An Update Review on N-Type Layered Oxyselenide Thermoelectric Materials
Abstract
1. Introduction
2. Various Attempts to Realize n-Type BiCuSeO
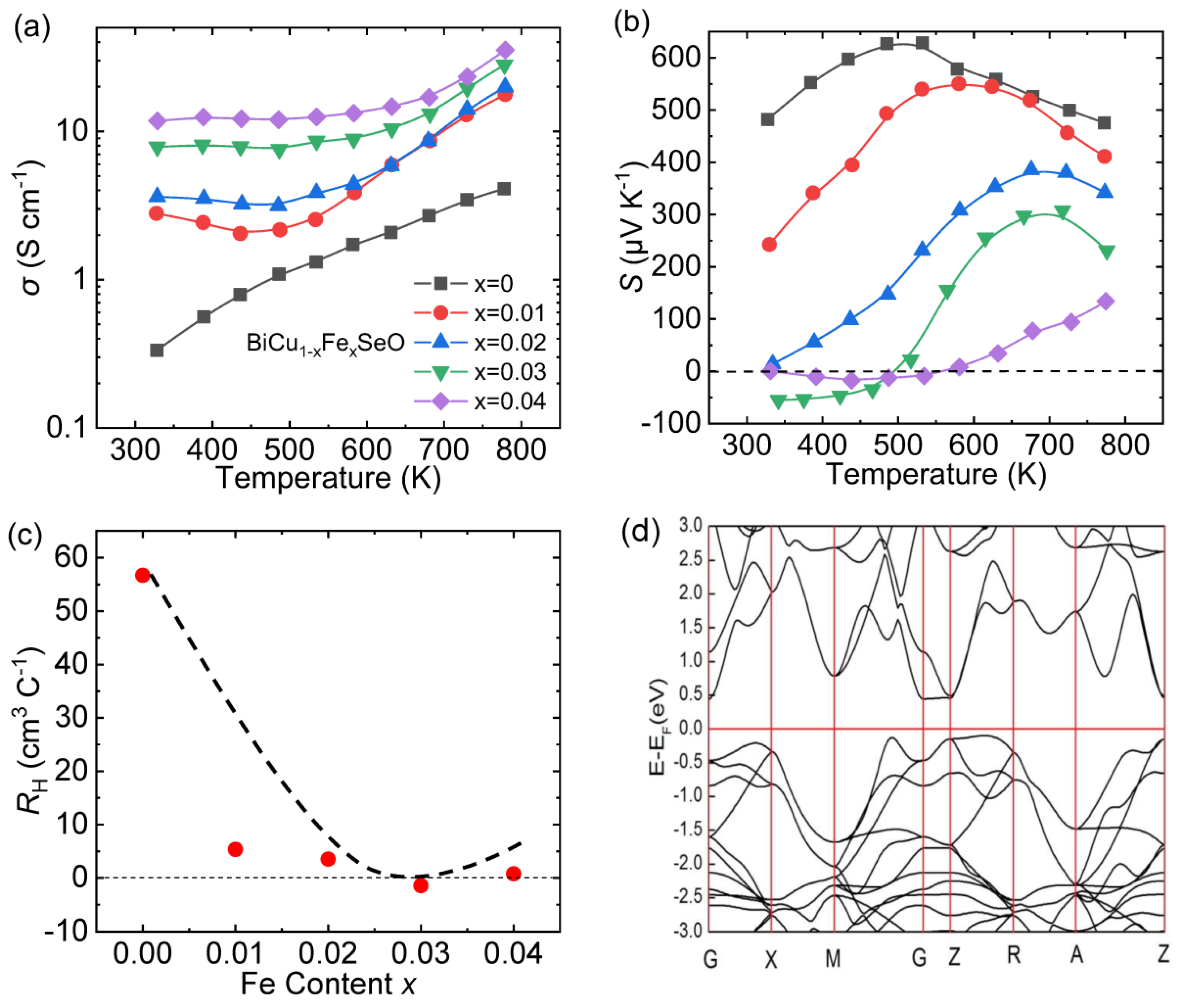
2.1. Doping Fe at Cu Sites
2.2. Doping Co at Cu Sites
2.3. Doping Halogen (Br, I) at Se Sites
3. Various Attempts to Enhance Thermoelectric Properties of Bi2O2Se
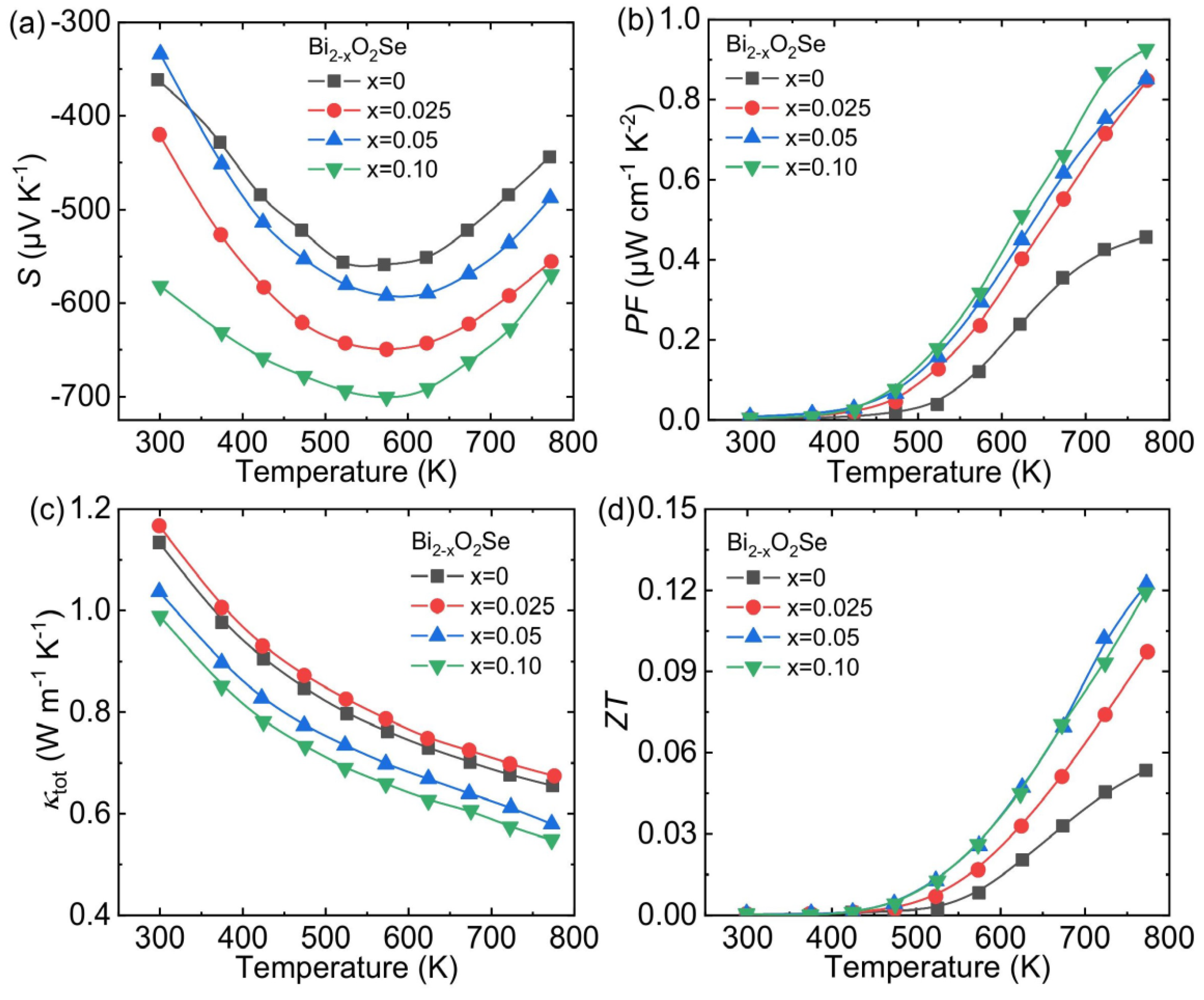
3.1. Introduce Bi Deficiencies
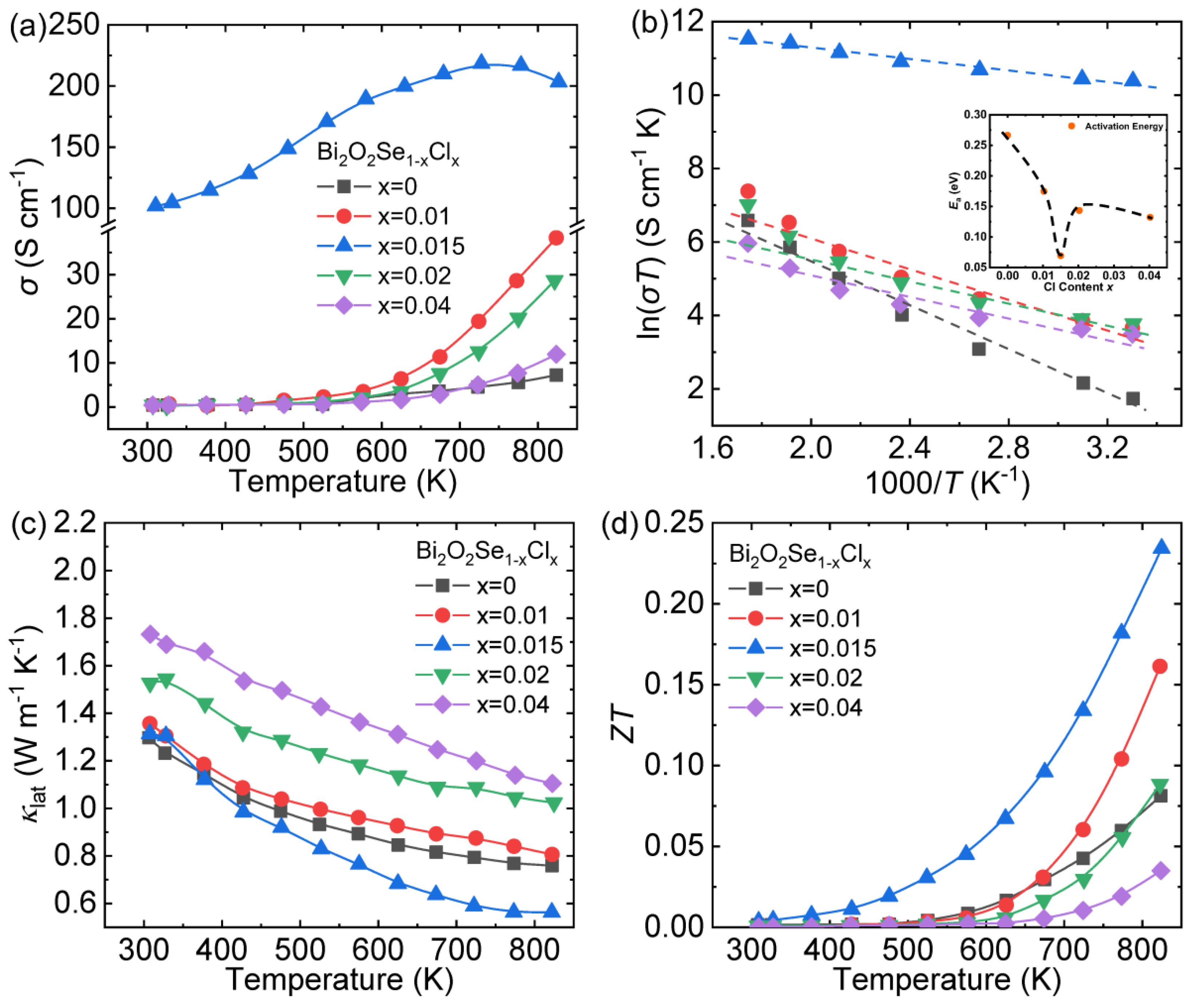
3.2. Doping Cl at Se Sites
3.3. Doping Te at Se Sites
3.4. Doping Ta at Bi Sites
4. Attempts to Realize a New Kind of n-Type Oxyselenide: Bi6Cu2Se4O6
4.1. Halogen Element Doping at Se Sites
4.2. Transition Metal Element Doping at Bi Sites
5. Summary and Perspective
Author Contributions
Funding
Institutional Review Board Statement
Informed Consent Statement
Data Availability Statement
Conflicts of Interest
References
- Zhang, X.; Zhao, L.-D. Thermoelectric materials: Energy conversion between heat and electricity. J. Mater. 2015, 1, 92–105. [Google Scholar] [CrossRef]
- Zhao, L.-D.; He, J.; Berardan, D.; Lin, Y.; Li, J.-F.; Nan, C.-W.; Dragoe, N. BiCuSeO oxyselenides: New promising thermoelectric materials. Energy Environ. Sci. 2014, 7, 2900–2924. [Google Scholar] [CrossRef]
- Li, J.F.; Liu, W.S.; Zhao, L.-D.; Min, Z. High-performance nanostructured thermoelectric materials. NPG Asia Mater. 2010, 2, 152–158. [Google Scholar] [CrossRef]
- Snyder, G.J.; Toberer, E.S. Complex thermoelectric materials. Nat. Mater. 2008, 7, 105–114. [Google Scholar] [CrossRef]
- Di, W.; Pei, Y.; Zhe, W.; Wu, H.; Li, H.; Zhao, L.-D.; He, J. Significantly enhanced thermoelectric performance in n-type heterogeneous BiAgSeS composites. Adv. Funct. Mater. 2015, 24, 7763–7771. [Google Scholar]
- Qin, B.C.; Wang, D.Y.; He, W.K.; Zhang, Y.; Wu, H.; Pennycook, S.J.; Zhao, L.D. Realizing high thermoelectric performance in p-type SnSe through crystal structure modification. J. Am. Chem. Soc. 2018, 141, 1141–1149. [Google Scholar] [CrossRef] [PubMed]
- Kim, S.I.; Lee, K.H.; Mun, H.A.; Kim, H.S.; Hwang, S.W.; Roh, J.W.; Yang, D.J.; Shin, W.H.; Li, X.S.; Lee, Y.H. Dense dislocation arrays embedded in grain boundaries for high-performance bulk thermoelectrics. Science 2015, 348, 109–114. [Google Scholar] [CrossRef]
