Magneto-Optical Transport Properties of Type-II Nodal Line Semimetals
Abstract
1. Introduction
2. Model Hamiltonian
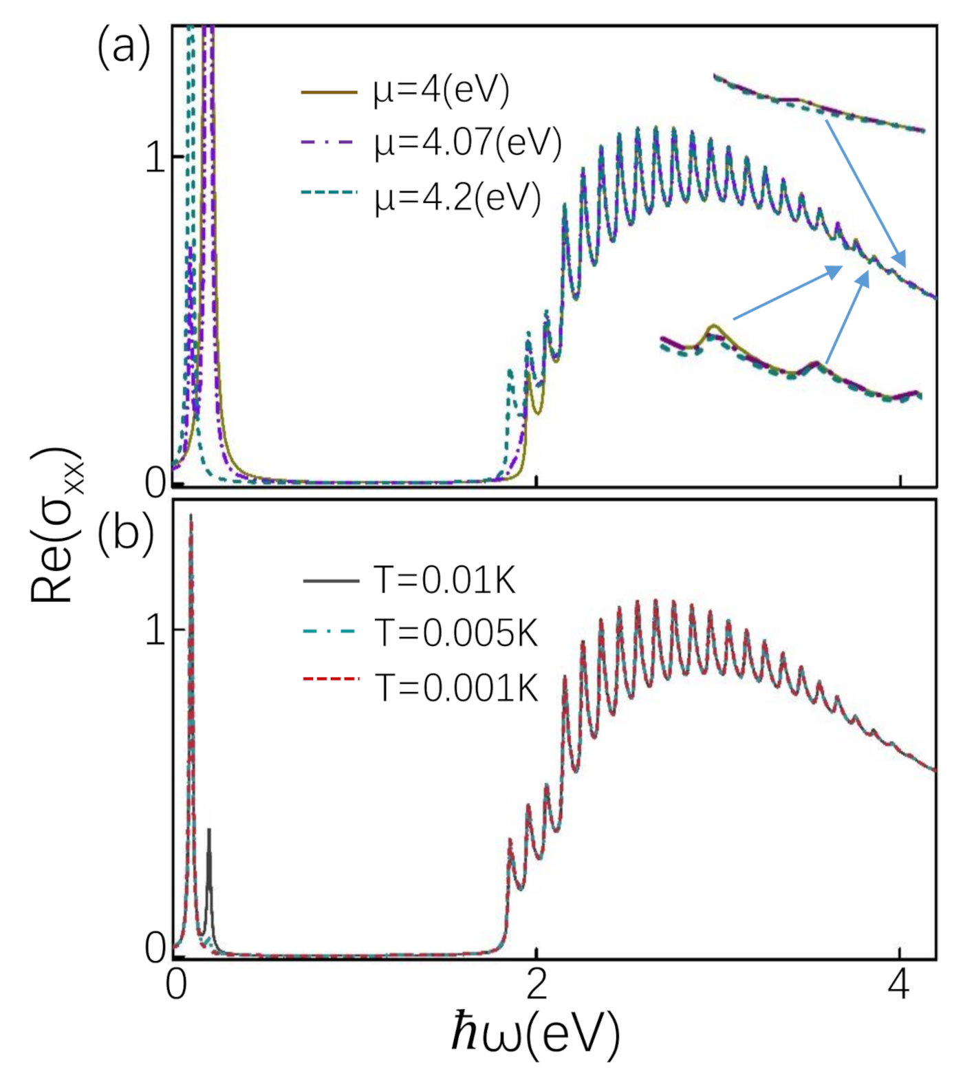
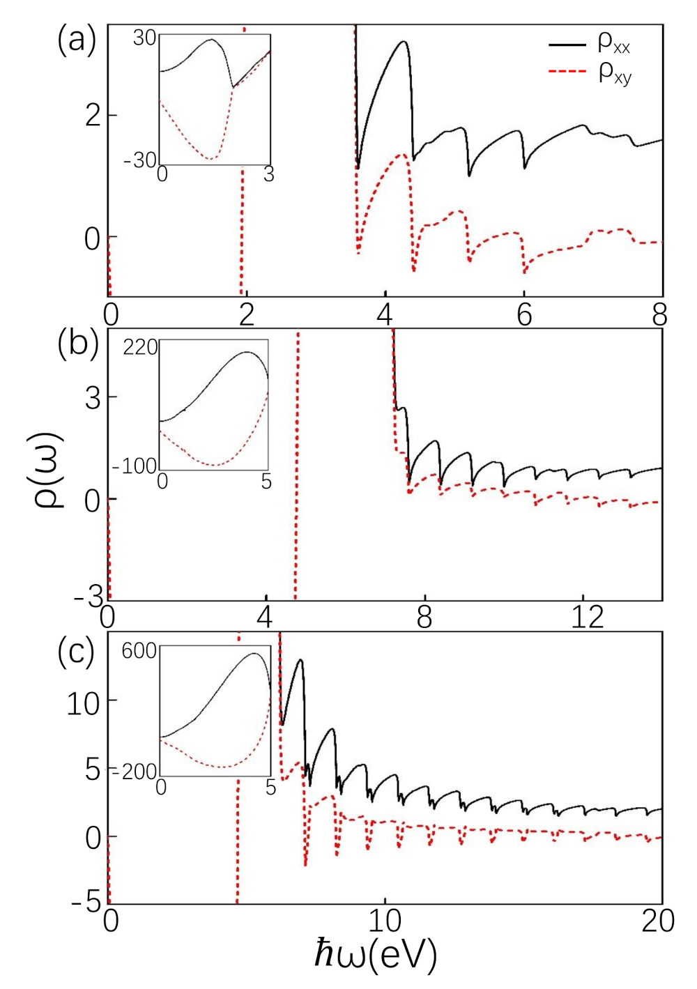
3. Magneto-Optical Response
4. Discussion and Summary
Author Contributions
Funding
Institutional Review Board Statement
Informed Consent Statement
Data Availability Statement
Conflicts of Interest
References
- Burkov, A.A.; Hook, M.D.; Balents, L. Topological nodal semimetals. Phys. Rev. B 2011, 84, 235126. [Google Scholar] [CrossRef]
- Xu, G.; Weng, H.; Wang, Z.; Dai, X.; Fang, Z. Chern Semimetal and the Quantized Anomalous Hall Effect in HgCr2Se4. Phys. Rev. Lett. 2011, 107, 186806. [Google Scholar] [CrossRef] [PubMed]
- Chiu, C.-K.; Schnyder, A.P. Classification of reflection symmetry protected topological semimetals and nodal superconductors. Phys. Rev. B 2014, 90, 205136. [Google Scholar] [CrossRef]
- Fang, C.; Chen, Y.; Kee, H.-Y.; Fu, L. Topological nodal line semimetals with and without spin-orbital coupling. Phys. Rev. B 2015, 92, 081201(R). [Google Scholar] [CrossRef]
- Kim, Y.; Wieder, B.J.; Kane, C.L.; Rappe, A.M. Dirac Line Nodes in Inversion-Symmetric Crystals. Phys. Rev. Lett. 2015, 115, 036806. [Google Scholar] [CrossRef] [PubMed]
- Li, R.; Ma, H.; Cheng, X.; Wang, S.; Li, D.; Zhang, Z.; Li, Y.; Chen, X.Q. Dirac Node Lines in Pure Alkali Earth Metals. Phys. Rev. Lett. 2016, 117, 096401. [Google Scholar] [CrossRef]
- Young, S.M.; Zaheer, S.; Teo, J.C.Y.; Kane, C.L.; Mele, E.J.; Rappe, A.M. Dirac Semimetal in Three Dimensions. Phys. Rev. Lett. 2012, 108, 140405. [Google Scholar] [CrossRef]
- Wang, Z.; Sun, Y.; Chen, X.-Q.; Franchini, C.; Xu, G.; Weng, H.; Dai, X.; Fang, Z. Dirac semimetal and topological phase transitions in A3Bi (A = Na, K, Rb). Phys. Rev. B 2012, 85, 195320. [Google Scholar] [CrossRef]
- Wang, Z.; Weng, H.; Wu, Q.; Dai, X.; Fang, Z. Three-dimensional Dirac semimetal and quantum transport in Cd3As2. Phys. Rev. B 2013, 88, 125427. [Google Scholar] [CrossRef]
- Wan, X.; Turner, A.M.; Vishwanath, A.; Savrasov, S.Y. Topological semimetal and Fermi-arc surface states in the electronic structure of pyrochlore iridates. Phys. Rev. B 2011, 83, 205101. [Google Scholar] [CrossRef]
