Effect of Welding Peak Temperature on Microstructure and Impact Toughness of Heat-Affected Zone of Q690 High Strength Bridge Steel
Abstract
1. Introduction
2. Materials and Methods
2.1. Materials
2.2. Welding Thermal Simulation Procedure
2.3. Microstructural Characterization
2.4. Mechanical Properties
3. Results and Discussions
3.1. Microstructure
3.2. Microhardness
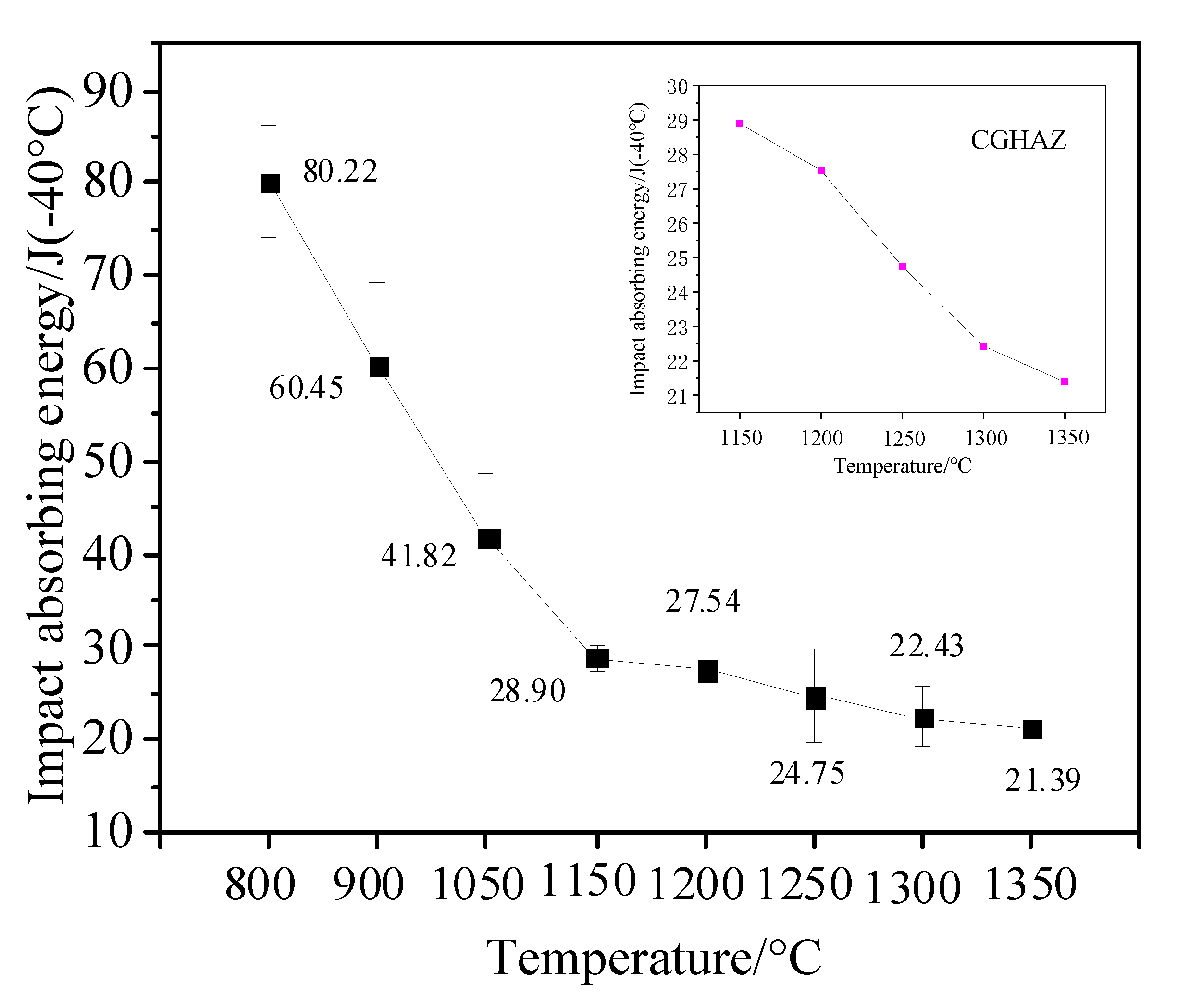