- Chung, D.Y.; Hogan, T.; Brazis, P.; Rocci-Lane, M.; Kannewurf, C.; Bastea, M.; Uher, C.; Kanatzidis, M.G. CsBi4Te6: A high-performance thermoelectric material for low-temperature applications. Science 2000, 287, 1024–1027. [Google Scholar] [CrossRef]
- Venkatasubramanian, R.; Silvola, E.; Colpitts, T.; O’Quinn, B. Thin-film thermoelectric devices with high room-temperature figures of merit. Nature 2001, 413, 597–602. [Google Scholar] [CrossRef]
- Biswas, K.; Zhao, L.-D.; Kanatzidis, M.G. Tellurium-free thermoelectric: The anisotropic n-type semiconductor Bi2S3. Adv. Energy Mater. 2012, 2, 634–638. [Google Scholar] [CrossRef]
- Tan, G.; Shi, F.; Hao, S.; Zhao, L.-D.; Kanatzidis, M.G. Non-equilibrium processing leads to record high thermoelectric figure of merit in PbTe–SrTe. Nat. Commun. 2016, 7, 12167. [Google Scholar] [CrossRef]
- Heremans, J.P.; Jovovic, V.; Toberer, E.S.; Saramat, A.; Kurosaki, K.; Charoenphakdee, A.; Yamanaka, S.; Snyder, G.J. Enhancement of thermoelectric efficiency in PbTe by distortion of the electronic density of states. Science 2008, 321, 554–557. [Google Scholar] [CrossRef]
- Qin, B.C.; Xiao, Y.; Zhou, Y.M.; Zhao, L.-D. Thermoelectric transport properties of Pb-Sn-Te-Se system. Rare Metals 2018, 37, 343–350. [Google Scholar] [CrossRef]
- Xiao, Y.; Wu, H.; Cui, J.; Wang, D.; Fu, L.; Zhang, Y.; Chen, Y.; He, J.; Pennycook, S.J.; Zhao, L.-D. Realizing high performance n-type PbTe by synergistically optimizing effective mass and carrier mobility and suppressing bipolar thermal conductivity. Energy Environ. Sci. 2018, 11, 2486–2495. [Google Scholar] [CrossRef]
- Xiao, Y.; Zhao, L.-D. Charge and phonon transport in PbTe-based thermoelectric materials. NPJ Quantum Mater. 2018, 3, 55. [Google Scholar] [CrossRef]
- Zhang, X.; Wang, D.; Wu, H.; Yin, M.; Pei, Y.; Gong, S.; Huang, L.; Pennycook, S.J.; He, J.; Zhao, L.-D. Simultaneously enhancing the power factor and reducing the thermal conductivity of SnTe via introducing its analogues. Energy Environ. Sci. 2017, 10, 2420–2431. [Google Scholar] [CrossRef]
- Zhao, H.; Sui, J.; Tang, Z.; Lan, Y.; Ren, Z. High thermoelectric performanceof MgAgSb-based materials. Nano Energy 2014, 7, 97–103. [Google Scholar] [CrossRef]
- Li, D.; Zhao, H.; Li, S.; Wei, B.; Shuai, J.; Shi, C.; Xi, X.; Sun, P.; Meng, S.; Gu, L. Atomic disorders induced by silver and magnesium ion migrations favor high thermoelectric performance in α-MgAgSb-based materials. Adv. Funct. Mater. 2015, 25, 6478–6488. [Google Scholar] [CrossRef]