- Yang, K.-Y.; Lu, Y.-M.; Ran, Y. Quantum Hall effects in a Weyl Semi-Metal: Possible application in pyrochlore Iridates. Phys. Rev. B 2011, 84, 075129. [Google Scholar] [CrossRef]
- Burkov, A.A.; Balents, L. Weyl Semimetal in a Topological Insulator Multilayer. Phys. Rev. Lett. 2011, 107, 127205. [Google Scholar] [CrossRef]
- Witczak-Krempa, W.; Kim, Y.B. Topological and magnetic phases of interacting electrons in the pyrochlore iridates. Phys. Rev. B 2012, 85, 045124. [Google Scholar] [CrossRef]
- Weng, H.; Fang, C.; Fang, Z.; Bernevig, B.A.; Dai, X. Weyl Semimetal Phase in Noncentrosymmetric Transition-Metal Monophosphides. Phys. Rev. X 2015, 5, 011029. [Google Scholar] [CrossRef]
- Chen, Y.; Xie, Y.; Yang, S.A.; Pan, H.; Zhang, F.; Cohen, M.L.; Zhang, S. Nanostructured Carbon Allotropes with Weyl-like Loops and Points. Nano Lett. 2015, 15, 6974. [Google Scholar] [CrossRef]
- Wu, Y.; Wang, L.-L.; Mun, E.; Johnson, D.D.; Mou, D.; Huang, L.; Lee, Y.; Bud’ko, S.L.; Canfield, P.C.; Kaminski, A. Dirac node arcs in PtSn4. Nat. Phys. 2016, 12, 667. [Google Scholar] [CrossRef]
- Chang, G.; Xu, S.-Y.; Zhou, X.; Huang, S.-M.; Singh, B.; Wang, B.; Belopolski, I.; Yin, J.; Zhang, S.; Bansil, A.; et al. Topological Hopf and Chain Link Semimetal States and Their Application to Co2MnGa. Phys. Rev. Lett. 2017, 119, 156401. [Google Scholar] [CrossRef]
- Wang, X.-B.; Ma, X.-M.; Emmanouilidou, E.; Shen, B.; Hsu, C.-H.; Zhou, C.-S.; Zuo, Y.; Song, R.-R.; Xu, S.-Y.; Wang, G.; et al. Topological surface electronic states in candidate nodal-line semimetal CaAgAs. Phys. Rev. B 2017, 96, 161112(R). [Google Scholar] [CrossRef]
- Rudenko, A.N.; Stepanov, E.A.; Lichtenstein, A.I.; Katsnelson, M.I. Excitonic Instability and Pseudogap Formation in Nodal Line Semimetal ZrSiS. Phys. Rev. Lett. 2018, 120, 216401. [Google Scholar] [CrossRef]
- Koshino, M.; Hizbullah, I.F. Magnetic susceptibility in three-dimensional nodal semimetals. Phys. Rev. B 2016, 93, 045201. [Google Scholar] [CrossRef]
- Rhim, J.-W.; Kim, Y.B. Landau level quantization and almost flat modes in three-dimensional semimetals with nodal ring spectra. Phys. Rev. B 2015, 92, 045126. [Google Scholar] [CrossRef]
