New Low-Melting Triply Charged Homoleptic Cr(III)-Based Ionic Liquids in Comparison to Their Singly Charged Heteroleptic Analogues
Abstract
1. Introduction
2. Materials and Methods
2.1. Instrumentation
2.2. Materials
2.3. Synthesis of (RMIm)3[Cr(NCS)6]
2.4. Synthesis of (RMIm)3[Cr(NCS)4L2]
3. Results
3.1. Syntheses
3.2. Physicochemical Properties: Electronic and Infrared Data
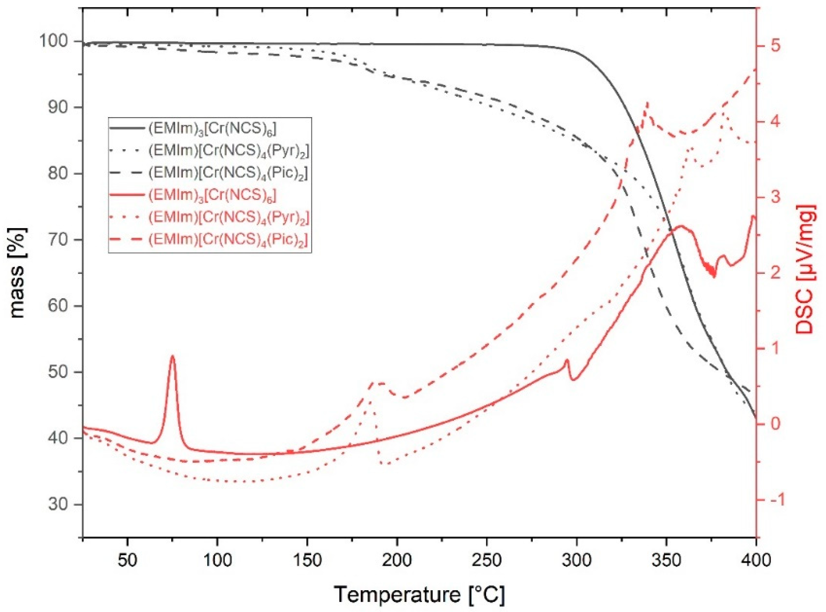
3.3. Thermal Properties
3.4. Crystal Structures
4. Conclusions
Author Contributions
Funding
Data Availability Statement
Acknowledgments
Conflicts of Interest
References
- Gomes, J.M.; Silva, S.S.; Reis, R.L. Biocompatible ionic liquids: Fundamental behaviours and applications. Chem. Soc. Rev. 2019, 48, 4317–4335. [Google Scholar] [CrossRef] [PubMed]
- Hallett, J.P.; Welton, T. Room-Temperature Ionic Liquids: Solvents for Synthesis and Catalysis. 2. Chem. Rev. 2011, 111, 3508–3576. [Google Scholar] [CrossRef]
- Hayes, R.; Warr, G.G.; Atkin, R. Structure and Nanostructure in Ionic Liquids. Chem. Rev. 2015, 115, 6357–6426. [Google Scholar] [CrossRef] [PubMed]
- Sheldon, R. Catalytic reactions in ionic liquids. Chem. Commun. 2001, 2399–2407. [Google Scholar] [CrossRef] [PubMed]
- Welton, T. Room-Temperature Ionic Liquids. Solvents for Synthesis and Catalysis. Chem. Rev. 1999, 99, 2071–2084. [Google Scholar] [CrossRef]
- De Frémont, P.; Marion, N.; Nolan, S.P. Carbenes: Synthesis, properties, and organometallic chemistry. Coord. Chem. Rev. 2009, 253, 862–892. [Google Scholar] [CrossRef]
- Hahn, F.E.; Jahnke, M.C. Heterocyclic Carbenes: Synthesis and Coordination Chemistry. Angew. Chem. Int. Ed. 2008, 47, 3122–3172. [Google Scholar] [CrossRef] [PubMed]
- Hopkinson, M.N.; Richter, C.; Schedler, M.; Glorius, F. An overview of N-heterocyclic carbenes. Nature 2014, 510, 485–496. [Google Scholar] [CrossRef]
- Clark, K.D.; Nacham, O.; Purslow, J.A.; Pierson, S.A.; Anderson, J.L. Magnetic ionic liquids in analytical chemistry: A review. Anal. Chim. Acta 2016, 934, 9–21. [Google Scholar] [CrossRef] [PubMed]
- Joseph, A.; Żyła, G.; Thomas, V.I.; Nair, P.R.; Padmanabhan, A.S.; Mathew, S. Paramagnetic ionic liquids for advanced applications: A review. J. Mol. Liq. 2016, 218, 319–331. [Google Scholar] [CrossRef]
- Santos, E.; Albo, J.; Irabien, A. Magnetic ionic liquids: Synthesis, properties and applications. RSC Adv. 2014, 4, 40008–40018. [Google Scholar] [CrossRef]
- Yoshida, Y.; Saito, G. Design of functional ionic liquids using magneto- and luminescent-active anions. Phys. Chem. Chem. Phys. 2010, 12, 1675–1684. [Google Scholar] [CrossRef]
- Lozano, P. (Ed.) Sustainable Catalysis in Ionic Liquids, 1st ed.; CRC Press: Boca Raton, FL, USA, 2019. [Google Scholar]
- De Vicente, J.; Klingenberg, D.J.; Hidalgo-Alvarez, R. Magnetorheological fluids: A review. Soft Matter 2011, 7, 3701–3710. [Google Scholar] [CrossRef]