- Liu, Z.; Wang, Y.; Mao, J.; Geng, H.; Shuai, J.; Wang, Y.; He, R.; Cai, W.; Sui, J.; Ren, Z. Lithium doping to enhance thermoelectric performance of MgAgSb with weak electron–phonon coupling. Adv. Energy Mater. 2016, 6, 1502269. [Google Scholar] [CrossRef]
- Makongo, J.P.A.; Misra, D.K.; Zhou, X.; Pant, A.; Shabetai, M.R.; Su, X.; Uher, C.; Stokes, K.L.; Poudeu, P.F.P. Simultaneous large enhancements in thermopower and electrical conductivity of bulk nanostructured half-Heusler alloys. J. Am. Chem. Soc. 2011, 133, 18843–18852. [Google Scholar] [CrossRef]
- Chen, S.; Ren, Z. Recent progress of half-Heusler for moderate temperature thermoelectric applications. Mater. Today 2013, 16, 387–395. [Google Scholar] [CrossRef]
- Xie, H.; Wang, H.; Pei, Y.; Fu, C.; Zhu, T. Beneficial contribution of alloy disorder to electron and phonon transport in half-Heusler thermoelectric materials. Adv. Funct. Mater. 2013, 23, 5123–5130. [Google Scholar] [CrossRef]
- Young, D.M.; Torardi, C.C.; Olmstead, M.M.; Kauzlarich, S.M. Exploring the limits of the Zintl concept for the A14MPn11 structure type with M = Zn, Cd. Chem. Mater. 1995, 7, 93–101. [Google Scholar] [CrossRef]
- Toberer, E.S.; May, A.F.; Scanlon, C.J.; Snyder, G.J. Thermoelectric properties of p-type LiZnSb: Assessment of ab initio calculations. J. Appl. Phys. 2009, 105, 063706. [Google Scholar] [CrossRef]
- Zhang, X.X.; Chang, C.; Zhou, Y.M.; Zhao, L.-D. BiCuSeO thermoelectrics: An update on recent progress and perspective. Materials 2017, 10, 198. [Google Scholar] [CrossRef]
- Ruleova, P.; Drasar, C.; Lostak, P.; Li, C.P.; Ballikaya, S.; Uher, C. Thermoelectric properties of Bi2O2Se. Mater. Chem. Phys. 2010, 119, 299–302. [Google Scholar] [CrossRef]
- Zhang, K.; Hu, C.; Kang, X.; Wang, S.; Yi, X.; Hong, L. Synthesis and thermoelectric properties of Bi2O2Se nanosheets. Mater. Res. Bull. 2013, 48, 3968–3972. [Google Scholar] [CrossRef]
- Gibson, Q.D.; Dyer, M.S.; Robertson, C.; Delacotte, C.; Manning, T.D.; Pitcher, M.J.; Daniels, L.M.; Zanella, M.; Alaria, J.; Claridge, J.B.; et al. Bi2+2nO2+2nCu2-δSe2+n-δXδ (X = Cl, Br): A three-anion homologous series. Inorg. Chem. 2018, 57, 12489–12500. [Google Scholar] [CrossRef]
- Zhang, X.X.; Qiu, Y.T.; Ren, D.D.; Zhao, L.-D. Electrical and thermal transport properties of n-type Bi6Cu2Se4O6 (2BiCuSeO + 2Bi2O2Se). Ann. Phys. 2019, 532, 1900340. [Google Scholar] [CrossRef]