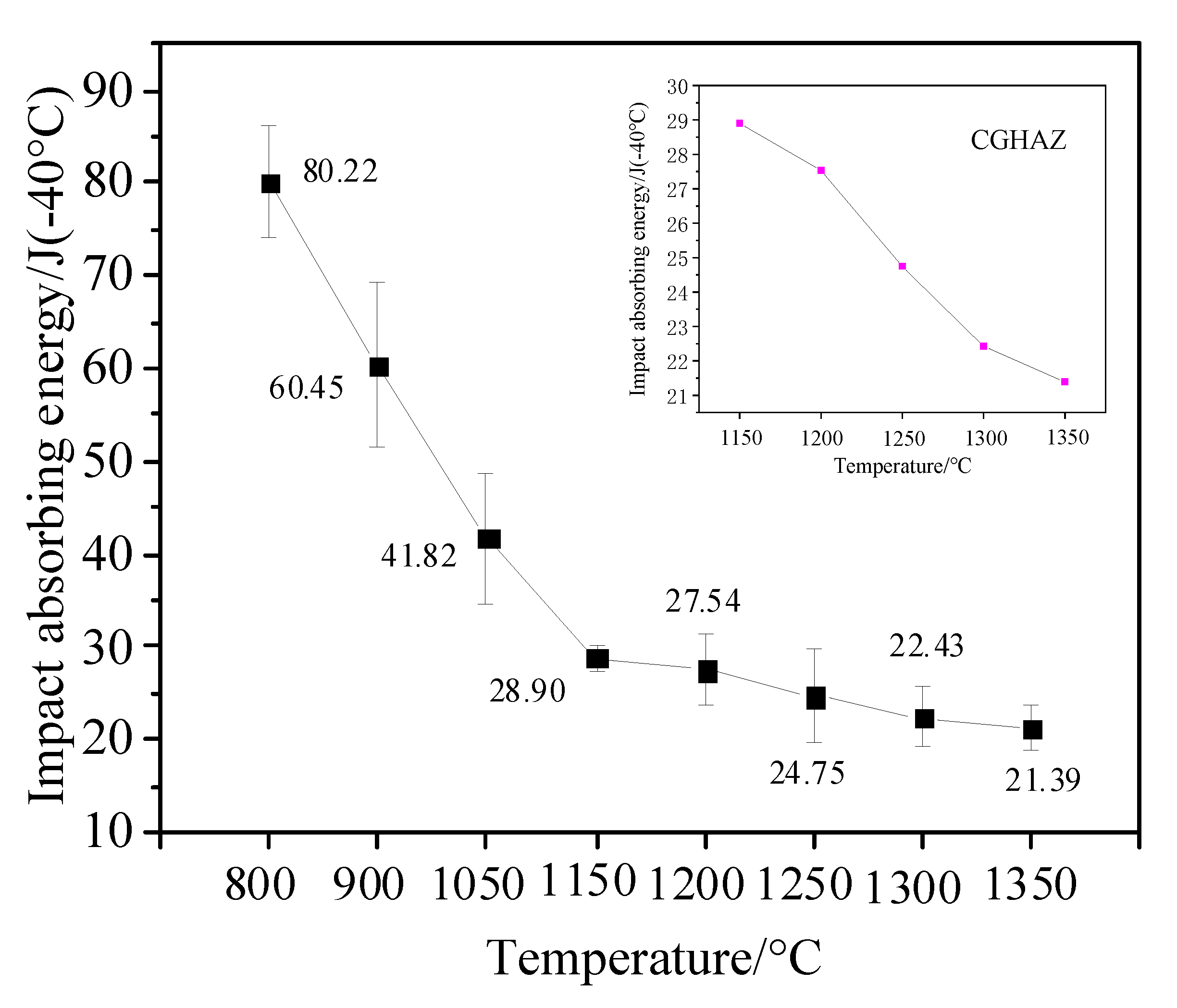
3.3. Impact Toughness
3.4. Crystallographic Characteristics
4. Conclusions
- (1)
- The microstructure of ICHAZ (800 °C peak temperature) consists of fine B and F. The microstructure of FGHAZ (900 °C and 1050 °C peak temperature) and CGHAZ (1150–1350 °C peak temperature) was composed of fine LB + GB + LM, but the microstructure of FGHAZ was finer.
