Test and Numerical Model of Curved Steel–Concrete Composite Box Beams under Positive Moments
Abstract
1. Introduction
2. Materials and Method
2.1. Specimen Design
2.2. Material Properties
2.3. Test Setup
2.4. Instrumentation
3. Results and discussion
3.1. Test Observations
3.2. Load–Displacement Curve and Capacity
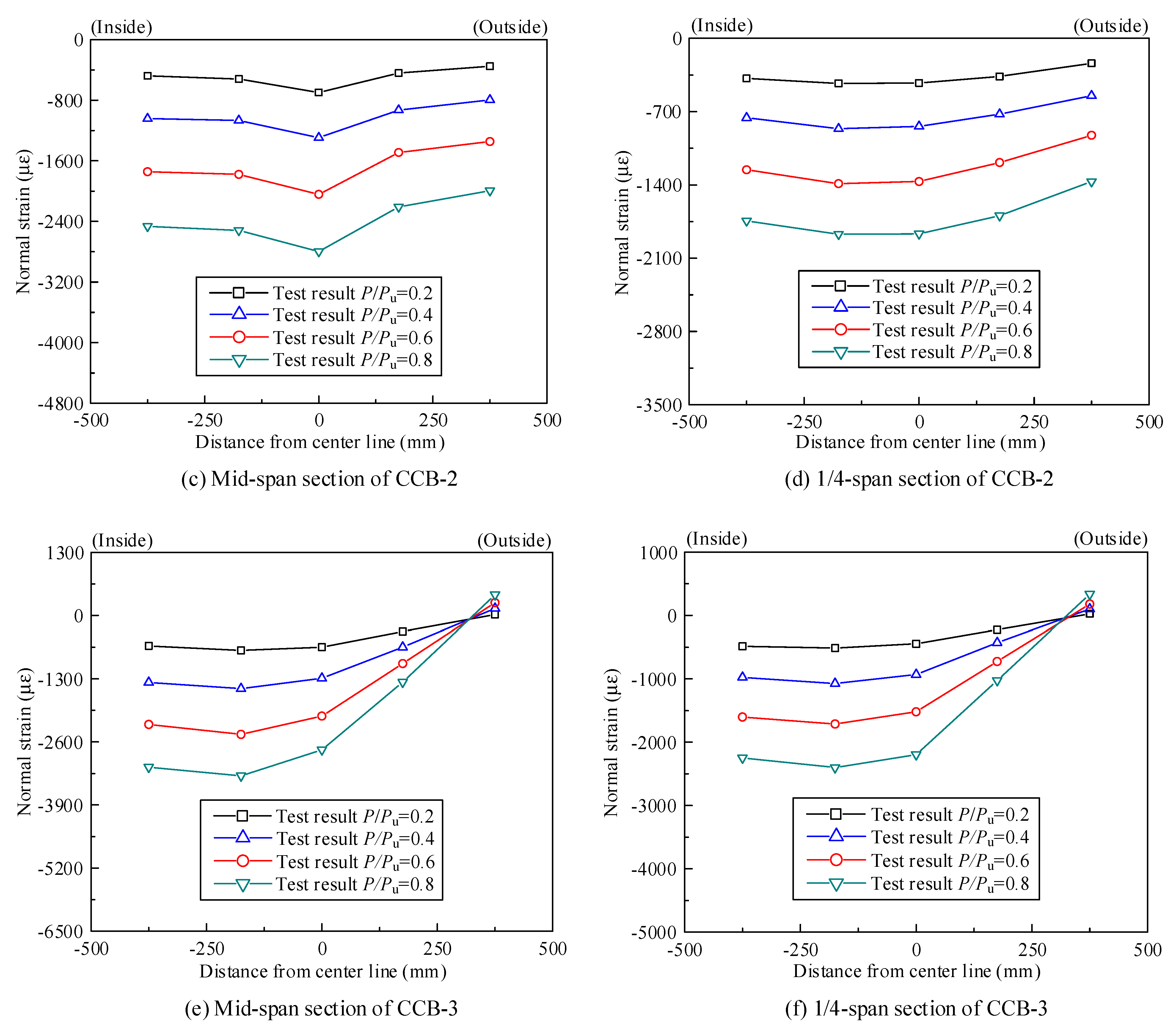
3.3. Strain Distribution
4. Finite Element Analysis
4.1. Elaborate Finite Element Model
- (1)
- Concrete
- (2)
- Steel plate
- (3)
- Rebar
- (4)
- Stud
4.2. Validation and Verification of Finite Element Modeling
4.3. Comparison of Experimental, Numerical, and Theoretical Results
5. Conclusion
Author Contributions
Funding
Institutional Review Board Statement
Informed Consent Statement
Data Availability Statement
Conflicts of Interest
Abbreviations
| εc | Strain of concrete |
| εc0 | Peak compressive strain of concrete |
| εcu | Ultimate compressive strain of concrete |
| fc′ | Compressive strength of concrete cylinder |
| fcu | Compressive strength of concrete cube |
| fct | Tensile strength of concrete |
| εct0 | Cracking strain of concrete |
| εctu | Ultimate tensile strain of concrete |
| Gf | Fracture energy of concrete calculated according to CEB-FIP1990 |
| le | Characteristic length of elements of concrete calculated according to CEB-FIP1990 |
| εy | Yield strain of steel |
| εh | Ultimate strain of steel |
| εsu | Ultimate strain of steel |
| fy | Yield strength of steel |
| fu | Ultimate strength of steel |
| εr | Strain of rebar |
| σr | Stress of rebar |
| εry | Yield strain of rebar |
| fry | Yield strength of rebar |
| Vu | Shear bearing capacity of a single stud |
| α1,α2 | Control parameters subjected to shear force calculated according to CEB-FIP2010 |
| ns | Number of studs in each group |
| Aus | Area of a single stud |
| Ec | Elastic moduli of concrete |
| Es | Elastic moduli of steel |
| fru | Tensile strength of stud |
| Kc | Parameter controlling the projection of yield surface onto the bias place for concrete |
| φ | Expansive angle related to flow rule for concrete |
| λ | Eccentricity of plastic potential function for concrete |
| Pu | Ultimate capacity of curved composite beams |
References
- Colville, J. Test of curved steel-concrete composite beams. J. Struct. Div. 1973, 99, 1555–1570. [Google Scholar] [CrossRef]