- Zheng, J.Q.; Wang, D.Y.; Zhao, L.-D. Enhancing thermoelectric performance of n-type Bi6Cu2Se4O6 through introducing transition metal elements. Scr. Mater. 2021, 202, 114010. [Google Scholar] [CrossRef]
- Koumoto, K.; Funahashi, R.; Guilmeau, E.; Miyazaki, Y.; Weidenkaff, A.; Wang, Y.F.; Wan, C.L. Thermoelectric ceramics for energy harvesting. J. Am. Ceram. Soc. 2013, 96, 1–23. [Google Scholar] [CrossRef]
- Berdonosov, P.S.; Kusainova, A.M.; Kholodkovskaya, L.N.; Dolgikh, V.A.; Akselrud, L.G.; Popovkin, B.A. Powder X-ray and IR studies of the new oxyselenides MOCuSe (M = Bi, Gd, Dy). J. Solid State Chem. 1995, 118, 74–77. [Google Scholar] [CrossRef]
- Hiramatsu, H.; Kamioka, H.; Ueda, K.; Hirano, M.; Hosono, H. Electrical and photonic functions originating from low-dimensional structures in wide-gap semiconductors LnCuOCh (Ln=lanthanide, Ch=chalcogen): A review. J. Ceram. Soc. Jpn. 2005, 113, 10–16. [Google Scholar] [CrossRef][Green Version]
- Kamioka, H.; Hiramatsu, H.; Hirano, M.; Ueda, K.; Kamiya, T.; Hosono, H. Excitonic properties related to valence band levels split by spin–orbit interaction in layered oxychalcogenide LaCuOCh(Ch=S,Se). J. Lumin. 2005, 112, 66–70. [Google Scholar] [CrossRef]
- Clarke, D.R. Materials selection guidelines for low thermal conductivity thermal barrier coatings. Surf. Coat. Technol. 2003, 163, 67–74. [Google Scholar] [CrossRef]
- Qu, W.W.; Zhang, X.X.; Yuan, B.F.; Zhao, L.-D. Homologous layered InFeO3(ZnO)m: New promising abradable seal coating materials. Rare Metals 2018, 37, 79–94. [Google Scholar] [CrossRef]
- Zhou, Y.M.; Zhao, L.-D. Promising thermoelectric bulk materials with 2D structures. Adv. Mater. 2017, 29, 14. [Google Scholar] [CrossRef] [PubMed]
- Vaqueiro, P.; Al Orabi, R.A.; Luu, S.D.; Guelou, G.; Powell, A.V.; Smith, R.I.; Song, J.P.; Wee, D.; Fornari, M. The role of copper in the thermal conductivity of thermoelectric oxychalcogenides: Do lone pairs matter? Phys. Chem. Chem. Phys. 2015, 17, 31735–31740. [Google Scholar] [CrossRef] [PubMed]
- Saha, S.K. Exploring the origin of ultralow thermal conductivity in layered BiOCuSe. Phys. Rev. B 2015, 92, 041202. [Google Scholar] [CrossRef]
- Kanatzidis, M.G. Nanostructured thermoelectrics: The new paradigm? Chem. Mater. 2010, 22, 648–659. [Google Scholar] [CrossRef]
