An Experimental Study on Water Permeability of Architectural Mortar Using Waste Glass as Fine Aggregate
Abstract
1. Introduction
2. Experimental Program
2.1. Materials
2.1.1. Cement (C)
2.1.2. Metakaolin (MK)
2.1.3. Aggregates
2.2. Mix Proportions
2.3. Preparation of Specimens
2.4. Experimental Methods
2.4.1. Mortar Consistency Test
2.4.2. Mortar Density Test
2.4.3. Water Permeability Test
3. Results and Discussions
3.1. Consistency of Mortar
3.2. The Fresh Density of Mortar
3.3. Water Permeability of the Mortar
3.3.1. The Relationship between Impermeability and the Content of Glass Sand with MK
3.3.2. Influence of MK on the Water Impermeability
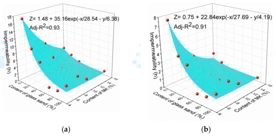
3.3.3. Regression Analysis of Impermeability
4. Conclusions
- With the increase of glass and MK content, the consistency of mortar decreased. The glass content increased the trend of the decline. The consistency of mortar mixed with 100% glass sand decreased by 55% at the maximum. The density of fresh mortar decreased by 2.7% and 7.9% with the replacement percentage of 40% and 100%. There is a regression relationship (Adj-R2 = 0.91) between consistency and density in order to predict the consistency.
- The impermeability of mortar with glass sand decreased. However, it increased slightly when the glass sand reached 100%. The MK could improve the impermeability of glass sand mortar only when the glass sand content was about 60–80%.
- SEM images showed that there was a crack between matrix and GS because of the smooth surface of glass sand, and more pore structures were found in mortar with 60% glass sand, leading to an increase of water permeability.
- A regression model of impermeability was established that can predict the impermeability of glass sand mortar varying with glass sand content, MK content, and age.
- As the addition of glass sand can significantly increase the permeability of mortar, glass sand mortar can be used as pervious material, and the optimum percentage is 60–80%.
Author Contributions
Funding
Conflicts of Interest
References
- Ling, T.; Poon, C.; Wong, H. Management and recycling of waste glass in concrete products: Current situations in Hong Kong. Resour. Resour. Conserv. Recycl. 2013, 70, 25–31. [Google Scholar] [CrossRef]
- Rashad, A.M. Recycled waste glass as fine aggregate replacement in cementitious materials based on Portland cement. Constr. Build. Mater. 2014, 72, 340–357. [Google Scholar] [CrossRef]
- Silva, R.V.; Brito, J.; Lye, C.Q.; Dhir, R.K. The role of glass waste in the production of ceramic-based products and other applications: A review. J. Clean. Prod. 2017, 167, 346–364. [Google Scholar] [CrossRef]
- MOFCOM. Development Report of Chinese Recycling Industry. 2019. Available online: http://huanbao.bjx.com.cn/news/20191025/1015853-2.shtml (accessed on 14 January 2020).
