with Polarized FTIR-ATR. Macromolecules 2007, 40, 6277–6282. [Google Scholar] [CrossRef]
- Chi, D.; Liu, F.; Na, H.; Chen, J.; Hao, C.; Zhu, J. Poly(Neopentyl Glycol 2,5-Furandicarboxylate): A Promising Hard Segment for the Development of Bio-Based Thermoplastic Poly(Ether-Ester) Elastomer with High Performance. ACS Sustain. Chem. Eng. 2018, 6, 9893–9902. [Google Scholar] [CrossRef]
- Polymers | Intrinsic Viscosity Measurements for Quality Control of PET. Available online: https://www.anton-paar.com/corp-en/services-support/document-finder/application-reports/polymers-intrinsic-viscosity-measurements-for-quality-control-of-pet/ (accessed on 20 May 2021).
- Paszkiewicz, S.; Szymczyk, A.; Špitalský, Z.; Soccio, M.; Mosnáček, J.; Ezquerra, T.A.; Rosłaniec, Z. Electrical Conductivity of Poly(Ethylene Terephthalate)/Expanded Graphite Nanocomposites Prepared by in Situ Polymerization. J. Polym. Sci. Part B Polym. Phys. 2012, 50, 1645–1652. [Google Scholar] [CrossRef]
- Zubkiewicz, A.; Paszkiewicz, S.; Szymczyk, A. The Effect of Annealing on Tensile Properties of Injection Molded Biopolyesters Based on 2,5-Furandicarboxylic Acid. Polym. Eng. Sci. 2021, 61, 1536–1545. [Google Scholar] [CrossRef]
- Jeong, Y.G.; Jo, W.H.; Lee, S.C. Crystal Structure of Poly (Hexamethylene 2, 6-Naphthalate). Polym. J. 2001, 33, 913–919. [Google Scholar] [CrossRef]
- Szymczyk, A. Structure and Properties of New Polyester Elastomers Composed of Poly(Trimethylene Terephthalate) and Poly(Ethylene Oxide). Eur. Polym. J. 2009, 45, 2653–2664. [Google Scholar] [CrossRef]
- Hytrel® 4056 Thermoplastic Polyester Elastomer. Available online: https://dupont.materialdatacenter.com/products/datasheet/SI/Hytrel®4056 (accessed on 9 August 2021).
- DuPontTM Hytrel® Thermoplastic Polyester Elastomer Product Reference Guide. Available online: https://www.dupont.com/content/dam/dupont/amer/us/en/transportation-industrial/public/documents/en/Hytrel%20Product%20Reference%20Guide.pdf (accessed on 9 August 2021).














| Sample | Transesterification | Polycondensation | |||
|---|---|---|---|---|---|
| Tp (°C) | TkT (°C) | Time (min) | TkP (°C) | Time (min) | |
| PHF | 165 | 185 | 70 | 235 | 370 |
| PHF-b-F-pTHF 50/50 | 165 | 185 | 96 | 235 | 344 |
| PHT | 175 | 185 | 85 | 255 | 350 |
| PHT-b-T-pTHF 50/50 | 175 | 185 | 93 | 250 | 423 |
| PHN | 175 | 195 | 125 | 255 | 285 |
| PHN-b-N-pTHF 50/50 | 175 | 190 | 125 | 250 | 388 |
| Sample | Tf (°C) | Ti (°C) | Pd (MPa) | Pi (MPa) | ti (s) | tc (s) |
|---|---|---|---|---|---|---|
| PHF | 30 | 180 | 20 | 55 | 7 | 60 |
| PHF-b-F-pTHF 50/50 | 30 | 170 | 8 | 45 | 7 | 25 |
| PHT | 30 | 190 | 30 | 70 | 5 | 20 |
| PHT-b-T-pTHF 50/50 | 30 | 150 | 12 | 50 | 6 | 6 |
| PHN | 30 | 230 | 25 | 50 | 5 | 10 |
| PHN-b-N-pTHF 50/50 | 30 | 210 | 25 | 50 | 5 | 5 |
| Material | MR | MF | WR | WF | [η] (dl/g) | d (g/cm3) |
|---|---|---|---|---|---|---|
| PHF | - | - | - | - | 0.825 | 1.260 |
| PHF-b-F-pTHF 50/50 | 238.24 | 210 | 47.51 | 52.49 | 1.350 | 1.137 |
| PHT | - | - | - | - | 0.952 | 1.235 |
| PHT-b-T-pTHF 50/50 | 248.28 | 220.22 | 47.09 | 52.91 | 1.026 | 1.132 |
| PHN | - | - | - | - | 0.626 | 1.247 |
| PHN-b-N-pTHF 50/50 | 298.34 | 270.29 | 43.62 | 56.38 | 1.176 | 1.152 |
| Sample | TgR [°C] | ΔCp [J/g °C] | TgF [°C] | Tc [°C] | ΔHc [J/g] | Tm [°C] | ΔHm [J/g] | ||
|---|---|---|---|---|---|---|---|---|---|
| PHF | 14.7 | 0.12 | - | 96.8 | 51.3 | 147.0 | 49.8 | Thermal properties at heating/cooling rate 10 °C/min | |
| PHF-b-F-pTHF 50/50 | - | 0.25 | −55.7 | 51.5 | 27.5 | 123.6 | 23.0 | ||
| PHT | 13.3 | 0.11 | - | 105.9 | 38.6 | 136.4 | 147.6 | 64.5 | |