- Pei, Y.L.; Chang, C.; Wang, Z.; Yin, M.J.; Wu, M.H.; Tan, G.J.; Wu, H.J.; Chen, Y.X.; Zheng, L.; Gong, S.; et al. Multiple converged conduction bands in K2Bi8Se13: A promising thermoelectric material with extremely low thermal conductivity. J. Am. Chem. Soc. 2016, 138, 16364–16371. [Google Scholar] [CrossRef] [PubMed]
- Chang, C.; Zhao, L.-D. Anharmoncity and low thermal conductivity in thermoelectrics. Mater. Today Phys. 2018, 4, 50–57. [Google Scholar] [CrossRef]
- Pan, L.; Zhao, L.; Zhang, X.; Chen, C.; Wang, Y. Significant optimization of electron-phonon transport of n-Type Bi2O2Se by mechanical manipulation of Se vacancies via shear exfoliation. ACS Appl. Mater. Interfaces 2019, 11, 21603–21609. [Google Scholar] [CrossRef]
- Tan, X.; Li, Y.C.; Hu, K.R.; Ren, G.K.; Li, Y.M. Synergistically optimizing electrical and thermal transport properties of Bi2O2Se ceramics by Te-substitution. J. Am. Ceram. Soc. 2017, 101, 326–333. [Google Scholar] [CrossRef]
- Luu, S.; Vaqueiro, P. Synthesis, characterisation and thermoelectric properties of the oxytelluride Bi2O2Te. J. Solid State Chem. 2015, 226, 219–223. [Google Scholar] [CrossRef]
- Zhan, B.; Liu, Y.; Xing, T.; Lan, J.L.; Lin, Y.H.; Nan, C.W. Enhanced thermoelectric properties of Bi2O2Se ceramics by Bi deficiencies. J. Am. Ceram. Soc. 2015, 98, 2465–2469. [Google Scholar] [CrossRef]
- Zhan, B.; Butt, S.; Liu, Y.C.; Lan, J.L.; Nan, C.W.; Lin, Y.H. High-temperature thermoelectric behaviors of Sn-doped n-type Bi2O2Se ceramics. J. Electroceram. 2015, 34, 175–179. [Google Scholar] [CrossRef]
- Zhan, B.; Liu, Y.; Lan, J.; Zeng, C.; Lin, Y.H.; Nan, C.W. Enhanced thermoelectric performance of Bi2O2Se with Ag addition. Materials 2015, 8, 1568–1576. [Google Scholar] [CrossRef]
- Wang, D.Y.; Huang, Z.W.; Zhang, Y.; Hao, L.J.; Zhao, L.-D. Extremely low thermal conductivity from bismuth selenohalides with 1D soft crystal structure. Sci. China Mater. 2020, 83, 1759–1768. [Google Scholar] [CrossRef]
- Liu, R.; Lan, J.L.; Tan, X.; Liu, Y.C.; Ren, G.K.; Liu, C.; Zhou, Z.F.; Nan, C.W.; Lin, Y.H. Carrier concentration optimization for thermoelectric performance enhancement in n-type Bi2O2Se. J. Eur. Ceram. Soc. 2018, 38, 2742–2746. [Google Scholar] [CrossRef]
- Tan, X.; Lan, J.L.; Ren, G.; Liu, Y.; Nan, C.W. Enhanced thermoelectric performance of n-type Bi2O2Se by Cl-doping at Se site. J. Am. Ceram. Soc. 2017, 98, 1494–1501. [Google Scholar] [CrossRef]