- Heriyanto; Pahlevani, F.; Sahajwalla, V. From waste glass to building materials—An innovative sustainable solution for waste glass. J. Clean. Prod. 2018, 191, 192–206. [Google Scholar] [CrossRef]
- Meyer, C. The greening of the concrete industry. Cem. Concr. Compos. 2009, 31, 601–605. [Google Scholar] [CrossRef]
- Shi, C.; Zheng, K. A review on the use of waste glasses in the production of cement and concrete. Resour. Conserv. Recycl. 2007, 52, 234–247. [Google Scholar] [CrossRef]
- Mirzahosseini, M.; Riding, K.A. Influence of different particle sizes on reactivity of finely ground glass as supplementary cementitious material (SCM). Cem. Concr. Compos. 2015, 56, 95–105. [Google Scholar] [CrossRef]
- Ling, T.; Poon, C. Feasible use of large volumes of GGBS in 100% recycled glass architectural mortar. Cem. Concr. Compos. 2014, 53, 350–356. [Google Scholar] [CrossRef]
- Federico, L.M.; Chidiac, S.E. Waste glass as a supplementary cementitious material in concrete-Critical review of treatment methods. Cem. Concr. Compos. 2009, 31, 606–610. [Google Scholar] [CrossRef]
- Hossain, M.M.; Karim, M.R.; Hasan, M.; Hossain, M.K.; Zain, M.F.M. Durability of mortar and concrete made up of pozzolans as a partial replacement of cement: A review. Constr. Build. Mater. 2016, 116, 128–140. [Google Scholar] [CrossRef]
- Lu, J.; Zhan, B.; Duan, Z.; Poon, C.S. Improving the performance of architectural mortar containing 100% recycled glass aggregates by using SCMs. Constr. Build. Mater. 2017, 153, 975–985. [Google Scholar] [CrossRef]
- Shi, C.; Wu, Y.; Riefler, C.; Wang, H. Characteristics and pozzolanic reactivity of glass powders. Cem. Concr. Res. 2005, 35, 987–993. [Google Scholar] [CrossRef]
- Lu, J.; Duan, Z.; Poon, C.S. Combined use of waste glass powder and cullet in architectural mortar. Cem. Concr. Compos. 2017, 82, 34–44. [Google Scholar] [CrossRef]
- Lu, J.; Zhan, B.; Duan, Z.; Poon, C.S. Using glass powder to improve the durability of architectural mortar prepared with glass aggregates. Mater. Des. 2017, 135, 102–111. [Google Scholar] [CrossRef]
- Tan, K.H.; Du, H. Use of waste glass as sand in mortar: Part I-Fresh, mechanical and durability properties. Cem. Concr. Compos. 2013, 35, 109–117. [Google Scholar] [CrossRef]
- Du, H.; Tan, K.H. Use of waste glass as sand in mortar: Part II-Alkali-silica reaction and mitigation methods. Cem. Concr. Compos. 2013, 35, 118–126. [Google Scholar] [CrossRef]
- Taha, B.; Nounu, G. Properties of concrete contains mixed colour waste recycled glass as sand and cement replacement. Constr. Build. Mater. 2008, 22, 713–720. [Google Scholar] [CrossRef]
- Choi, S.Y.; Choi, Y.S.; Yang, E.I. Characteristics of volume change and heavy metal leaching in mortar specimens recycled heavyweight waste glass as fine aggregate. Constr. Build. Mater. 2018, 165, 424–433. [Google Scholar] [CrossRef]
- Wang, H. A study of the effects of LCD glass sand on the properties of concrete. Waste Manag. 2009, 29, 335–341. [Google Scholar] [CrossRef]
- Ismail, Z.Z.; AL-Hashmi, E.A. Recycling of waste glass as a partial replacement for fine aggregate in concrete. Waste Manag. 2009, 29, 655–659. [Google Scholar] [CrossRef]