| PHT-b-T-pTHF 50/50 | - | 0.12 | −67.3 | 71.7 | 23.3 | 121.5 | 23.4 | ||
| PHN | 54.0 | 0.12 | - | 169.0 | 46.8 | 212.0 | 44.1 | ||
| PHN-b-N-pTHF 50/50 | - | 0.20 | −52.2 | 132.0 | 27.0 | 183.5 | 35.2 | ||
| PHF | 19.8 | 0.12 | - | 109.4 | 55.3 | 148.1 | 55.6 | Thermal properties at heating/cooling rate 3 °C/min | |
| PHF-b-F-pTHF 50/50 | 55.8 | 0.31 | −55.2 | 70.4 | 27.9 | 125.1 | 27.8 | ||
| PHT | 21.3 | 0.42 | - | 117.3 | 42.6 | 141.1 | 154.8 | 36.7 | |
| PHT-b-T-pTHF 50/50 | 53.5 | 0.17 | −65.9 | 87.8 | 21.5 | 121.1 | 24.8 | ||
| PHN | 55.4 | 0.04 | - | 178.5 | 45.3 | 212.5 | 53.5 | ||
| PHN-b-N-pTHF 50/50 | 36.1 | 0.22 | −35.8 | 155.2 | 23.5 | 182.6 | 33.1 | ||
| Sample | E’ at 25 °C [MPa] | Tα1 [°C] | Tα2 [°C] |
|---|---|---|---|
| PHF | 2577 | 46.7 | - |
| PHF-b-F-pTHF 50/50 | 181 | 69.4 | −32.4 |
| PHT | 2105 | 43.2 | - |
| PHT-b-T-pTHF 50/50 | 151 | 61.8 | −40.4 |
| PHN | 2387 | 73.2 | - |
| PHN-b-N-pTHF 50/50 | 152 | 43.9 | −17.3 |
| Sample | T5% (°C) | T10% (°C) | T50% (°C) | T90% (°C) | TDTG1 (°C) | TDTG2 (°C) |
|---|---|---|---|---|---|---|
| Measurement in an Oxidizing Atmosphere | ||||||
| PHF | 362 | 369 | 386 | 409 | 386 | 470 |
| PHF-b-F-pTHF 50/50 | 328 | 341 | 378 | 434 | 386 | 494 |
| PHT | 374 | 380 | 401 | 481 | 400 | 500 |
| PHT-b-T-pTHF 50/50 | 348 | 363 | 398 | 501 | 398 | 503 |
| PHN | 380 | 388 | 409 | 532 | 406 | 529 |
| PHN-b-N-pTHF 50/50 | 354 | 368 | 405 | 527 | 405 | 521 |
| Measurement in an inert atmosphere | ||||||
| PHF | 362 | 369 | 385 | 405 | 385 | - |
| PHF-b-F-pTHF 50/50 | 334 | 348 | 385 | 409 | 391 | - |
| PHT | 370 | 380 | 402 | 471 | 403 | - |
| PHT-b-T-pTHF 50/50 | 366 | 377 | 404 | 432 | 405 | - |
| PHN | 382 | 390 | 412 | - | 409 | - |
| PHN-b-N-pTHF 50/50 | 378 | 387 | 411 | 616 | 411 | - |
| Sample | H [Sh°D] | E [MPa] | σy [MPa] | εy [%] | σb [MPa] | εb [%] |
|---|---|---|---|---|---|---|
| PHF | 65 ± 1 | 395.8 ± 41.7 | 23.3 ± 0.4 | 8.5 ± 0,4 | 44.8 ± 1.8 | 319.4 ± 17.3 |
| PHF-b-F-pTHF 50/50 | 40 ± 1 | 56.6 ± 7.6 | - | - | 30.6 ± 1.1 | 564.9 ± 30.0 |
| PHT | 62 ± 1 | 372.3 ± 33.2 | 19.6 ± 0.4 | 13.9 ± 0.6 | 38.4 ± 3.1 | 421.4 ± 21.0 |
| PHT-b-T-pTHF 50/50 | 34 ± 1 | 57.6 ± 8.9 | - | - | 15.8 ± 0.2 | 671.3 ± 15.6 |
| PHN | 75 ± 1 | 1347.3 ± 20.6 | 41.4 ± 6.0 | 4.4 ± 1.5 | 46.0 ± 0.5 | 340.2 ± 3.1 |
| PHN-b-N-pTHF 50/50 | 41 ± 1 | 76.8 ± 3.1 | - | - | 31.2 ± 0.8 | 606.9 ± 33.7 |
Publisher’s Note: MDPI stays neutral with regard to jurisdictional claims in published maps and institutional affiliations. |
© 2021 by the authors. Licensee MDPI, Basel, Switzerland. This article is an open access article distributed under the terms and conditions of the Creative Commons Attribution (CC BY) license (https://creativecommons.org/licenses/by/4.0/).
Share and Cite
Walkowiak, K.; Irska, I.; Zubkiewicz, A.; Rozwadowski, Z.; Paszkiewicz, S. Influence of Rigid Segment Type on Copoly(ether-ester) Properties. Materials 2021, 14, 4614. https://doi.org/10.3390/ma14164614
Walkowiak K, Irska I, Zubkiewicz A, Rozwadowski Z, Paszkiewicz S. Influence of Rigid Segment Type on Copoly(ether-ester) Properties. Materials. 2021; 14(16):4614. https://doi.org/10.3390/ma14164614
Chicago/Turabian StyleWalkowiak, Konrad, Izabela Irska, Agata Zubkiewicz, Zbigniew Rozwadowski, and Sandra Paszkiewicz. 2021. "Influence of Rigid Segment Type on Copoly(ether-ester) Properties" Materials 14, no. 16: 4614. https://doi.org/10.3390/ma14164614
APA StyleWalkowiak, K., Irska, I., Zubkiewicz, A., Rozwadowski, Z., & Paszkiewicz, S. (2021). Influence of Rigid Segment Type on Copoly(ether-ester) Properties. Materials, 14(16), 4614. https://doi.org/10.3390/ma14164614