- Pan, L.; Lang, Y.D.; Zhao, L.; Berardan, D.; Amzallag, E.; Xu, C.; Gu, Y.F.; Chen, C.C.; Zhao, L.-D.; Shen, X.D.; et al. Realization of n-type and enhanced thermoelectric performance of p-type BiCuSeO by controlled iron incorporation. J. Mater. Chem. A 2018, 6, 13340–13349. [Google Scholar] [CrossRef]
- Goldsmid, H.J.; Sharp, J.W. Estimation of the thermal band gap of a semiconductor from Seebeck measurements. J. Electron. Mater. 1999, 28, 869–872. [Google Scholar] [CrossRef]
- Gibbs, Z.M.; Kim, H.S.; Wang, H.; Snyder, G.J. Band gap estimation from temperature dependent Seebeck measurement—deviations from the 2e|S|maxTmax relation. Appl. Phys. Lett. 2015, 106, 869–872. [Google Scholar] [CrossRef]
- Tan, S.G.; Gao, C.H.; Wang, C.; Sun, Y.P.; Jing, Q.; Meng, Q.K.; Zhou, T.; Ren, J.F. Realization of n-type BiCuSeO through Co doping. Solid State Sci. 2019, 98, 106019. [Google Scholar] [CrossRef]
- Bardeen, J.; Shockley, W.S. Deformation potentials and mobilities in non-polar crystals. Phys. Rev. 1950, 80, 72–80. [Google Scholar] [CrossRef]
- Goldsmid, H.J. Introduction to Thermoelectricity; Springer: Berlin, Germany, 2009; pp. 339–357. [Google Scholar]
- Pei, Y.L.; He, J.; Li, J.F.; Li, F.; Liu, Q.; Pan, W.; Barreteau, C.; Berardan, D.; Dragoe, N.; Zhao, L.-D. High thermoelectric performance of oxyselenides: Intrinsically low thermal conductivity of Ca-doped BiCuSeO. NPG Asia Mater. 2013, 5, e47. [Google Scholar] [CrossRef]
- Barreteau, C.; Bérardan, D.; Amzallag, E.; Zhao, L.-D.; Dragoe, N. Structural and electronic transport properties in Sr-doped BiCuSeO. Chem. Mater. 2012, 24, 3168–3178. [Google Scholar] [CrossRef]
- Yang, J.M.; Yang, G.; Zhang, G.B.; Wang, Y.X. Low effective mass leading to an improved ZT value by 32% for n-type BiCuSeO: A first-principles study. J. Mater. Chem. A 2014, 2, 13923–13931. [Google Scholar] [CrossRef]
- Zhang, X.X.; Feng, D.; He, J.Q.; Zhao, L.-D. Attempting to realize n-type BiCuSeO. J. Solid State Chem. 2018, 258, 510–516. [Google Scholar] [CrossRef]
- Li, Z.; Xiao, C.; Fan, S.J.; Deng, Y.; Zhang, W.S.; Ye, B.J.; Xie, Y. Dual vacancies: An effective strategy realizing synergistic optimization of thermoelectric property in BiCuSeO. J. Am. Chem. Soc. 2015, 137, 6587–6593. [Google Scholar] [CrossRef]
- Liu, Y.; Zhao, L.-D.; Liu, Y.C.; Lan, J.L.; Xu, W.; Li, F.; Zhang, B.-P.; Berardan, D.; Dragoe, N.; Lin, Y.-H.; et al. Remarkable enhancement in thermoelectric performance of BiCuSeO by Cu deficiencies. J. Am. Chem. Soc. 2011, 133, 20112–20115. [Google Scholar] [CrossRef]