- Guerrero-Sanchez, C.; Lara-Ceniceros, T.; Jimenez-Regalado, E.; Raşa, M.; Schubert, U.S. Magnetorheological Fluids Based on Ionic Liquids. Adv. Mater. 2007, 19, 1740–1747. [Google Scholar] [CrossRef]
- Abdul-Sada, A.A.K.; Al-Juaid, S.; Greenway, A.M.; Hitchcock, P.B.; Howells, M.J.; Seddon, K.R.; Welton, T. Upon the hydrogen-bonding ability of the H4 and H5 protons of the imidazolium cation. Struct. Chem. 1990, 1, 391–394. [Google Scholar] [CrossRef]
- Chongmin, Z.; Takehiko, S.; Akiko, J.-K.; Emiko, F.; Akiko, K.; Mizuki, T.; Yasuhiro, I. Syntheses, Structures, and Properties of a Series of Metal Ion-Containing Dialkylimidazolium Ionic Liquids. Bull. Chem. Soc. Jpn. 2007, 80, 2365–2374. [Google Scholar] [CrossRef]
- Hitchcock, P.B.; Seddon, K.R.; Welton, T. Hydrogen-bond acceptor abilities of tetrachlorometalate(II) complexes in ionic liquids. J. Chem. Soc. Dalton Trans. 1993, 2639–2643. [Google Scholar] [CrossRef]
- Kozlova, S.A.; Verevkin, S.P.; Heintz, A.; Peppel, T.; Köckerling, M. Paramagnetic Ionic Liquid 1-Butyl-3-methylimidazolium Tetrabromidocobaltate(II): Activity Coefficients at Infinite Dilution of Organic Solutes and Crystal Structure. J. Chem. Eng. Data 2009, 54, 1524–1528. [Google Scholar] [CrossRef]
- Zeller, A.; Herdtweck, E.; Strassner, T. 3,3′-Dimethyl-1,1′-methylenediimidazolium tetrachlorocobaltate(II). Acta Crystallogr. Sect. C 2005, 61, m46–m47. [Google Scholar] [CrossRef]
- Lee, C.K.; Peng, H.H.; Lin, I.J.B. Liquid Crystals of N,N′-Dialkylimidazolium Salts Comprising Palladium(II) and Copper(II) Ions. Chem. Mater. 2004, 16, 530–536. [Google Scholar] [CrossRef]
- Sun, H.; Harms, K.; Sundermeyer, J. The crystal structure of a metal-containing ionic liquid: A new octachlorotricuprate(II). Z. Krist. Cryst. Mater. 2005, 220, 42–44. [Google Scholar] [CrossRef]
- Palgunadi, J.; Kwon, O.S.; Lee, H.; Bae, J.Y.; Ahn, B.S.; Min, N.-Y.; Kim, H.S. Ionic liquid-derived zinc tetrahalide complexes: Structure and application to the coupling reactions of alkylene oxides and CO2. Catal. Today 2004, 98, 511–514. [Google Scholar] [CrossRef]
- Peppel, T.; Hinz, A.; Thiele, P.; Geppert-Rybczyńska, M.; Lehmann, J.K.; Köckerling, M. Synthesis, Properties, and Structures of Low-Melting Tetraisocyanatocobaltate(II)-Based Ionic Liquids. Eur. J. Inorg. Chem. 2017, 2017, 885–893. [Google Scholar] [CrossRef]
- Peppel, T.; Köckerling, M. Investigations on a Series of Ionic Liquids Containing the [CoIIBr3quin]− Anion (quin = quinoline). Cryst. Growth Des. 2011, 11, 5461–5468. [Google Scholar] [CrossRef]
- Peppel, T.; Köckerling, M.; Geppert-Rybczyńska, M.; Ralys, R.V.; Lehmann, J.K.; Verevkin, S.P.; Heintz, A. Low-Viscosity Paramagnetic Ionic Liquids with Doubly Charged [Co(NCS)4]2− Ions. Angew. Chem. Int. Ed. 2010, 49, 7116–7119. [Google Scholar] [CrossRef] [PubMed]