- Muhammad, N.Z.; Keyvanfar, A.; Majid, M.Z.A.; Shafaghat, A.; Mirza, J. Waterproof performance of concrete: A critical review on implemented approaches. Constr. Build. Mater. 2015, 101, 80–90. [Google Scholar] [CrossRef]
- Basheer, L.; Kropp, J.; Cleland, D.J. Assessment of the durability of concrete from its permeation properties: A review. Constr. Build. Mater. 2001, 15, 93–103. [Google Scholar] [CrossRef]
- Lu, J.; Yan, X.; He, P.P.; Poon, C. Sustainable design of pervious concrete using waste glass and recycled concrete aggregate. J. Clean. Prod. 2019, 234, 1102–1112. [Google Scholar] [CrossRef]
- Bisht, K.; Ramana, P.V. Sustainable production of concrete containing discarded beverage glass as fine aggregate. Constr. Build. Mater. 2018, 177, 116–124. [Google Scholar] [CrossRef]
- China Architecture & Building. Standard for Test Method of Performance on Building Mortar; China Architecture & Building Press: Beijing, China, 2009. [Google Scholar]
- Lu, J.; Poon, C.S. Use of waste glass in alkali activated cement mortar. Constr. Build. Mater. 2018, 160, 399–407. [Google Scholar] [CrossRef]
- Ling, T.; Poon, C.; Kou, S. Feasibility of using recycled glass in architectural cement mortars. Cem. Concr. Compos. 2011, 33, 848–854. [Google Scholar] [CrossRef]
- Courard, L.; Darimont, A.; Schouterden, M.; Ferauche, F.; Willem, X.; Degeimbre, R. Durability of mortars modified with metakaolin. Cem. Concr. Res. 2003, 33, 1473–1479. [Google Scholar] [CrossRef]
- Penacho, P.; Brito, J.D.; Rosário Veiga, M. Physico-mechanical and performance characterization of mortars incorporating fine glass waste aggregate. Cem. Concr. Compos. 2014, 50, 47–59. [Google Scholar] [CrossRef]
- Candamano, S.; De Luca, P.; Frontera, P.; Crea, F. Production of Geopolymeric Mortars Containing Forest Biomass Ash as Partial Replacement of Metakaolin. Environments 2017, 4, 74. [Google Scholar] [CrossRef]
- De Luca, P.; De Luca, P.; Candamano, S.; Macario, A.; Crea, F.; Nagy, J. Preparation and Characterization of Plasters with Photodegradative Action. Buildings 2018, 8, 122. [Google Scholar] [CrossRef]
- Lu, J.; Poon, C.S. Improvement of early-age properties for glass-cement mortar by adding nanosilica. Cem. Concr. Compos. 2018, 89, 18–30. [Google Scholar] [CrossRef]
- Du, H.; Tan, K.H. Properties of high volume glass powder concrete. Cem. Concr. Compos. 2017, 75, 22–29. [Google Scholar] [CrossRef]
- Neno, C.; Brito, J.D.; Veiga, R. Using fine recycled concrete aggregate for mortar production. Mater. Res. 2013, 17, 168–177. [Google Scholar] [CrossRef]
- Hui, Z.; Poon, C.S.; Ling, T.C. Properties of mortar prepared with recycled cathode ray tube funnel glass sand at different mineral admixture. Constr. Build. Mater. 2013, 40, 951–960. [Google Scholar] [CrossRef]
- Idir, R.; Cyr, M.; Tagnit-Hamou, A. Pozzolanic properties of fine and coarse color-mixed glass cullet. Cem. Concr. Compos. 2011, 33, 19–29. [Google Scholar] [CrossRef]
- Shao, Y.X.; Lefort, T.; Moras, S.; Rodriguez, D. Studies on concrete containing ground waste glass. Cem. Concr. Res. 2000, 30, 91–100. [Google Scholar] [CrossRef]
- Siddique, R.; Klaus, J. Influence of metakaolin on the properties of mortar and concrete: A review. Appl. Clay Sci. 2009, 43, 392–400. [Google Scholar] [CrossRef]
