Characterization and Simulation of the Bond Response of NSM FRP Reinforcement in Concrete
Abstract
1. Introduction
2. Bond Mechanisms in NSM FRP Strengthening Systems
3. Assessment of the Bond–Slip Response of NSM FRP
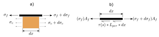
3.1. Governing Equation and Global Response
3.2. Comparison of the Numerical Results with Existing Analytical Solutions
4. Bond–Slip Behavior at a Local Level
5. Global Bond–Slip Response for Different Local Bond–Slip Laws
5.1. Parameters Used
5.2. Load–Slip Response
5.3. FRP Strain, Bond–Shear Stress and Slip along the Bonded Length
6. Experimental Program
6.1. Material Properties
6.2. Experimental Details
6.2.1. Parameters of the Study
6.2.2. Test Setup
6.3. Experimental Results
6.4. Bond–Slip Law Adjusted to the Experimental Results
6.5. Comparison between Experimental and Numerical Results
7. Parametric Study
7.1. Effect of the Bond–Shear Strength (τmax)
7.2. Effect of the Slip at the Bond–Shear Strength (s1)
7.3. Effect of the Maximum Slip (sf)
7.4. Effect of the Friction Branch (τf)
8. Conclusions
- In models not including a friction branch after softening, a maximum value of load is attained, which stabilizes for a certain value of the bonded length. In contrast, in models with friction component, the load continuously increases up to a certain slip beyond which only the friction component remains. Furthermore, models with non-linear ascending branch show a stiffener initial load–slip response.
- The non-linear ascending branch effect on the maximum load is practically negligible. Small differences of Pmax are observed between BL and TSANL models, and BLF and BONP models, respectively.
- The shape of the bond–slip law has a small effect on the slip profile along the FRP. However, the bond stress and slip distribution at maximum state along the bonded length is strongly affected by the friction branch.
- From the comparison between numerical and experimental results, it can be concluded that:
- A close agreement between the finite differences model and the experimental results is obtained. The comparison between the load–slip curves obtained experimentally and numerically showed that the ascending part is correctly predicted until failure.
- A somewhat larger maximum load of around 7–10% was obtained for specimens with 7.5 mm groove thickness compared to those with 10 mm. As the groove thickness decreased, the maximum load of the bonded joint increased.
- Specimens with 10 mm groove thickness showed a behavior indicating the existence of a friction branch in their local bond law and the failure was in the FRP-adhesive interface. Conversely, the behavior of 7.5 mm groove thickness specimens was properly described using a bilinear function, while the failure was in the resin–concrete interface.
- From the parametric study carried out, the following conclusions can be drawn:
- As the bond–shear strength increases, the maximum load grows, and conversely, the effective bonded length decreases.
- The slip at the bond shear strength, s1, has a small effect on the maximum load and an increasing effect on the effective bonded length.
- The maximum load and the effective bonded length increase with the maximum slip. Moreover, bond–slip laws without friction branch are much more sensitive to the shifting of the maximum slip.
- The presence of a friction stage in the local bond behavior causes an increase on the maximum load. As the bond–shear strength on the friction branch increases, the maximum load increases as well.
Author Contributions
Funding
Acknowledgments
Conflicts of Interest
References
- fib Bulletin 90. Externally Applied FRP Reinforcement for Concrete Structures. International Federation for Structural Concrete; fib Bulletin: Lausanne, Switzerland, 2019. [Google Scholar]
- De Lorenzis, L.; Teng, J.G. Near-surface mounted FRP reinforcement: An emerging technique for strengthening structures. Compos. Part B Eng. 2007, 38, 119–143. [Google Scholar] [CrossRef]
- Yuan, H.; Teng, J.G.; Seracino, R.; Wu, Z.S.; Yao, J. Full-range behavior of FRP-to-concrete bonded joints. Eng. Struct. 2004, 26, 553–565. [Google Scholar] [CrossRef]