- Lim, L.-K.; Moessner, R. Pseudospin Vortex Ring with a Nodal Line in Three Dimensions. Phys. Rev. Lett. 2017, 118, 016401. [Google Scholar] [CrossRef] [PubMed]
- Zhu, H.M.; Jiang, L.; Zheng, Y. Magnetic field induced metal Cinsulator transition in single nodal ring topological semimetals. J. Phys. Condens. Matter 2018, 30, 285501. [Google Scholar]
- Hu, J.; Tang, Z.; Liu, J.; Liu, X.; Zhu, Y.; Graf, D.; Myhro, K.; Tran, S.; Lau, C.N.; Wei, J.; et al. Evidence of Topological Nodal-Line Fermions in ZrSiSe and ZrSiTe. Phys. Rev. Lett. 2016, 117, 016602. [Google Scholar] [CrossRef] [PubMed]
- Li, C.; Wang, C.M.; Wan, B.; Wan, X.; Lu, H.-Z.; Xie, X.C. Rules for Phase Shifts of Quantum Oscillations in Topological Nodal-Line Semimetals. Phys. Rev. Lett. 2018, 120, 146602. [Google Scholar] [CrossRef] [PubMed]
- Kwan, Y.H.; Reiss, P.; Han, Y.; Bristow, M.; Prabhakaran, D.; Graf, D.; McCollam, A.; Parameswaran, S.A.; Coldea, A.I. Quantum oscillations probe the Fermi surface topology of the nodal-line semimetal CaAgAs. Phys. Rev. Res. 2020, 2, 012055(R). [Google Scholar] [CrossRef]
- Carbotte, J.P. Optical response of a line node semimetal. J. Phys. Condens. Matter 2017, 29, 045301. [Google Scholar] [CrossRef]
- Mukherjee, S.P.; Carbotte, J.P. Transport and optics at the node in a nodal loop semimetal. Phys. Rev. B 2017, 95, 214203. [Google Scholar] [CrossRef]
- Gao, Y.; Chen, Y.; Xie, Y.; Chang, P.-Y.; Cohen, M.L.; Zhang, S. A class of topological nodal rings and its realization in carbon networks. Phys. Rev. B 2018, 97, 121108(R). [Google Scholar] [CrossRef]
- Li, S.; Yu, Z.-M.; Liu, Y.; Guan, S.; Wang, S.-S.; Zhang, X.; Yao, Y.; Yang, S.A. Type-II nodal loops: Theory and material realization. Phys. Rev. B 2017, 96, 081106. [Google Scholar] [CrossRef]
- Zhang, X.M.; Jin, L.; Dai, X.F.; Liu, G.D.J. Topological Type-II Nodal Line Semimetal and Dirac Semimetal State in Stable Kagome Compound Mg3Bi2. Phys. Chem. Lett. 2017, 8, 4814. [Google Scholar] [CrossRef]
- Chang, T.R.; Pletikosic, I.; Kong, T.; Bian, G.; Huang, A.; Denlinger, J.; Kushwaha, S.K.; Sinkovic, B.; Jeng, H.T.; Valla, T.; et al. Realization of a Type-II Nodal-Line Semimetal in Mg3Bi2. Adv. Sci. 2019, 6, 1800897. [Google Scholar] [CrossRef]
