Effect of the Pyro-Gasification Temperature of Wood on the Physical and Mechanical Properties of Biochar-Polymer Biocomposites
Abstract
1. Introduction
2. Materials and Methods
2.1. Material Sampling and Biochar Preparation
2.2. Preparation of Biocomposites
2.3. Materials Characterization
3. Results
3.1. Elemental Composition and Porosity of Black Spruce Wood and Biochar
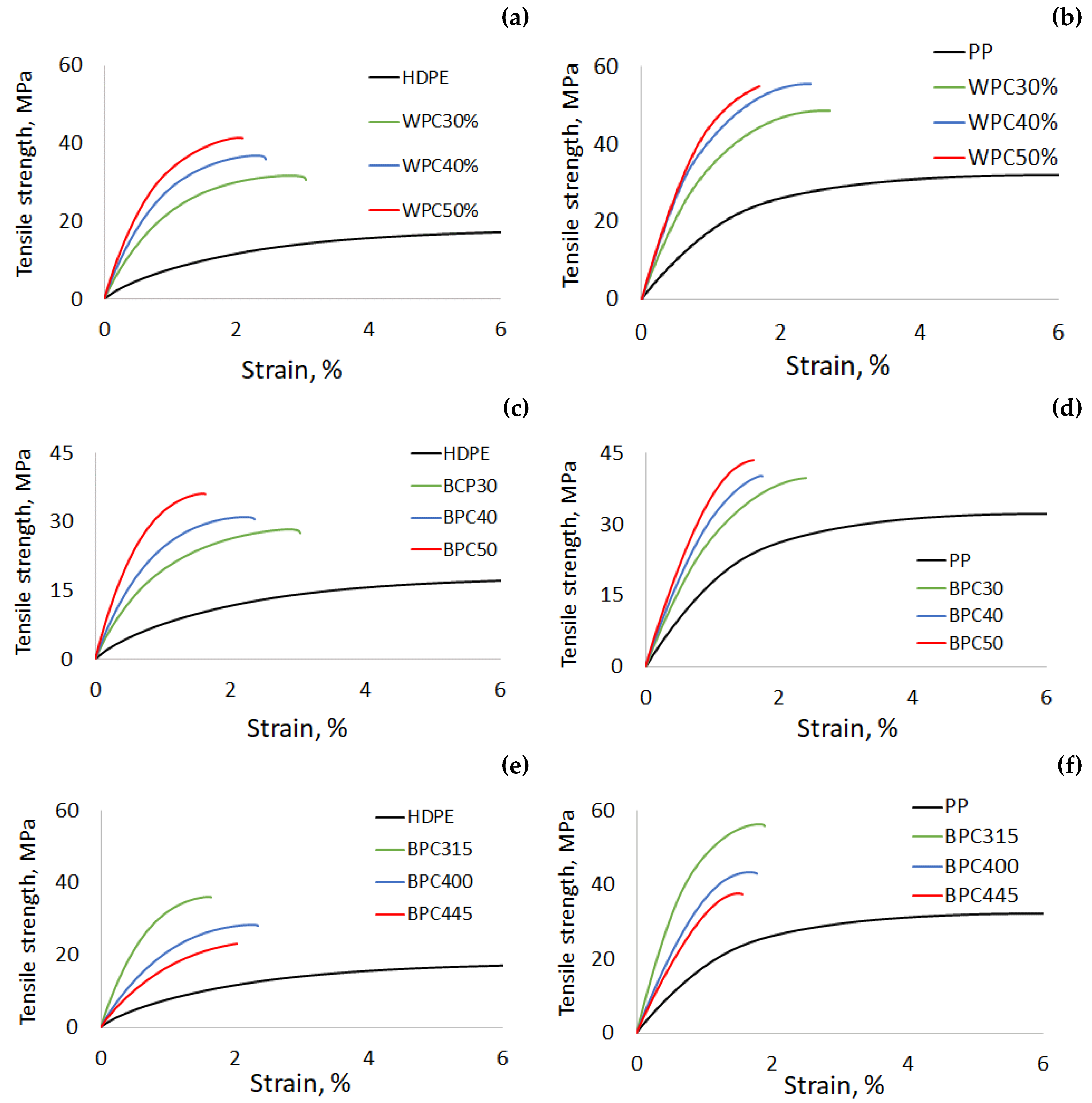
3.2. Mechanical Properties of Biocomposites
3.3. Morphology of Biocomposites
3.4. Surface Roughness and Porosity
3.5. Water Uptake and Contact Angle
3.6. Practical Implications
4. Conclusions
Author Contributions
Funding
Acknowledgments
Conflicts of Interest
References
- Martins, G.; Antunes, F.; Mateus, A.; Malça, C. Optimization of a wood plastic composite for architectural applications. Procedia Manuf. 2017, 12, 203–220. [Google Scholar] [CrossRef]
- Research and Markets Global Wood Plastic Composite (WPC) Market Analysis & Trends—Industry Forecast to 2025. Available online: https://www.researchandmarkets.com/reports/4039743/global-wood-plastic-composite-wpc-market (accessed on 3 June 2018).
- Oksman Niska, K.; Sain, M. Wood-Polymer Composites, Woodhead Publishing in Materials; Woodhead: Cambridge, UK, 2008. [Google Scholar]
- Zhang, Q.; Cai, H.; Ren, X.; Kong, L.; Liu, J.; Jiang, X. The dynamic mechanical analysis of highly filled rice husk biochar/high-density polyethylene composites. Polymers 2017, 9, 628. [Google Scholar] [CrossRef] [PubMed]
- Turku, I.; Kärki, T.; Puurtinen, A. Durability of wood plastic composites manufactured from recycled plastic. Heliyon 2018, 4, e00559. [Google Scholar] [CrossRef] [PubMed]
- Ozawa, M.; Ōsawa, E. Carbon blacks as the source materials for carbon nanotechnology. In Carbon Nanotechnology; Elsevier: Amsterdam, The Netherlands, 2006; pp. 127–151. [Google Scholar]
- Leblanc, J. Rubber–filler interactions and rheological properties in filled compounds. Prog. Polym. Sci. 2002, 27, 627–687. [Google Scholar] [CrossRef]
- Tan, Z.; Lin, C.S.K.; Ji, X.; Rainey, T.J. Returning biochar to fields: A review. Appl. Soil Ecol. 2017, 116, 1–11. [Google Scholar] [CrossRef]
- Hu, Q.; Shao, J.; Yang, H.; Yao, D.; Wang, X.; Chen, H. Effects of binders on the properties of bio-char pellets. Appl. Energy 2015, 157, 508–516. [Google Scholar] [CrossRef]