- Peppel, T.; Köckerling, M. Salts with the 1,3-Dibutyl-2,4,5-trimethyl-imidazolium Cation: (DBTMIm)X (X = Br, PF6) and (DBTMIm)2[MBr4] (M = Co, Ni). Z. Anorg. Allg. Chem. 2010, 636, 2439–2446. [Google Scholar] [CrossRef]
- Peppel, T.; Hinz, A.; Köckerling, M. Salts with the [NiBr3(L)]− complex anion (L = 1-methylimidazole, 1-methylbenzimidazole, quinoline, and triphenylphosphane) and low melting points: A comparative study. Polyhedron 2013, 52, 482–490. [Google Scholar] [CrossRef]
- Peppel, T.; Geppert-Rybczyńska, M.; Neise, C.; Kragl, U.; Köckerling, M. Low-Melting Manganese(II)-Based Ionic Liquids: Syntheses, Structures, Properties and Influence of Trace Impurities. Materials 2019, 12, 3764. [Google Scholar] [CrossRef]
- Peppel, T.; Kockerling, M. Poly[1-ethyl-3-methylimidazolium [tri-[mu]-isothiocyanato-manganate(II)]]. IUCrData 2019, 4, x191659. [Google Scholar] [CrossRef]
- Peppel, T.; Schmidt, C.; Köckerling, M. Synthesis, Properties, and Structures of Salts with the Reineckate Anion, [CrIII(NCS)4(NH3)2]–, and Large Organic Cations. Z. Anorg. Allg. Chem. 2011, 637, 1314–1321. [Google Scholar] [CrossRef]
- Peppel, T.; Thiele, P.; Köckerling, M. Low-melting salts with the [CrIII(NCS)4(1,10-phenanthroline)]− complex anion: Syntheses, properties, and structures. Russ. J. Coord. Chem. 2012, 38, 207–218. [Google Scholar] [CrossRef]
- Peppel, T.; Thiele, P.; Tang, M.-B.; Zhao, J.-T.; Köckerling, M. Low-Melting Imidazolium-Based Salts with the Paramagnetic Reineckate-Analogue Anion [Cr(NCS)4(bipy)]− (bipy = 2,2′-Bipyridine): Syntheses, Properties, and Structures. Inorg. Chem. 2015, 54, 982–988. [Google Scholar] [CrossRef] [PubMed]
- Morland, J. XXII.—Notice of a new ammonio-chrome compound. Q. J. Chem. Soc. Lond. 1861, 13, 252–254. [Google Scholar] [CrossRef][Green Version]
- Nordenskjöld, O. Über die Rhodanide einiger ammoniakalischer Chromverbindungen. Z. Anorg. Chem. 1892, 1, 126–143. [Google Scholar] [CrossRef]
- Werner, A.; Richter, G. Beitrag zur Konstitution anorganischer Verbindungen. X. Mitteilung. Über ammoniakalische Chromsulfocyanverbindungen und Stereoisomerie bei denselben. Z. Anorg. Chem. 1897, 15, 243–277. [Google Scholar] [CrossRef]
- Bratulescu, G.; Ganescu, I. Chromium (III) complexes anions in the chemical analysis. Anafranile determination. South. Braz. J. Chem. 2007, 15, 49–57. [Google Scholar]
- Ganescu, I.; Preda, M. Thiocyanatochromium (III) complexes in chemical analysis. Part 52. Volumetric and spectrophotometric determination of chlorpyramine with tetrathiocyanatodiamine chromates. Pharmazie 1990, 45, 438–439. [Google Scholar]
- Mainusch, B.; Karocki, A.; Guldi, D.M.; Stasicka, Z.; Wasgestian, F. Charge transfer photochemistry of Reinecke’s salt and of some of its analogues containing organic amines. Inorg. Chim. Acta 1997, 255, 87–93. [Google Scholar] [CrossRef]