- Brennan, P.J.; Mandel, J.A. Multiple configuration curved bridge model studies. J. Struct. Div. 1979, 105, 875–890. [Google Scholar] [CrossRef]
- Jung, S. Inelastic strength behavior of horizontally curved composite I-girder bridge structural systems. Ph.D. Thesis, Georgia Institute of Technology, Atlanta, GA, USA, 2006. [Google Scholar]
- Thevendran, V.; Shanmugam, N.E.; Chen, S.; Liew, J.Y.R. Experimental study on steel-concrete composite beams curved in plan. Eng. Struct. 2000, 22, 877–889. [Google Scholar] [CrossRef]
- Krzmarzick, D.P.; Hajjar, J.F. Load Rating of Composite Steel Curved I-Girder Bridges through Load Testing with Heavy Trucks; Report MN/RC-2006-40; University of Minnesota: Minneapolis, MN, USA, 2006. [Google Scholar]
- Tan, U.L.; Uy, B. Experimental study on curved composite beams subjected to combined flexure and torsion. J. Constr. Steel Res. 2009, 65, 1855–1863. [Google Scholar] [CrossRef]
- Zhang, Y.L.; Ge, W.; Zhang, D.Y. Experimental research on bending-torsion characteristics of steel-concrete composite box beams. Adv. Mater. Res. 2012, 594, 785–790. [Google Scholar] [CrossRef]
- Zhu, L.; Su, R.K.L.; Li, M.J. Finite beam element with 26 DOFs for curved composite box girders considering constrained torsion, distortion, shear lag and biaxial slip. Eng. Struct. 2021, 232, 111797. [Google Scholar] [CrossRef]
- Zhu, L.; Wang, J.J.; Zhao, G.Y.; Huo, X.J.; Li, X. Experimental and numerical study on large-curvature curved composite box girder under hogging moment. Steel Compos. Struct. 2020, 37, 117–136. [Google Scholar]
- El-Tawil, S.; Okeil, A.M. Behavior and Design of Curved Composite Box Girder Bridges; Report of Florida Department of Transportation; University of Central Florida: Orlando, FL, USA, 2002. [Google Scholar]
- Samaan, M.; Kennedy, J.B.; Sennah, K. Impact factors for curved continuous composite multiple-box girder bridges. J. Bridge Eng. 2007, 12, 80–88. [Google Scholar] [CrossRef]
- Samaan, M.; Sennah, K.; Kennedy, J.B. Distribution factors for curved continuous composite box-girder bridges. J. Bridge Eng. 2005, 10, 678–692. [Google Scholar] [CrossRef]
- Sennah, K.M.; Kennedy, J.B. Load distribution factors for composite multicell box girder bridges. J. Bridge Eng. 1999, 4, 71–78. [Google Scholar] [CrossRef]
- Sennah, K.M.; Zhang, X.; Kennedy, J.B. Impact factors for horizontally curved composite box girder bridges. J. Bridge Eng. 2004, 9, 512–520. [Google Scholar] [CrossRef]