- He, J.; Kong, X.; Wang, W.; Kou, S.-P. Type-II nodal line semimetal. New J. Phys. 2018, 20, 053019. [Google Scholar] [CrossRef]
- Zhang, X.M.; Jin, L.; Dai, X.F.; Liu, G.D. Highly anisotropic type-II nodal line state in pure titanium metal. Appl. Phys. Lett. 2018, 112, 122403. [Google Scholar] [CrossRef]
- Zhang, L.; Wang, K. Pure Zirconium: Type II Nodal Line and Nodal Surface States. Front. Chem. 2020, 8, 851. [Google Scholar] [CrossRef]
- Jiang, Z.; Henriksen, E.A.; Tung, L.C.; Wang, Y.-J.; Schwartz, M.E.; Han, M.Y.; Kim, P.; Stormer, H.L. Infrared Spectroscopy of Landau Levels of Graphene. Phys. Rev. Lett. 2007, 98, 197403. [Google Scholar] [CrossRef]
- Schafgans, A.A.; Post, K.W.; Taskin, A.A.; Ando, Y.; Qi, X.-L.; Chapler, B.C.; Basov, D.N. Landau level spectroscopy of surface states in the topological insulator Bi0.91Sb0.09 via magneto-optics. Phys. Rev. B 2012, 85, 195440. [Google Scholar] [CrossRef]
- Chen, R.Y.; Chen, Z.G.; Song, X.-Y.; Schneeloch, J.A.; Gu, G.D.; Wang, F.; Wang, N.L. Magnetoinfrared Spectroscopy of Landau Levels and Zeeman Splitting of Three-Dimensional Massless Dirac Fermions in ZrTe5. Phys. Rev. Lett. 2015, 115, 176404. [Google Scholar] [CrossRef]
- Shao, Y.; Sun, Z.; Wang, Y.; Xu, C.C.; Sankar, R.; Breindel, A.J.; Cao, C.; Fogler, M.M.; Millis, A.J.; Chou, F.C.; et al. Optical signatures of Dirac nodal lines in NbAs2. Proc. Natl. Acad. Sci. USA 2019, 116, 1168. [Google Scholar] [CrossRef]
- Polatkan, S.; Goerbig, M.O.; Wyzula, J.; Kemmler, R.; Maulana, L.Z.; Piot, B.A.; Crassee, I.; Akrap, A.; Shekhar, C.; Felser, C.; et al. Magneto-Optics of a Weyl Semimetal beyond the Conical Band Approximation: Case Study of TaP. Phys. Rev. Lett. 2020, 124, 176402. [Google Scholar] [CrossRef]
- Ashby, P.E.C.; Carbotte, J.P. Magneto-optical conductivity of Weyl semimetals. Phys. Rev. B 2013, 87, 245131. [Google Scholar] [CrossRef]
- Malcolm, J.D.; Nicol, E.J. Magneto-optics of general pseudospin-s two-dimensional Dirac-Weyl fermions. Phys. Rev. B 2014, 90, 035405. [Google Scholar] [CrossRef]
- Tchoumakov, S.; Civelli, M.; Goerbig, M.O. Magnetic-Field-Induced Relativistic Properties in Type-I and Type-II Weyl Semimetals. Phys. Rev. Lett. 2016, 117, 086402. [Google Scholar] [CrossRef] [PubMed]