- Beesley, L.; Moreno-Jiménez, E.; Gomez-Eyles, J.L.; Harris, E.; Robinson, B.; Sizmur, T. A review of biochars’ potential role in the remediation, revegetation and restoration of contaminated soils. Environ. Pollut. 2011, 159, 3269–3282. [Google Scholar] [CrossRef]
- Braghiroli, F.L.; Bouafif, H.; Hamza, N.; Neculita, C.M.; Koubaa, A. Production, characterization, and potential of activated biochar as adsorbent for phenolic compounds from leachates in a lumber industry site. Environ. Sci. Pollut. Res. 2018, 25, 26562–26575. [Google Scholar] [CrossRef]
- Braghiroli, F.L.; Bouafif, H.; Neculita, C.M.; Koubaa, A. Activated biochar as an effective sorbent for organic and inorganic contaminants in water. Water. Air Soil Pollut. 2018, 229, 230. [Google Scholar] [CrossRef]
- Braghiroli, F.L.; Cuña, A.; da Silva, E.L.; Amaral-Labat, G.; Lenz e Silva, G.F.B.; Bouafif, H.; Koubaa, A. The conversion of wood residues, using pilot-scale technologies, into porous activated biochars for supercapacitors. J. Porous Mater. 2019, 1–12. [Google Scholar] [CrossRef]
- Dehkhoda, A.M.; West, A.H.; Ellis, N. Biochar based solid acid catalyst for biodiesel production. Appl. Catal. Gen. 2010, 382, 197–204. [Google Scholar] [CrossRef]
- Zhang, L.; Jiang, J.; Holm, N.; Chen, F. Mini-chunk biochar supercapacitors. J. Appl. Electrochem. 2014, 44, 1145–1151. [Google Scholar] [CrossRef]
- Das, O.; Sarmah, A.K.; Bhattacharyya, D. A sustainable and resilient approach through biochar addition in wood polymer composites. Sci. Total. Environ. 2015, 512, 326–336. [Google Scholar] [CrossRef] [PubMed]
- Zaverl, M.J.; Misra, M.; Mohanty, A.K. Using factorial statistical method for optimising co-injected biochar composites. In Proceedings of the Proceedings of the 19th International Conference on Composite Materials; Van Hoa, S., Hubert, P., Eds.; Concordia Centre for Composites: Montreal, QC, Canada, 2013; Volume 11, pp. 7802–7809. [Google Scholar]
- Ahmetli, G.; Kocaman, S.; Ozaytekin, I.; Bozkurt, P. Epoxy composites based on inexpensive char filler obtained from plastic waste and natural resources. Polym. Compos. 2013, 34, 500–509. [Google Scholar] [CrossRef]
- Peterson, S.C. Evaluating corn starch and corn stover biochar as renewable filler in carboxylated styrene–butadiene rubber composites. J. Elastomers Plast. 2012, 44, 43–54. [Google Scholar] [CrossRef]
- Peterson, S.C. Utilization of low-ash biochar to partially replace carbon black in styrene–butadiene rubber composites. J. Elastomers Plast. 2013, 45, 487–497. [Google Scholar] [CrossRef]