- Wegner, E.E.; Adamson, A.W. Photochemistry of Complex Ions. III. Absolute Quantum Yields for the Photolysis of Some Aqueous Chromium(III) Complexes. Chemical Actinometry in the Long Wavelength Visible Region. J. Am. Chem. Soc. 1966, 88, 394–404. [Google Scholar] [CrossRef]
- Ganescu, I.; Varhelyi, C.; Brinzan, G. Thiocyanatochromium(III) complexes in chemical analysis. 35. Determination of bismuth with thiocyanatochromium(III) complexes. Mikrochim. Acta 1977, 1, 139–144. [Google Scholar]
- Gǎnescu, I.; Várhelyi, C.; Brinzan, G. Thiocyanato-Chrom(III)-Komplexe mit Pilocarpin und die analytische Bestimmung dieses Alkaloids. Arch. Pharm. 1976, 309, 887–892. [Google Scholar] [CrossRef]
- Turner, S.S.; Le Pevelen, D.; Day, P.; Prout, K. TTF based charge transfer salts of [Cr(NCS)4(phen)]−: Bulk magnetic order and crystal structures of the TTF, TMTTF (tetramethyltetrathiafulvalene) and TMTSF (tetramethyltetraselenafulvalene) derivatives. J. Chem. Soc. Dalton Trans. 2000, 2739–2744. [Google Scholar] [CrossRef]
- Apex-2, v. 1.6–8, Saint, v. 6.25a, SADABS—Software for the CCD Detector System; Bruker-Nonius: Madison, WI, USA, 2003.
- Sheldrick, G.M. SADABS. Program for Empirical Absorption Correction; University of Göttingen: Göttingen, Germany, 1996. [Google Scholar]
- Sheldrick, G. A short history of SHELX. Acta Crystallogr. Sect. A 2008, 64, 112–122. [Google Scholar] [CrossRef] [PubMed]
- Haider, J.; Kunz, K.; Scholz, U. Highly Selective Copper-Catalyzed Monoarylation of Aniline. Adv. Synth. Catal. 2004, 346, 717–722. [Google Scholar] [CrossRef]
- Huddleston, J.G.; Visser, A.E.; Reichert, W.M.; Willauer, H.D.; Broker, G.A.; Rogers, R.D. Characterization and comparison of hydrophilic and hydrophobic room temperature ionic liquids incorporating the imidazolium cation. Green Chem. 2001, 3, 156–164. [Google Scholar] [CrossRef]
- Namboodiri, V.V.; Varma, R.S. Solvent-Free Sonochemical Preparation of Ionic Liquids. Org. Lett. 2002, 4, 3161–3163. [Google Scholar] [CrossRef]
- Nishida, T.; Tashiro, Y.; Yamamoto, M. Physical and electrochemical properties of 1-alkyl-3-methylimidazolium tetrafluoroborate for electrolyte. J. Fluor. Chem. 2003, 120, 135–141. [Google Scholar] [CrossRef]
- Oertel, A.M.; Ritleng, V.; Burr, L.; Chetcuti, M.J. Synthesis and Structural Characterization of Half-Sandwich Nickel Complexes Bearing Two Different N-Heterocyclic Carbene Ligands. Organometallics 2011, 30, 6685–6691. [Google Scholar] [CrossRef]
- Roesler, J. Ueber einige Chromidschwefelcyanverbindungen. Justus Liebigs Ann. Chem. 1867, 141, 185–197. [Google Scholar] [CrossRef]
- Brauer, G. (Ed.) Potassium Hexathiocyanatochromate (III). In Handbook of Preparative Inorganic Chemistry, 2nd ed.; Academic Press: New York, NY, USA, 1965; Volume 2, p. 1374. [Google Scholar]
- Peppel, T.; Wulf, C.; Spannenberg, A. 1-Benzyl-3-methylimidazolium bromide. IUCrData 2020, 5, 200768. [Google Scholar] [CrossRef]
- Pfeiffer, P. Tetrarhodanato-dipyridin-chromsalze. Ber. Dtsch. Chem. Ges. 1906, 39, 2115–2125. [Google Scholar] [CrossRef][Green Version]