- Linzell, D.G.; Nadakuditi, V.P. Parameters influencing seismic response of horizontally curved, steel, I-girder bridges. Steel Compos. Struct. 2011, 11, 21–38. [Google Scholar] [CrossRef]
- Nie, J.G.; Zhu, L. Beam-truss model of steel-concrete composite box-girder bridges. J. Bridge Eng. 2014, 19, 04014023. [Google Scholar] [CrossRef]
- Lin, W.; Yoda, T. Numerical study on horizontally curved steel-concrete composite beams subjected to hogging moment. Int. J. Steel Struct. 2014, 14, 557–569. [Google Scholar] [CrossRef]
- Fatemi, S.J.; Mohamed Ali, M.S.; Sheikh, A.H. Load distribution for composite steel-concrete horizontally curved box girder bridge. J. Constr. Steel Res. 2016, 116, 19–28. [Google Scholar] [CrossRef]
- Zhu, L.; Wang, J.J.; Li, M.J.; Chen, C.; Wang, G.M. Finite beam element with 22 DOF for curved composite box girders considering torsion, distortion, and biaxial slip. Arch. Civ. Mech. Eng. 2020, 20, 101. [Google Scholar] [CrossRef]
- Wang, G.M.; Zhu, L.; Ji, X.L.; Ji, W.Y. Finite beam element for curved steel-concrete composite box beams considering time-dependent effect. Materials 2020, 13, 3253. [Google Scholar] [CrossRef]
- Sucharda, O.; Mateckova, P.; Bilek, V. Non-linear analysis of an RC beam without shear reinforcement with a sensitivity study of the material properties of concrete. Slovak J. Civ. Eng. 2020, 28, 33–43. [Google Scholar] [CrossRef]
- Valikhnai, A.; Jahromi, A.J.; Mantawy, I.M.; Azizinamini, A. Numerical modelling of concrete-to-UHPC bond strength. Materials 2020, 13, 1379. [Google Scholar] [CrossRef] [PubMed]
- China Ministry of Construction. Code for Seismic Design of Buildings (GB 50011-2010); China Ministry of Construction: Beijing, China, 2010.
- China Ministry of Construction. Standard for Design of steel structures (GB50017-2017); China Ministry of Construction: Beijing, China, 2017.
- China Ministry of Construction. Standard for Test Methods of Long-Term Performance and Durability of Original Concrete (GB/T50082-2009); China Ministry of Construction: Beijing, China, 2009.
- Nie, J.; Cai, C.S. Steel-concrete composite beams considering shear slip effects. J. Struct. Eng. 2003, 129, 495–506. [Google Scholar] [CrossRef]
- Abaqus 6.14 Documentation. Available online: http://130.149.89.49:2080/v6.14/index.html (accessed on 28 May 2021).