- Das, O.; Bhattacharyya, D.; Hui, D.; Lau, K.-T. Mechanical and flammability characterisations of biochar/polypropylene biocomposites. Compos. Part B Eng. 2016, 106, 120–128. [Google Scholar] [CrossRef]
- Braghiroli, F.L.; Bouafif, H.; Hamza, N.; Bouslimi, B.; Neculita, C.M.; Koubaa, A. The influence of pilot-scale pyro-gasification and activation conditions on porosity development in activated biochars. Biomass Bioenergy 2018, 118, 105–114. [Google Scholar] [CrossRef]
- Bouafif, H.; Koubaa, A.; Perré, P.; Cloutier, A.; Riedl, B. Analysis of among-species variability in wood fiber surface using DRIFTS and XPS: Effects on esterification efficiency. J. Wood Chem. Technol. 2008, 28, 296–315. [Google Scholar] [CrossRef]
- Migneault, S.; Koubaa, A.; Perré, P. Effect of fiber origin, proportion, and chemical composition on the mechanical and physical properties of wood-plastic composites. J. Wood Chem. Technol. 2014, 34, 241–261. [Google Scholar] [CrossRef]
- ASTM D638-03. Standard Test Method for Tensile Properties of Plastics; ASTM International: West Conshohocken, PA, USA, 2003. [Google Scholar]
- ASTM D4812-11. Standard Test Method for Unnotched Cantilever Beam Impact Resistance of Plastics; ASTM International: West Conshohocken, PA, USA, 2011. [Google Scholar]
- ASTM D790-03. Standard Test Methods for Flexural Properties of Unreinforced and Reinforced Plastics and Electrical Insulating Materials; ASTM International: West Conshohocken, PA, USA, 2003. [Google Scholar]
- ASTM D570-98(2010). Standard Test Method for Water Absorption of Plastics; ASTM International: West Conshohocken, PA, USA, 1998. [Google Scholar]
- SPSS. IBM SPSS Statistics for Windows; IBM Corp.: Armonk, NY, USA, 2013. [Google Scholar]
- Fredrich, J.T. 3D imaging of porous media using laser scanning confocal microscopy with application to microscale transport processes. Phys. Chem. Earth Part A Solid Earth Geod. 1999, 24, 551–561. [Google Scholar] [CrossRef]
- Kloss, S.; Zehetner, F.; Dellantonio, A.; Hamid, R.; Ottner, F.; Liedtke, V.; Schwanninger, M.; Gerzabek, M.H.; Soja, G. Characterization of slow pyrolysis biochars: Effects of feedstocks and pyrolysis temperature on biochar properties. J. Environ. Qual. 2012, 41, 990. [Google Scholar] [CrossRef] [PubMed]
- Das, O.; Sarmah, A.K.; Bhattacharyya, D. Biocomposites from waste derived biochars: Mechanical, thermal, chemical, and morphological properties. Waste Manag. 2016, 49, 560–570. [Google Scholar] [CrossRef] [PubMed]