- Harbi, R.; Derabla, R.; Nafa, Z. Improvement of the properties of a mortar with 5% of kaolin fillers in sand combined with metakaolin, brick waste and glass powder in cement. Constr. Build. Mater. 2017, 152, 632–641. [Google Scholar] [CrossRef]















| Chemical Composition (%) | Cement | MK |
|---|---|---|
| SiO2 | 15.31 | 52 ± 2 |
| Al2O3 | 1.67 | 45 ± 2 |
| Fe2O3 | 0.28 | <0.4 |
| CaO | 63.83 | <0.4 |
| MgO | 6.82 | <0.2 |
| SO3 | 2.19 | - |
| Analysis | Results |
|---|---|
| Fineness | 460 m2/kg |
| Normal consistency | 26.7% |
| Initial setting time | 150 min |
| Whiteness | 90.2 |
| Compressive strength (1d) | 13.3 MPa |
| Compressive strength (3d) | 23.5 MPa |
| Compressive strength (28d) | 36.5 MPa |
| Type | C | MK | ISO Sand | GS | Water | SP |
|---|---|---|---|---|---|---|
| G0-M0 | 1 | 0 | 3 | 0 | 0.4 | 0.005 |
| G0-M5 | 0.95 | 0.05 | 3 | 0 | 0.4 | 0.005 |
| G0-M10 | 0.90 | 0.10 | 3 | 0 | 0.4 | 0.005 |
| G0-M15 | 0.85 | 0.15 | 3 | 0 | 0.4 | 0.005 |
| G20-M5 | 0.95 | 0.05 | 2.4 | 0.6 | 0.4 | 0.005 |
| G20-M10 | 0.90 | 0.10 | 2.4 | 0.6 | 0.4 | 0.005 |
| G20-M15 | 0.85 | 0.15 | 2.4 | 0.6 | 0.4 | 0.005 |
| G40-M5 | 0.95 | 0.05 | 1.8 | 1.2 | 0.4 | 0.005 |
| G40-M10 | 0.90 | 0.10 | 1.8 | 1.2 | 0.4 | 0.005 |
| G40-M15 | 0.85 | 0.15 | 1.8 | 1.2 | 0.4 | 0.005 |
| G60-M5 | 0.95 | 0.05 | 1.2 | 1.8 | 0.4 | 0.005 |
| G60-M10 | 0.90 | 0.10 | 1.2 | 1.8 | 0.4 | 0.005 |
| G60-M15 | 0.85 | 0.15 | 1.2 | 1.8 | 0.4 | 0.005 |
| G80-M5 | 0.95 | 0.05 | 0.6 | 2.4 | 0.4 | 0.005 |
| G80-M10 | 0.90 | 0.10 | 0.6 | 2.4 | 0.4 | 0.005 |
| G80-M15 | 0.85 | 0.15 | 0.6 | 2.4 | 0.4 | 0.005 |
| G100-M0 | 1.00 | 0 | 0 | 3 | 0.4 | 0.005 |
| G100-M5 | 0.95 | 0.05 | 0 | 3 | 0.4 | 0.005 |
| G100-M10 | 0.90 | 0.10 | 0 | 3 | 0.4 | 0.005 |
| G100-M15 | 0.85 | 0.15 | 0 | 3 | 0.4 | 0.005 |
| Age | Z0 | B | C | D | Adj-R2 |
|---|---|---|---|---|---|
| 28d | 1.48 | 35.16 | 28.54 | 6.38 | 0.93 |
| 14d | 1.08 | 21.99 | 32.77 | 6.12 | 0.88 |
| 7d | 0.98 | 22.65 | 26.92 | 4.84 | 0.89 |
| 3d | 0.75 | 22.84 | 27.69 | 4.19 | 0.91 |
© 2020 by the authors. Licensee MDPI, Basel, Switzerland. This article is an open access article distributed under the terms and conditions of the Creative Commons Attribution (CC BY) license (http://creativecommons.org/licenses/by/4.0/).
Share and Cite
Jing, G.; Huang, G.; Zhu, W. An Experimental Study on Water Permeability of Architectural Mortar Using Waste Glass as Fine Aggregate. Materials 2020, 13, 1110. https://doi.org/10.3390/ma13051110
Jing G, Huang G, Zhu W. An Experimental Study on Water Permeability of Architectural Mortar Using Waste Glass as Fine Aggregate. Materials. 2020; 13(5):1110. https://doi.org/10.3390/ma13051110
Chicago/Turabian StyleJing, Guoqing, Gang Huang, and Wenjun Zhu. 2020. "An Experimental Study on Water Permeability of Architectural Mortar Using Waste Glass as Fine Aggregate" Materials 13, no. 5: 1110. https://doi.org/10.3390/ma13051110
APA StyleJing, G., Huang, G., & Zhu, W. (2020). An Experimental Study on Water Permeability of Architectural Mortar Using Waste Glass as Fine Aggregate. Materials, 13(5), 1110. https://doi.org/10.3390/ma13051110