- Wang, Y.H.; Nie, J.G.; Cai, C.S. Numerical modeling on concrete structures and steel-concrete composite frame structures. Compos. Part. B 2013, 51, 58–67. [Google Scholar] [CrossRef]
- Hognestad, E.; Hanson, N.W.; McHenry, D. Concrete stress distribution in ultimate strength design. ACI J. Proc. 1955, 52, 455–480. [Google Scholar]
- Li, C.Q.; Li, K.F.; Chen, Z.Y. Numerical analysis of moisture influential depth in concrete and its application in durability design. Tsinghua Sci. Technol. 2008, 13, 7–12. [Google Scholar] [CrossRef]
- Guo, Z.H. Principles of Reinforced Concrete; Butterworth-Heinemann: London, UK, 2014. [Google Scholar]
- CEB-FIP (Comité Euro-International du Béton-Fédération International de la Précontrainte). CEB-FIP Mode Code 1990: Design Code; Thomas Telford: London, UK, 1993. [Google Scholar]
- Bazant, Z.; Oh, B. Crack band theory for fracture of concrete. Mater. Struct. 1983, 16, 155–177. [Google Scholar]
- Newman, J.C.; Loss, F.J. Elastic-Plastic Fracture Mechanics Technology; American Society for Testing and Materials: Philadelphia, PA, USA, 1986. [Google Scholar]
- Han, L.H.; Yao, G.H.; Zhao, X.L. Tests and calculations for hollow structural steel (HSS) stub columns filled with self-consolidating concrete (SCC). J. Constr. Steel Res. 2005, 61, 1241–1269. [Google Scholar] [CrossRef]
- CEB-FIP (Comité Euro-International du Béton-Fédération International de la Précontrainte). CEB-FIP Model Code 2010, Design Code; Thomas Telford: London, UK, 2010. [Google Scholar]
- Johnson, R.P. Composite structures of steel and concrete: Beams, slabs, columns and frames for buildings; John Wiley & Sons, Inc.: Hoboken, NJ, USA, 2008. [Google Scholar]






























| Specimen | Central Angle | Shear Connection Degree |
|---|---|---|
| CCB-1 | 45° | Strong |
| CCB-2 | 25° | Strong |
| CCB-3 | 45° | Weak |
| Coupons | Q345c Steel (Thickness 8 mm) | Q345c (Thickness 12 mm) | HRB335 (Diameter 12 mm) | |
|---|---|---|---|---|
| Yield strength (MPa) | Mean | 350.1 | 352.5 | 337.4 |
| Standard deviation | 4.3 | 3.4 | 4.8 | |
| Ultimate strength (Mpa) | Mean | 570.7 | 560.5 | 496.0 |
| Standard deviation | 6.7 | 7.1 | 5.8 | |
| Elongation ratio | Mean | 0.304 | 0.316 | 0.324 |
| Standard deviation | 0.0031 | 0.0027 | 0.0040 |
| Component | Water | Cement | Sand | Aggregate |
|---|---|---|---|---|
| Proportion | 205 | 490 | 560 | 1197 |
| Specimen | CCB-1 | CCB-2 | CCB-3 | |
|---|---|---|---|---|
| 150 mm cubic compressive strength (MPa) | Mean | 49.7 | 60.4 | 52.1 |
| Standard deviation | 2.1 | 3.0 | 2.7 |
| Specimen | Yield Load (kN) | Yield Displacement (mm) | Ultimate Capacity Pu (kN) | Ultimate Displacement (mm) |
|---|---|---|---|---|
| CCB-1 | 491.8868 | 84.4649 | 581.9083 | 160.0512 |
| CCB-2 | 526.3409 | 81.7638 | 648.2645 | 171.8867 |
| CCB-3 | 459.3324 | 83.6047 | 571.2004 | 161.9660 |
| CCB-1 | CCB-2 | CCB-3 | |
|---|---|---|---|
| Experimental | 582 | 648 | 571 |
| Numerical | 574 | 638 | 564 |
| Theoretical | 570 | 630 | 570 |
Publisher’s Note: MDPI stays neutral with regard to jurisdictional claims in published maps and institutional affiliations. |
© 2021 by the authors. Licensee MDPI, Basel, Switzerland. This article is an open access article distributed under the terms and conditions of the Creative Commons Attribution (CC BY) license (https://creativecommons.org/licenses/by/4.0/).
Share and Cite
Liu, Z.-M.; Huo, X.-J.; Wang, G.-M.; Ji, W.-Y. Test and Numerical Model of Curved Steel–Concrete Composite Box Beams under Positive Moments. Materials 2021, 14, 2978. https://doi.org/10.3390/ma14112978
Liu Z-M, Huo X-J, Wang G-M, Ji W-Y. Test and Numerical Model of Curved Steel–Concrete Composite Box Beams under Positive Moments. Materials. 2021; 14(11):2978. https://doi.org/10.3390/ma14112978
Chicago/Turabian StyleLiu, Zhi-Min, Xue-Jin Huo, Guang-Ming Wang, and Wen-Yu Ji. 2021. "Test and Numerical Model of Curved Steel–Concrete Composite Box Beams under Positive Moments" Materials 14, no. 11: 2978. https://doi.org/10.3390/ma14112978
APA StyleLiu, Z.-M., Huo, X.-J., Wang, G.-M., & Ji, W.-Y. (2021). Test and Numerical Model of Curved Steel–Concrete Composite Box Beams under Positive Moments. Materials, 14(11), 2978. https://doi.org/10.3390/ma14112978