- Hassan, E.M.; Steele, P.H.; Ingram, L. Characterization of fast pyrolysis bio-oils produced from pretreated pine wood. Appl. Biochem. Biotechnol. 2009, 154, 3–13. [Google Scholar] [CrossRef] [PubMed]
- Crompton, T.R. Physical Testing of Plastics; Smithers Rapra Technology Ltd.: Shawbury, UK, 2012. [Google Scholar]
- Hristov, V.N.; Krumova, M.; Vasileva, S.; Michler, G.H. Modified polypropylene wood flour composites. II. Fracture, deformation, and mechanical properties. J. Appl. Polym. Sci. 2004, 92, 1286–1292. [Google Scholar] [CrossRef]
- Tjeerdsma, B.F.; Militz, H. Chemical changes in hydrothermal treated wood: FTIR analysis of combined hydrothermal and dry heat-treated wood. Holz Als Roh-und Werkst. 2005, 63, 102–111. [Google Scholar] [CrossRef]
- Zhang, Q.; Yi, W.; Li, Z.; Wang, L.; Cai, H. Mechanical properties of rice husk biochar reinforced high density polyethylene composites. Polymers 2018, 10, 286. [Google Scholar] [CrossRef]
- Albrektsson, T.; Wennerberg, A. Oral implant surfaces: Part 1- review focusing on topographic and chemical properties of different surfaces and in vivo responses to them. Int. J. Prosthodont. 2004, 17, 536–543. [Google Scholar]
- Mrad, H.; Alix, S.; Migneault, S.; Koubaa, A.; Perré, P. Numerical and experimental assessment of water absorption of wood-polymer composites. Measurement 2018, 115, 197–203. [Google Scholar] [CrossRef]
- Jarusombuti, S.; Ayrilmis, N. Surface characteristics and overlaying properties of flat-pressed wood plastic composites. Eur. J. Wood Wood Prod. 2011, 69, 375–382. [Google Scholar] [CrossRef]












| Parameters | HDPE | PP | 
|---|---|---|
| Mold temperature (°C) | 20 | 20 | 
| Injection pressure (bar) | 900−1325 | 1300−1400 | 
| Hold pressure: (bar) | 450−600 | 600−925 | 
| Injection pressure time (s) | 0.8−1.9 | 0.8−1.9 | 
| Hold pressure time (s) | 11 | 11 | 
| Cooling time (s) | 17 | 17 | 
| Total cycle time (s) | 33.2−33.6 | 33.3−34.4 | 
| Dosing volume (cm3) | 18/26/34/41 | 18.5/26/34/41 | 
| Decompression volume (cm3) | 5 | 5 | 
| Screw speed (RPM) | 215 | 215 | 
| Barrel temperature profile–feed, zone1, zone2, nozzle (°C) | 170/190/190/190 | 185/205/205/205 | 
| C (%) | H (%) | N (%) | S (%) | O (%) | Specific Surface Area (m2 g−1) | |
|---|---|---|---|---|---|---|
| Black spruce | 48.4 | 6.57 | 0.08 | 1.04 | 43.9 | 0.5 | 
| 315 °C | 53.0 | 5.76 | 0.74 | 0.86 | 39.6 | 42 | 
| 400 °C | 72.5 | 3.71 | 0.71 | 0.60 | 23.0 | 158 | 