- Yuan, H.; Lu, X.; Hui, D.; Feo, L. Studies on FRP-concrete interface with hardening and softening bond–slip law. Compos. Struct. 2012, 94, 3781–3792. [Google Scholar] [CrossRef]
- Ali, M.S.M.; Oehlers, D.J.; Griffith, M.C.; Seracino, R. Interfacial stress transfer of near surface-mounted FRP-to-concrete joints. Eng. Struct. 2008, 30, 1861–1868. [Google Scholar]
- Chen, J.F.; Teng, J.G. Anchorage strength models for FRP and steel plates. J. Struct. Eng. 2001, 127, 784–791. [Google Scholar] [CrossRef]
- D’Antino, T.; Pellegrino, C. Bond between FRP composites and concrete: Assessment of design procedures and analytical models. Compos. Part B Eng. 2014, 60, 440–456. [Google Scholar] [CrossRef]
- Ferracuti, B.; Savoia, M.; Mazzotti, C. A numerical model for FRP-concrete delamination. Compos. Part B Eng. 2006, 37, 356–364. [Google Scholar] [CrossRef]
- Lu, X.Z.; Teng, J.G.; Ye, L.P.; Jiang, J.J. Bond–slip models for FRP sheets/plates bonded to concrete. Eng. Struct. 2005, 27, 920–937. [Google Scholar] [CrossRef]
- Biscaia, H.C.; Chastre, C.; Silva, M.A.G. Linear and nonlinear analysis of bond–slip models for interfaces between FRP composites and concrete. Compos. Part B Eng. 2013, 45, 1554–1568. [Google Scholar] [CrossRef]
- Soares, S.; Sena-Cruz, J.; Cruz, J.R.; Fernandes, P. Influence of surface preparation method on the bond behavior of externally bonded CFRP reinforcements in concrete. Materials (Basel) 2019, 12, 414. [Google Scholar] [CrossRef]
- Yin, Y.; Fan, Y. Influence of roughness on shear bonding performance of CFRP-concrete interface. Materials (Basel). 2018, 11, 1875. [Google Scholar] [CrossRef]
- Sena-Cruz, J.; Barros, J.A.O. Bond between Near-surface mounted carbon-fiber-reinforced polymer laminate strips and concrete. J. Compos. Constr. 2004, 8, 519–527. [Google Scholar] [CrossRef]
- Borchert, K.; Zilch, K. Bond behavior of NSM FRP strips in service. Struct. Concr. 2008, 9, 127–142. [Google Scholar] [CrossRef]
- Zhang, S.S.; Teng, J.G.; Yu, T. Bond–slip model for interfaces between near-surface mounted CFRP strips and concrete. In Proceedings of the 11th International Symposium on Fiber Reinforced Polymers for Reinforced Concrete Structures (FRPRCS-11), Guimarães, Portugal, 26–28 June 2013; pp. 1–7. [Google Scholar]
- Seracino, R.; Raizal Saifulnaz, M.R.; Oehlers, D.J. Generic debonding resistance of EB and NSM plate-to-concrete joints. J. Compos. Constr. 2007, 11, 62–70. [Google Scholar] [CrossRef]
- Zilch, K.; Borchert, K. A general bond stress slip relationship for NSM FRP strips. In Proceedings of the 8th International Symposium on FRP Reinforcement for Concrete Structures, Patras, Greece, 16–18 July 2007. [Google Scholar]
- Finckh, W.; Zilch, K. Strengthening and rehabilitation of reinforced concrete slabs with carbon-fiber reinforced polymers using a refined bond model. Comput. Civ. Infrastruct. Eng. 2012, 27, 333–346. [Google Scholar] [CrossRef]
- Zilch, K.; Niedermeier, R.; Finckh, W. Strengthening of Concrete Structures with Adhesively Bonded Reinforcement; Ernst & Shon: Berlin, Germany, 2014. [Google Scholar]
- D’Antino, T.; Colombi, P.; Carloni, C.; Sneed, L.H. Estimation of a matrix-fiber interface cohesive material law in FRCM-concrete joints. Compos. Struct. 2018, 193, 103–112. [Google Scholar] [CrossRef]
- Zou, X.; Sneed, L.H.; D’Antino, T. Full-range behavior of fiber reinforced cementitious matrix (FRCM)-concrete joints using a trilinear bond–slip relationship. Compos. Struct. 2020, 239, 112024. [Google Scholar] [CrossRef]
- Torres, L.; Sharaky, I.A.; Barris, C.; Baena, M. Experimental study of the influence of adhesive properties and bond length on the bond behavior of NSM FRP bars in concrete. J. Civ. Eng. Manag. 2016, 22, 808–817. [Google Scholar] [CrossRef]
- Sharaky, I.A.; Torres, L.; Baena, M.; Miàs, C. An experimental study of different factors affecting the bond of NSM FRP bars in concrete. Compos. Struct. 2013, 99, 350–365. [Google Scholar] [CrossRef]
- Ko, H.; Matthys, S.; Palmieri, A.; Sato, Y. Development of a simplified bond stress-slip model for bonded FRP-concrete interfaces. Constr. Build. Mater. 2014, 68, 142–157. [Google Scholar] [CrossRef]