- Wei, Y.-W.; Li, C.-K.; Qi, J.; Feng, J. Magnetoconductivity of type-II Weyl semimetals. Phys. Rev. B 2018, 97, 205131. [Google Scholar] [CrossRef]
- Duan, W.; Ma, Z.; Zhang, C. Magneto-optical conductivity of a topological nodal ring semimetal in a tilted magnetic field. Phys. Rev. B 2020, 102, 195123. [Google Scholar] [CrossRef]
- Laha, A.; Mardanya, S.; Singh, B.; Lin, H.; Bansil, A.; Agarwal, A.; Hossain, Z. Magnetotransport properties of the topological nodal-line semimetal CaCdSn. Phys. Rev. B 2020, 1102, 035164. [Google Scholar] [CrossRef]
- Sun, Y.-M.; Zhao, H.; Wu, M.-M.; Pan, H. Magneto-optical conductivity of nodal line semimetals. Phys. B Condens. Matter 2020, 599, 412478. [Google Scholar] [CrossRef]
- Li, J.; Sun, Y.M.; Wu, M.M.; Pan, H. Novel electric field effects on magneto-optical conductivity in eight-Pmmn borophene. J. Phys. Condens. Matter 2021, 33, 185501. [Google Scholar] [CrossRef]
- De Gail, R.; Goerbig, M.O.; Guinea, F.; Montambaux, G.; Castro Neto, A.H. Topologically protected zero modes in twisted bilayer graphene. Phys. Rev. B 2011, 84, 045436. [Google Scholar] [CrossRef]
- Carbotte, J.P. Dirac cone tilt on interband optical background of type-I and type-II Weyl semimetals. Phys. Rev. B 2016, 94, 165111. [Google Scholar] [CrossRef]
- Yu, Z.-M.; Yao, Y.; Yang, S.A. Predicted Unusual Magnetoresponse in Type-II Weyl Semimetals. Phys. Rev. Lett. 2016, 117, 077202. [Google Scholar] [CrossRef]
- Krstajić, P.M.; Vasilopoulos, P. Integer quantum Hall effect in gapped single-layer graphene. Phys. Rev. B 2012, 86, 115432. [Google Scholar] [CrossRef]
- Krstajić, P.M.; Vasilopoulos, P. Integral quantum Hall effect in graphene: Zero and finite Hall field. Phys. Rev. B 2011, 83, 075427. [Google Scholar] [CrossRef]
- Zhou, X.Y.; Zhang, R.; Sun, J.P.; Zou, Y.L.; Zhang, D.; Lou, W.K.; Cheng, F.; Zhou, G.H.; Zhai, F.; Chang, K. Landau levels and magnetotransport property of monolayer phosphorene. Sci. Rep. 2015, 5, 12295. [Google Scholar] [CrossRef]
- Li, Z.; Carbotte, J.P. Magneto-optical conductivity in a topological insulator. Phys. Rev. B 2013, 88, 045414. [Google Scholar] [CrossRef]
- Sun, Y.; Wang, A.-M. Magneto-optical conductivity of double Weyl semimetals. Phys. Rev. B 2017, 96, 085147. [Google Scholar] [CrossRef]