| 445 °C | 75.4 | 3.84 | 0.87 | 0.51 | 19.4 | 208 | 
| Tensile | Impact | Three-Point Bending | Contact Angle | Water Uptake | ||||||
|---|---|---|---|---|---|---|---|---|---|---|
| MOE | MOR | MOE | MOR | Volume Changes | Absorp-tion | |||||
| Biochar content (A) | 1985 ** | 4447 ** | 596 ** | 1422 ** | 1009 ** | 1833 ** | 120 ** | 6.9 ** | 91 ** | 354 ** | 
| Polymer type (B) | 2396 ** | 11759 ** | 35 ** | 93 ** | 1802 ** | 6042 ** | 203 * | 13 ** | 0.3 ns | 0.2 ns | 
| Temperature (C) | 1358 ** | 90 ** | 4 * | 16 ** | 688 ** | 813 ** | 18 ** | 20 ** | 179 ** | 155 ** | 
| A x B | 97 ** | 434 ** | 1.5 ns | 6 ** | 76 ** | 215 ** | 16 ** | 4 * | 1.7 ns | 4 ** | 
| A x C | 104 ** | 102 ** | 0.9 ns | 1 ns | 62 ** | 33 ** | 10 ** | 3 * | 9 ** | 27 ** | 
| B x C | 13 ** | 120 ** | 18 ** | 32 ** | 14 ** | 10 ** | 14 ** | 0.9 ns | 1.9ns | 21 ** | 
| Surface Roughness value, Sa μm | Surface Classification | 
|---|---|
| 0–0.4 | Smooth | 
| 0.5–1.0 | Moderately rough | 
| 1.0–2.0 | Rough | 
| >2.0 | Extremely rough | 
© 2020 by the authors. Licensee MDPI, Basel, Switzerland. This article is an open access article distributed under the terms and conditions of the Creative Commons Attribution (CC BY) license (http://creativecommons.org/licenses/by/4.0/).
Share and Cite
Ayadi, R.; Koubaa, A.; Braghiroli, F.; Migneault, S.; Wang, H.; Bradai, C. Effect of the Pyro-Gasification Temperature of Wood on the Physical and Mechanical Properties of Biochar-Polymer Biocomposites. Materials 2020, 13, 1327. https://doi.org/10.3390/ma13061327
Ayadi R, Koubaa A, Braghiroli F, Migneault S, Wang H, Bradai C. Effect of the Pyro-Gasification Temperature of Wood on the Physical and Mechanical Properties of Biochar-Polymer Biocomposites. Materials. 2020; 13(6):1327. https://doi.org/10.3390/ma13061327
Chicago/Turabian StyleAyadi, Ramzi, Ahmed Koubaa, Flavia Braghiroli, Sébastien Migneault, He Wang, and Chedly Bradai. 2020. "Effect of the Pyro-Gasification Temperature of Wood on the Physical and Mechanical Properties of Biochar-Polymer Biocomposites" Materials 13, no. 6: 1327. https://doi.org/10.3390/ma13061327
APA StyleAyadi, R., Koubaa, A., Braghiroli, F., Migneault, S., Wang, H., & Bradai, C. (2020). Effect of the Pyro-Gasification Temperature of Wood on the Physical and Mechanical Properties of Biochar-Polymer Biocomposites. Materials, 13(6), 1327. https://doi.org/10.3390/ma13061327
 
        



 
       