- (2)
- Microhardness: FGHAZ > CGHAZ > ICHAZ. The microhardness of the ICHAZ is the smallest, the microhardness of the FGHAZ is the largest, and the microhardness of CGHAZ is slightly less than that of the FGHAZ. With the increase of peak temperature, the microhardness of the CGHAZ first increases and then decreases.
- (3)
- The −40 °C impact energy of HAZ decreases with the increase in peak temperature. When the peak temperature is between 800 °C and 1150 °C, the microstructure changes, and the impact energy decreases significantly. When the peak temperature is between 1150 °C and 1350 °C, the microstructure type remains unchanged, and the impact absorption energy decreases slowly. For the CGHAZ, when the peak temperature is 1200 °C, it has a high hardness and high toughness.
- (4)
- Reasonable control of peak temperature is the key to prevent grain coarsening by studying the HAZ of Q690 steel. For CGHAZ, the peak temperature should be lower than 1200 °C to avoid a decrease in mechanical properties.
- (5)
- The peak temperature increases from 800 °C to 1150 °C, the impact toughness decreases significantly, but the change in the high angle grain boundary is not apparent. The difference in microstructure and the original austenite grain size is the main reason for the difference in impact toughness.
Author Contributions
Funding
Institutional Review Board Statement
Informed Consent Statement
Data Availability Statement
Acknowledgments
Conflicts of Interest
References
- Guo, H.; Liang, G.; Li, Y.; Liu, Y. Q690 high strength steel T-stub tensile behavior: Experimental research and theoretical analysis. J. Constr. Steel Res. 2017, 139, 473–483. [Google Scholar] [CrossRef]
- Ma, T.; Hu, Y.; Liu, X.; Li, G.; Chung, K. Experimental investigation into high strength Q690 steel welded H-sections under combined compression and bending. J. Constr. Steel Res. 2017, 138, 449–462. [Google Scholar] [CrossRef]
- Li, T.; Li, G.; Chan, S.; Wang, Y. Behavior of Q690 high-strength steel columns: Part 1: Experimental investigation. J. Constr. Steel Res. 2016, 123, 18–30. [Google Scholar] [CrossRef]
- Zhang, C.; Wang, R.; Song, G. Effects of pre-fatigue damage on mechanical properties of Q690 high-strength steel. Constr. Build. Mater. 2020, 252, 118845. [Google Scholar] [CrossRef]
- Wang, H.; Wang, F.; Shi, G.; Sun, Y.; Wang, J.L.Q. Effect of welding heat input on microstructure and impact toughness in CGHAZ of X100Q steel. J. Iron Steel Res. Int. 2019, 26, 637–646. [Google Scholar] [CrossRef]
- Dong, W.-C.; Wen, M.-Y.; Pang, H.-Y.; Lu, S.-P. Effect of Post weld Tempering on the Microstructure and Mechanical Properties in the Simulated HAZs of a High-Strength–High-Toughness Combination Marine Engineering Steel. Acta Metall. Sin. 2020, 33, 391–402. [Google Scholar] [CrossRef]
- Yang, X.; Di, X.; Liu, X.; Wang, D.; Li, C. Effects of heat input on microstructure and fracture toughness of simulated coarse-grained heat affected zone for HSLA steels. Mater. Charact. 2019, 155, 109818. [Google Scholar] [CrossRef]
- Xie, H.; Du, L.; Hu, J.; Sun, G.; Wu, H.; Misra, R.D.K. Effect of thermo-mechanical cycling on the microstructure and toughness in the weld CGHAZ of a novel high strength low carbon steel. Mater. Sci. Eng. A 2015, 639, 482–488. [Google Scholar] [CrossRef]
- Li, C.; Wang, Y.; Han, T. Microstructure and toughness of coarse grain heat-affected zone of domestic X70 pipeline steel during in-service welding. J. Mater. Sci. 2011, 46, 727–733. [Google Scholar] [CrossRef]