- Yu, B.; Liu, W.S.; Chen, S.; Wang, H.; Wang, H.Z.; Chen, G.; Ren, Z.F. Thermoelectric properties of copper selenide with ordered selenium layer and disordered copper layer. Nano Energy 2012, 1, 472–478. [Google Scholar] [CrossRef]
- Liu, H.; Shi, X.; Xu, F.; Zhang, L.; Zhang, W.; Chen, L.; Li, Q.; Uher, C.; Day, T.; Snyder, G.J. Copper ion liquid-like thermoelectrics. Nat. Mater. 2012, 11, 422–425. [Google Scholar] [CrossRef]
- Zhang, X.X.; Wang, D.Y.; Wang, G.T.; Zhao, L.-D. Realizing n-type BiCuSeO through halogens doping. Ceram. Int. 2019, 45, 14953–14957. [Google Scholar] [CrossRef]
- Tang, G.; Yang, C.; Stroppa, A.; Fang, D.; Hong, J. Revealing the role of thiocyanate anion in layered hybrid halide perovskite (CH3NH3)2Pb(SCN)2I2. J. Chem. Phys. 2017, 146, 224702. [Google Scholar] [CrossRef] [PubMed]
- Tan, X.; Liu, Y.C.; Liu, R.; Zhou, Z.F.; Liu, C.; Lan, J.L.; Zhang, Q.H.; Lin, Y.H.; Nan, C.W. Synergistical enhancement of thermoelectric properties in n-type Bi2O2Se by carrier engineering and hierarchical microstructure. Adv. Energy Mater. 2019, 9, 1900354. [Google Scholar] [CrossRef]
- Myung, Y.; Wu, F.; Banerjee, S.; Stoica, A.; Zhong, H.X.; Lee, S.S.; Fortner, J.D.; Yang, L.; Banerjee, P. Highly conducting, n-type Bi12O15Cl6 nanosheets with superlattice-like structure. Cheminform 2016, 47, 22–27. [Google Scholar] [CrossRef]
- Bosman, A.; van Daal, H.J. Small-polaron versus band conduction in some transition-metal oxides. Adv. Phys. 1970, 19, 1–117. [Google Scholar] [CrossRef]
- Guo, D.L.; Hu, C.G.; Xi, Y.; Zhang, K.Y. Strain effects to optimize thermoelectric properties of doped Bi2O2Se via tran–Blaha modified Becke–Johnson density functional theory. J. Phys. Chem. C 2013, 117, 21597–21602. [Google Scholar] [CrossRef]
- Hiramatsu, H.; Yanagi, H.; Kamiya, T.; Ueda, K.; Hosono, H. Crystal structures, optoelectronic properties, and electronic structures of layered oxychalcogenides MCuOCh (M = Bi, La; Ch = S, Se, Te): Effects of electronic configurations of M3+ Ions. Chem. Mater. 2007, 20, 326–334. [Google Scholar] [CrossRef]
- Vaqueiro, P.; Guélou, G.; Stec, M.; Guilmeau, E.; Powell, A.V. A copper-containing oxytelluride as a promising thermoelectric material for waste heat recovery. J. Mater. Chem. A 2013, 1, 520–523. [Google Scholar] [CrossRef]