- Gorbar, E.V.; Gusynin, V.P.; Kuzmenko, A.B.; Sharapov, S.G. Magneto-optical and optical probes of gapped ground states of bilayer graphene. Phys. Rev. B 2012, 86, 075414. [Google Scholar] [CrossRef]
- Scharf, B.; Perebeinos, V.; Fabian, J.; Žutić, I. Magneto-optical conductivity of graphene on polar substrates. Phys. Rev. B 2013, 88, 125429. [Google Scholar] [CrossRef]
- Tahir, M.; Vasilopoulos, P. Magneto-optical transport properties of monolayer WSe2. Phys. Rev. B 2016, 94, 045415. [Google Scholar] [CrossRef]
- Charbonneau, M.; Van, V.K.; Vasilopoulos, P. Linear response theory revisited III: One-body response formulas and generalized Boltzmann equations. J. Math. Phys. 1982, 23, 318. [Google Scholar] [CrossRef]
- Peeters, F.M.; Vasilopoulos, P. Electrical and thermal properties of a two-dimensional electron gas in a one-dimensional periodic potential. Phys. Rev. B 1992, 46, 4667. [Google Scholar] [CrossRef]
- Nasir, R.; Sabeeh, K.; Tahir, M. Magnetotransport in a periodically modulated graphene monolayer. Phys. Rev. B 2010, 81, 085402. [Google Scholar] [CrossRef]






Publisher’s Note: MDPI stays neutral with regard to jurisdictional claims in published maps and institutional affiliations. |
© 2021 by the authors. Licensee MDPI, Basel, Switzerland. This article is an open access article distributed under the terms and conditions of the Creative Commons Attribution (CC BY) license (https://creativecommons.org/licenses/by/4.0/).
Share and Cite
Sun, Y.; Li, J.; Zhao, H.; Wu, M.; Pan, H. Magneto-Optical Transport Properties of Type-II Nodal Line Semimetals. Materials 2021, 14, 3035. https://doi.org/10.3390/ma14113035
Sun Y, Li J, Zhao H, Wu M, Pan H. Magneto-Optical Transport Properties of Type-II Nodal Line Semimetals. Materials. 2021; 14(11):3035. https://doi.org/10.3390/ma14113035
Chicago/Turabian StyleSun, Yanmei, Jing Li, Hui Zhao, Meimei Wu, and Hui Pan. 2021. "Magneto-Optical Transport Properties of Type-II Nodal Line Semimetals" Materials 14, no. 11: 3035. https://doi.org/10.3390/ma14113035
APA StyleSun, Y., Li, J., Zhao, H., Wu, M., & Pan, H. (2021). Magneto-Optical Transport Properties of Type-II Nodal Line Semimetals. Materials, 14(11), 3035. https://doi.org/10.3390/ma14113035