- Zhang, J.; Xin, W.; Luo, G.; Wang, R.; Meng, Q.; Xian, S. Effect of welding heat input on microstructural evolution, precipitation behavior and resultant properties of the simulated CGHAZ in high-N V-alloyed steel. Mater. Charact. 2020, 162, 110201. [Google Scholar] [CrossRef]
- Wen, C.; Wang, Z.; Deng, X.; Wang, G. Effect of Heat Input on the Microstructure and Mechanical Properties of Low Alloy Ultra-High Strength Structural Steel Welded Joint. Steel Res. Int. 2018, 89, 1–9. [Google Scholar] [CrossRef]
- Zhan, L.; Ma, Z.; He, X.; Li, B. Research Progress on Numerical Simulation of Welded Joints Microstructure. IOP Conference Series Earth and Environmental Science. In Proceedings of the 5th International Conference on Materials Science, Energy Technology and Environmental Engineering, Shanghai, China, 7–9 August 2020; p. 012145. [Google Scholar]
- Njock Bayock, F.; Kah, P.; Layus, P.; Karkhin, V. Numerical and Experimental Investigation of the Heat Input Effect on the Mechanical Properties and Microstructure of Dissimilar Weld Joints of 690-MPa QT and TMCP Steel. Metals Open Access Metall. J. 2019, 9, 355. [Google Scholar] [CrossRef]
- Cao, R.; Li, J.; Liu, D.S.; Ma, J.Y.; Chen, J.H. Micromechanism of Decrease of Impact Toughness in Coarse-Grain Heat-Affected Zone of HSLA Steel with Increasing Welding Heat Input. Metall. Mater. Trans. A 2015, 46, 2999–3014. [Google Scholar] [CrossRef]
- Li, Z.; Tian, L.; Jia, B.; Li, S. A new method to study the effect of M–A constituent on impact toughness of IC HAZ in Q690 steel. J. Mater. Res. 2015, 30, 1973–1978. [Google Scholar] [CrossRef]
- Kumar, K.S. Analytical Modeling of Temperature Distribution, Peak Temperature, Cooling Rate and Thermal Cycles in a Solid Work Piece Welded by Laser Welding Process. Procedia Mater. Sci. 2014, 6, 821–834. [Google Scholar] [CrossRef]
- Hu, J.; Du, L.; Wang, J.; Gao, C. Effect of welding heat input on microstructures and toughness in simulated CGHAZ of V–N high strength steel. Mater. Sci. Eng. A 2013, 577, 161–168. [Google Scholar] [CrossRef]
- Hu, J.; Du, L.; Xie, H.; Dong, F.; Misra, R.D.K. Effect of weld peak temperature on the microstructure, hardness, and transformation kinetics of simulated heat affected zone of hot rolled ultra-low carbon high strength Ti–Mo ferritic steel. Mater. Des. 2014, 60, 302–309. [Google Scholar] [CrossRef]
- Guo, A.; Misra, R.D.K.; Liu, J.; Chen, L.; He, X.; Jansto, S.J. An analysis of the microstructure of the heat-affected zone of an ultra-low carbon and niobium-bearing acicular ferrite steel using EBSD and its relationship to mechanical properties. Mater. Sci. Eng. A 2010, 527, 6440–6448. [Google Scholar] [CrossRef]
- Khalaj, G.; Yoozbashizadeh, H.; Khodabandeh, A.; Tamizifar, M. Austenite grain growth modelling in weld heat affected zone of Nb/Ti microalloyed linepipe steel. Mater. Sci. Technol. 2014, 30, 424–433. [Google Scholar] [CrossRef]
- Pouraliakbar, H.; Khalaj, M.J.; Nazerfakhari, M.; Khalaj, G. Artificial Neural Networks for Hardness Prediction of HAZ with Chemical Composition and Tensile Test of X70 Pipeline Steels. J. Iron Steel Res. Int. 2015, 22, 446–450. [Google Scholar] [CrossRef]
- Tomków, J.; Fydrych, D.; Rogalski, G. Dissimilar underwater wet welding of HSLA steels. Int. J. Adv. Manuf. Technol. 2020, 109, 717–725. [Google Scholar] [CrossRef]