- Liu, Y.; Lan, J.L.; Xu, W.; Liu, Y.C.; Pei, Y.L.; Cheng, B.; Liu, D.B.; Lin, Y.H.; Zhao, L.-D. Enhanced thermoelectric performance of a BiCuSeO system via band gap tuning. Chem. Commun. 2013, 49, 8075–8077. [Google Scholar] [CrossRef]
- Kurosaki, K.; Kosuga, A.; Muta, H.; Uno, M.; Yamanaka, S. Ag9TITe5: A high-performance thermoelectric bulk material with extremely low thermal conductivity. Appl. Phys. Lett. 2005, 87, 061919. [Google Scholar] [CrossRef]
- Tritt, T.M.; Subramanian, M.A.; Editors, G.J.M.B. Thermoelectric materials, phenomena, and applications: A bird’s eye view. MRS Bull. 2006, 31, 188–198. [Google Scholar] [CrossRef]
- Qin, B.C.; Wang, D.Y.; Zhao, L.-D. Slowing down the heat in thermoelectrics. InfoMat 2021, 3, 755–789. [Google Scholar] [CrossRef]
- Zhao, L.-D.; Lo, S.H.; Zhang, Y.; Sun, H.; Tan, G.; Uher, C.; Wolverton, C.; Dravid, V.P.; Kanatzidis, M.G. Ultralow thermal conductivity and high thermoelectric figure of merit in SnSe crystals. Nature 2014, 508, 373–377. [Google Scholar] [CrossRef] [PubMed]
- Skoug, E.J.; Cain, J.D.; Morelli, D.T. High thermoelectric figure of merit in the Cu3SbSe4-Cu3SbS4 solid solution. Appl. Phys. Lett. 2011, 98, 6029. [Google Scholar] [CrossRef]











Publisher’s Note: MDPI stays neutral with regard to jurisdictional claims in published maps and institutional affiliations. |
© 2021 by the authors. Licensee MDPI, Basel, Switzerland. This article is an open access article distributed under the terms and conditions of the Creative Commons Attribution (CC BY) license (https://creativecommons.org/licenses/by/4.0/).
Share and Cite
Zheng, J.; Wang, D.; Zhao, L.-D. An Update Review on N-Type Layered Oxyselenide Thermoelectric Materials. Materials 2021, 14, 3905. https://doi.org/10.3390/ma14143905
Zheng J, Wang D, Zhao L-D. An Update Review on N-Type Layered Oxyselenide Thermoelectric Materials. Materials. 2021; 14(14):3905. https://doi.org/10.3390/ma14143905
Chicago/Turabian StyleZheng, Junqing, Dongyang Wang, and Li-Dong Zhao. 2021. "An Update Review on N-Type Layered Oxyselenide Thermoelectric Materials" Materials 14, no. 14: 3905. https://doi.org/10.3390/ma14143905
APA StyleZheng, J., Wang, D., & Zhao, L.-D. (2021). An Update Review on N-Type Layered Oxyselenide Thermoelectric Materials. Materials, 14(14), 3905. https://doi.org/10.3390/ma14143905