- Ripan, R.; Gånescu, I.; Várhelyi, C. Neue Substitutionsprodukte von K3[Cr(NCS)6] mit einigen heterocyclischen N-Basen. Z. Anorg. Allg. Chem. 1968, 357, 140–148. [Google Scholar] [CrossRef]
- Gade, L.H. Grundlagen der Kristall-/Ligandenfeldtheorie. In Koordinationschemie; Wiley-VCH: Weinheim, Germany, 2013; pp. 183–241. [Google Scholar] [CrossRef]
- Bennett, M.A.; Clark, R.J.H.; Goodwin, A.D.J. Electronic and infrared spectral study of chromium (III) derivatives of the type [Cr(NCS)4.(ligand)2]. Inorg. Chem. 1967, 6, 1625–1631. [Google Scholar] [CrossRef]
- Saielli, G.; Satoh, K. A coarse-grained model of ionic liquid crystals: The effect of stoichiometry on the stability of the ionic nematic phase. Phys. Chem. Chem. Phys. 2019, 21, 20327–20337. [Google Scholar] [CrossRef] [PubMed]
- Savard, D.; Leznoff, D.B. Synthesis, structure and light scattering properties of tetraalkylammonium metal isothiocyanate salts. Dalton Trans. 2013, 42, 14982–14991. [Google Scholar] [CrossRef] [PubMed]
- Morsing, T.J.; Weihe, H.; Bendix, J. Synthesis, Characterisation and Modelling of a Ferromagnetically Coupled Chromium(III) Dimer: Di-μ-hydroxobis[tetrakis(isothiocyanato)chromate(III)]. Eur. J. Inorg. Chem. 2014, 2014, 5990–5996. [Google Scholar] [CrossRef]
- Kitanovski, N.; Golobic, A.; Ceh, B. Preparation and crystal structures of trans-K[Cr(NCS)4py2]·4py and mer-[Cr(NCS)3(γ-pic)3]·4/3(γ-pic). Croat. Chem. Acta 2007, 80, 127–134. [Google Scholar]
- Brooks, A.C.; Martin, L.; Day, P.; Clegg, W.; Harrington, R.W.; Wallis, J.D. New crystal packing arrangements in radical cation salts of BEDT-TTF with [Cr(NCS)6]3− and [Cr(NCS)5(NH3)]2−. Polyhedron 2015, 102, 75–81. [Google Scholar] [CrossRef]
- Hillesheim, P.C.; Scipione, K.A. Crystal structure of 1-benzyl-3-methyl-1H-imidazolium hexafluoridophosphate. Acta Crystallogr. Sect. E 2014, 70, o1248–o1249. [Google Scholar] [CrossRef]
- Ji, X.; Cheng, B.; Song, J.; Liu, C. 1-Benzyl-3-methylimidazolium chloride 0.25-hydrate. Acta Crystallogr. Sect. E 2010, 66, o218. [Google Scholar] [CrossRef]









| R | (RMIm)3[Cr(NCS)6] | (RMIm)[Cr(NCS)4(Pyr)2] | (RMIm)[Cr(NCS)4(Pic)2] |
|---|---|---|---|
| Methyl | 138 | 180 (dec.) | 220 (dec.) |
| Ethyl | 84 | 191 (dec.) | 194 (dec.) |
| n-Butyl | 45 | 207 (dec.) | 191 (dec.) |
| Benzyl | 124 | 185 (dec.) | 195 (dec.) |
| (DMIm)3[Cr(NCS)6] | (EMIm)3[Cr(NCS)6] | (BenzMIm)3[Cr(NCS)6] | (BMIm)[Cr(NCS)4(Pyr)2] | (EMIm)[Cr(NCS)4(Pic)2] | |
|---|---|---|---|---|---|
| Formula | C21H27CrN12S6 | C24H33CrN12S6 | C39H39CrN12S6 | C22H25CrN8S4 | C22H25CrN8S4 |
| Fw [g mol−1] | 691.90 | 733.98 | 920.18 | 581.74 | 581.74 |
| Crystal system | triclinic | trigonal | monoclinic | triclinic | orthorhombic |
| Space group | P | R | P21/c | P | Pbca |
| a [Å] | 9.4116 (6) | 18.220 (3) | 18.6109 (8) | 8.3939 (5) | 17.1199 (9) |