- Li, Z. Study on Microstructure and Thermostability of Heat Affected Zone of Q690 Steel. Ph.D. Thesis, Shandong University, Jinan, China, 2014. [Google Scholar]
- Xiong, Z.; Liu, S.; Wang, X.; Shang, C.; Li, X.; Misra, R.D.K. The contribution of intragranular acicular ferrite microstructural constituent on impact toughness and impeding crack initiation and propagation in the heat-affected zone (HAZ) of low-carbon steels. Mater. Sci. Eng. A 2015, 636, 117–123. [Google Scholar] [CrossRef]
- Kang, N.; Lee, Y.; Byun, S.; Kim, K.; Chung, J.; Cho, K. Quantitative analysis of microstructural and mechanical behavior for Fe -0.1C-(V, Nb) steels as a function of the final rolling temperature. Mater. Sci. Eng. A 2009, 499, 157–161. [Google Scholar] [CrossRef]
- Subramanian, S.; Ma, X.; Wang, X.; Collins, L. Control of % age Shear Area in DWTT at Low Temperature in Niobium Microalloyed Line Pipe Steel. Steel Res. Int. 2018, 1–10. [Google Scholar] [CrossRef]
- Gourgues, A.-F.; Flower, H.M.; Lindley, T.C. Electron backscattering diffraction study of acicular ferrite, bainite, and martensite steel microstructures Electron backscattering diffraction study of acicular ferrite, bainite, and martensite steel microstructures. Mater. Sci. Technol. 2000, 6, 25–40. [Google Scholar]
- Gourgues, A.F.; Besson, J.; Sturel, T.; Pineau, A. Mechanisms and Modeling of Cleavage Fracture in Simulated Heat-Affected Zone Microstructures of a High-Strength Low Alloy Steel. Metall. Mater. Trans. A 2004, 35, 1039–1053. [Google Scholar]
- You, Y.; Shang, C.; Wenjin, N.; Subramanian, S. Investigation on the microstructure and toughness of coarse grained heat affected zone in X-100 multi-phase pipeline steel with high Nb content. Mater. Sci. Eng. A 2012, 558, 692–701. [Google Scholar] [CrossRef]













| C | Si | Mn | Cr | Ni | Cu | Mo | Nb | V | Ti | B | Fe | CE |
|---|---|---|---|---|---|---|---|---|---|---|---|---|
| <0.10 | 0.20 | 1.30 | 0.50 | 1.00 | 0.30 | 0.70 | 0.03 | 0.08 | 0.012 | 0.0015 | Bal | 0.66 |
Publisher’s Note: MDPI stays neutral with regard to jurisdictional claims in published maps and institutional affiliations. |
© 2021 by the authors. Licensee MDPI, Basel, Switzerland. This article is an open access article distributed under the terms and conditions of the Creative Commons Attribution (CC BY) license (https://creativecommons.org/licenses/by/4.0/).
Share and Cite
Zhang, Y.; Xiao, J.; Liu, W.; Zhao, A. Effect of Welding Peak Temperature on Microstructure and Impact Toughness of Heat-Affected Zone of Q690 High Strength Bridge Steel. Materials 2021, 14, 2981. https://doi.org/10.3390/ma14112981
Zhang Y, Xiao J, Liu W, Zhao A. Effect of Welding Peak Temperature on Microstructure and Impact Toughness of Heat-Affected Zone of Q690 High Strength Bridge Steel. Materials. 2021; 14(11):2981. https://doi.org/10.3390/ma14112981
Chicago/Turabian StyleZhang, Yue, Jun Xiao, Wei Liu, and Aimin Zhao. 2021. "Effect of Welding Peak Temperature on Microstructure and Impact Toughness of Heat-Affected Zone of Q690 High Strength Bridge Steel" Materials 14, no. 11: 2981. https://doi.org/10.3390/ma14112981
APA StyleZhang, Y., Xiao, J., Liu, W., & Zhao, A. (2021). Effect of Welding Peak Temperature on Microstructure and Impact Toughness of Heat-Affected Zone of Q690 High Strength Bridge Steel. Materials, 14(11), 2981. https://doi.org/10.3390/ma14112981