- Bilotta, A.; Ceroni, F.; Barros, J.A.O.; Costa, I.; Palmieri, A.; Szabó, Z.K.; Nigro, E.; Matthys, S.; Balazs, G.L.; Pecce, M. Bond of NSM FRP-strengthened concrete: Round robin test initiative. J. Compos. Constr. 2015, 20, 04015026. [Google Scholar] [CrossRef]
- Ceroni, F.; Pecce, M.; Bilotta, A.; Nigro, E. Bond behavior of FRP NSM systems in concrete elements. Compos. Part B Eng. 2012, 43, 99–109. [Google Scholar] [CrossRef]
- Haskett, M.; Oehlers, D.J.; Ali, M.S.M. Local and global bond characteristics of steel reinforcing bars. Eng. Struct. 2008, 30, 376–383. [Google Scholar] [CrossRef]
- UNE 12390-3. Testing Hardened Concrete. Part 3: Compressive Strength of Test Specimens; AENOR: Madrid, Spain, 2003. [Google Scholar]
- ASTM C469/C469M-10. Standard Test Method for Static Modulus of Elasticity and Poisson’s Ratio of Concrete in Compression; ASTM International: West Conshohocken, PA, USA, 2010. [Google Scholar]
- ISO 527-5:2009. Determination of Tensile Properties—Part 5: Test Conditions for Unidirectional Fiber-Reinforced Plastic Composites; ISO: Geneva, Switzerland, 2009. [Google Scholar]
- ISO 527-2:2012. Determination of Tensile Properties-Part 2: Test Conditions for Moulding and Extrusion Plastics. International Organisation for Standardization (ISO); ISO: Geneva, Switzerland, 2012. [Google Scholar]
- ACI 440.2R-17. Guide for the Design and Construction of Externally Bonded FRP Systems for Strengthening Existing Structures; American Concrete Institute: Farmington Hills, MI, USA, 2017. [Google Scholar]
- Seracino, R.; Jones, N.M.; Ali, M.S.; Page, M.W.; Oehlers, D.J. Bond strength of near-surface mounted FRP strip-to-concrete joints. J. Compos. Constr. 2007, 11, 401–409. [Google Scholar] [CrossRef]
- Zhang, S.S.; Teng, J.G.; Yu, T. Bond strength model for CFRP strips near-surface mounted to concrete. J. Compos. Constr. 2014, 18, A4014003. [Google Scholar] [CrossRef]
- Savoia, M.; Mazzotti, C.; Ferracuti, B. A new single-shear set-up for stable debonding of FRP-concrete joints. Constr. Build. Mater. 2009, 23, 1529–1537. [Google Scholar]
- Emara, M.; Torres, L.; Baena, M.; Barris, C.; Cahís, X. Bond response of NSM CFRP strips in concrete under sustained loading and different temperature and humidity conditions. Compos. Struct. 2018, 192, 1–7. [Google Scholar] [CrossRef]





















| Bond–Slip Model | Equation |
|---|---|
Linear Descending (LD)![]() | |
Bilinear (BL)![]() | |
Bilinear-friction (BLF)![]() | |
Two-stage ascending non-linear (TSANL)![]() | |
Borchert (BO)![]() | |
Borchert no plateau (s1 = s2) (BONP)![]() |
| Specimen ID | Bonded Length (mm) | Groove Thickness (mm) | Maximum Load (kN) | Failure Mode |
|---|---|---|---|---|
| NSM – 150 – 10 | 150 | 10 | 43.85 | F-A |
| NSM – 225 – 10 | 225 | 10 | 54.74 | F-A |
| NSM – 150 – 7.5 | 150 | 7.5 | 47.14 | C-A |
| NSM – 225 – 7.5 | 225 | 7.5 | 57.71 | C-A |
| BONP | BO | BLF | ||
|---|---|---|---|---|
| s1[mm] | ||||
| 0.10 | 1 | 0 % | 0 % | 0 % |
| 0.20 | 2 | 4.64 % | 6.85 % | 0 % |
| 0.30 | 3 | 9.29 % | 13.71 % | 0 % |
| 0.40 | 4 | 13.94 % | 20.56 % | 0 % |
| 0.50 | 5 | 18.59 % | 27.42 % | 0 % |
© 2020 by the authors. Licensee MDPI, Basel, Switzerland. This article is an open access article distributed under the terms and conditions of the Creative Commons Attribution (CC BY) license (http://creativecommons.org/licenses/by/4.0/).
Share and Cite
Gómez, J.; Torres, L.; Barris, C. Characterization and Simulation of the Bond Response of NSM FRP Reinforcement in Concrete. Materials 2020, 13, 1770. https://doi.org/10.3390/ma13071770
Gómez J, Torres L, Barris C. Characterization and Simulation of the Bond Response of NSM FRP Reinforcement in Concrete. Materials. 2020; 13(7):1770. https://doi.org/10.3390/ma13071770
Chicago/Turabian StyleGómez, Javier, Lluís Torres, and Cristina Barris. 2020. "Characterization and Simulation of the Bond Response of NSM FRP Reinforcement in Concrete" Materials 13, no. 7: 1770. https://doi.org/10.3390/ma13071770
APA StyleGómez, J., Torres, L., & Barris, C. (2020). Characterization and Simulation of the Bond Response of NSM FRP Reinforcement in Concrete. Materials, 13(7), 1770. https://doi.org/10.3390/ma13071770