| b [Å] | 10.0862 (6) | 19.198 (4) | 13.4405 (6) | 9.9145 (6) | 15.5043 (8) |
| c [Å] | 18.630 (1) | 18.220 (3) | 17.9848 (8) | 17.447 (1) | 20.981 (1) |
| α [°] | 87.525 (4) | 90.0 | 90.0 | 101.441 (2) | 90.0 |
| β [°] | 81.527 (3) | 90.0 | 97.967 (2) | 91.854 (3) | 90.0 |
| γ [°] | 75.893 (3) | 120.0 | 90.0 | 97.682 (2) | 90.0 |
| V [Å3], Z | 1696.4 (2), 2 | 5519 (2), 6 | 4455.3 (3), 4 | 1407.7 (1), 2 | 5569.0 (6), 8 |
| T [K] | 293 | 293 | 173 | 173 | 173 |
| ρcalcd. [g cm−3] | 1.355 | 1.325 | 1.372 | 1.372 | 1.388 |
| μ [mm−1] | 0.73 | 0.679 | 0.576 | 0.724 | 0.732 |
| Reflections collected | 34,948 | 46,540 | 37,816 | 22,262 | 24,664 |
| Independent reflections | 11,424 | 4056 | 9172 | 6917 | 6939 |
| Parameters | 364 | 179 | 526 | 347 | 373 |
| GooF | 1.00 | 1.02 | 0.96 | 1.02 | 0.99 |
| R[F2 > 2σ(F2)] | 0.047 | 0.042 | 0.056 | 0.045 | 0.047 |
| wR(F2) (a,b) | 0.153 | 0.140 | 0.114 | 0.122 | 0.133 |
| Δρ (max/min), e Å–3 | 0.48/−0.33 | 0.35/−0.34 | 0.36/−0.33 | 0.98/−0.70 | 0.49/−0.51 |
| Bond | (DMIm)3[Cr(NCS)6] | (EMIm)3[Cr(NCS)6] | (BenzMIm)3[Cr(NCS)6] | (BMIm)[Cr(NCS)4(Pyr)2] | (EMIm)[Cr(NCS)4(Pic)2] |
|---|---|---|---|---|---|
| average Cr‒N | 2.01 | 2.00 | 2.00 | 1.99/2.08 (Cr‒L) | 1.99/2.08 (Cr‒L) |
| average N‒C | 1.14 | 1.14 | 1.16 | 1.16 | 1.16 |
| average C‒S | 1.62 | 1.62 | 1.63 | 1.62 | 1.62 |
| short. D‒H···A | |||||
| C‒H | 0.93 | 0.93 | 0.99 | 0.95 | 0.95 |
| H···S | 2.72 | 2.99 | 2.86 | 2.77 | 2.95 |
| C···S | 3.620 (2) | 3.682 (8) | 3.570 (4) | 3.647 (3) | 3.661 (3) |
| C‒H···S [°] | 164 | 133 | 129 | 155 | 133 |
Publisher’s Note: MDPI stays neutral with regard to jurisdictional claims in published maps and institutional affiliations. |
© 2021 by the authors. Licensee MDPI, Basel, Switzerland. This article is an open access article distributed under the terms and conditions of the Creative Commons Attribution (CC BY) license (https://creativecommons.org/licenses/by/4.0/).
Share and Cite
Peppel, T.; Köckerling, M. New Low-Melting Triply Charged Homoleptic Cr(III)-Based Ionic Liquids in Comparison to Their Singly Charged Heteroleptic Analogues. Materials 2021, 14, 2676. https://doi.org/10.3390/ma14102676
Peppel T, Köckerling M. New Low-Melting Triply Charged Homoleptic Cr(III)-Based Ionic Liquids in Comparison to Their Singly Charged Heteroleptic Analogues. Materials. 2021; 14(10):2676. https://doi.org/10.3390/ma14102676
Chicago/Turabian StylePeppel, Tim, and Martin Köckerling. 2021. "New Low-Melting Triply Charged Homoleptic Cr(III)-Based Ionic Liquids in Comparison to Their Singly Charged Heteroleptic Analogues" Materials 14, no. 10: 2676. https://doi.org/10.3390/ma14102676
APA StylePeppel, T., & Köckerling, M. (2021). New Low-Melting Triply Charged Homoleptic Cr(III)-Based Ionic Liquids in Comparison to Their Singly Charged Heteroleptic Analogues. Materials, 14(10), 2676. https://doi.org/10.3390/ma14102676

